Рекомендуемый порядок расчета истечения взрывопожароопасных газов из технологических трубопроводов
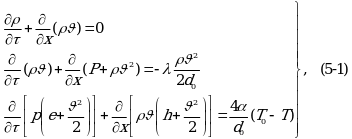
Истечение газа при разрыве трубопровода на полное сечение описывается дифференциальными балансовыми соотношениями по массе, импульсу и энергии:
где:
- плотность газа;
- время;
- усредненная по сечению скорость транспортируемого газа; P - давление; e - удельная внутренняя энергия; h - удельная энтальпия;
- коэффициент теплообмена с окружающей средой; d0 - внутренний диаметр трубы; T0 - температура окружающей среды; T - температура стенки трубы.
Для инженерной оценки массового расхода газа при разрыве трубопровода может быть использовано уравнение Белла:
где:
и Gн - текущий и начальный массовый расход (в момент разрыва), кг/сек;
- время, прошедшее с момента разрыва, с; Г - фактор инерциальной задержки (
0,5);
- коэффициент сохранения массы;
- постоянная времени, с.
Начальный массовый расход рассчитывается исходя из предположения о том, что в месте разрыва характер процесса истечения адиабатический:
где: Pн - давление газа в трубопроводе до разрыва, Па; Aр - площадь поперечного сечения разрыва, м2; R - удельная газовая постоянная (Дж/кг·К);
- коэффициент сжимаемости по условиям газа на срезе (выходе) при Pкр, Tкр; Tн - температура газа в трубопроводе до разрыва, К.
Коэффициент сохранения массы рассчитывается по формуле:
где: Mг - общая масса газа, способная вытечь из изолированной секции трубопровода, кг;
- постоянная времени, с.
Выражение для постоянной времени
базируется на допущении об изотермическом характере процесса движения газа, имеющем место на большей части длины отсеченной секции трубопровода:
где: L* - длина отсеченного участка трубопровода, м; a0 - скорость звука в газе до разрыва, м/с; fтр - коэффициент трения газа о стенки трубы (шероховатость); d0 - внутренний диаметр трубопровода, м.
Общая масса газа, которая может быть выброшена при разрыве, определяется из выражения:
где: L* - длина отсеченного участка трубопровода, м; A* - площадь поперечного сечения трубопровода; Zн - коэффициент сжимаемости газа до разрыва при параметрах Pн, Tн.
- Гражданский кодекс (ГК РФ)
- Жилищный кодекс (ЖК РФ)
- Налоговый кодекс (НК РФ)
- Трудовой кодекс (ТК РФ)
- Уголовный кодекс (УК РФ)
- Бюджетный кодекс (БК РФ)
- Арбитражный процессуальный кодекс
- Конституция РФ
- Земельный кодекс (ЗК РФ)
- Лесной кодекс (ЛК РФ)
- Семейный кодекс (СК РФ)
- Уголовно-исполнительный кодекс
- Уголовно-процессуальный кодекс
- Производственный календарь на 2025 год
- МРОТ 2026
- ФЗ «О банкротстве»
- О защите прав потребителей (ЗОЗПП)
- Об исполнительном производстве
- О персональных данных
- О налогах на имущество физических лиц
- О средствах массовой информации
- Производственный календарь на 2026 год
- Федеральный закон "О полиции" N 3-ФЗ
- Расходы организации ПБУ 10/99
- Минимальный размер оплаты труда (МРОТ)
- Календарь бухгалтера на 2026 год
- Частичная мобилизация: обзор новостей
- Постановление Правительства РФ N 1875





