постановлением Правительства
Российской Федерации
от 30 апреля 2019 г. N 529
1. Настоящие Правила устанавливают цели, условия и порядок предоставления субсидий российским организациям на возмещение части затрат на разработку цифровых платформ и программных продуктов в целях создания и (или) развития производства высокотехнологичной промышленной продукции (далее - субсидии).
Субсидии предоставляются в рамках реализации мероприятий государственной программы Российской Федерации "Развитие промышленности и повышение ее конкурентоспособности" в целях стимулирования деятельности российских организаций, осуществляющих деятельность по разработке цифровых платформ и (или) программных продуктов, связанных с субтехнологиями сквозных цифровых технологий, определяемых дорожными картами по направлениям развития сквозных цифровых технологий, предусмотренных федеральным проектом "Цифровые технологии" национальной программы "Цифровая экономика Российской Федерации".
(в ред. Постановления Правительства РФ от 23.04.2022 N 746)
(см. текст в предыдущей редакции)
Сведения о субсидиях размещаются на едином портале бюджетной системы Российской Федерации в информационно-телекоммуникационной сети "Интернет" (далее - единый портал) в разделе "Бюджет" не позднее 15-го рабочего дня, следующего за днем принятия федерального закона о федеральном бюджете (федерального закона о внесении изменений в федеральный закон о федеральном бюджете).
(в ред. Постановления Правительства РФ от 22.11.2022 N 2112)
(см. текст в предыдущей редакции)
2. Понятия, используемые в настоящих Правилах, означают следующее:
"российская организация" - юридическое лицо, образованное в соответствии с законодательством Российской Федерации и осуществляющее в соответствии с Общероссийским классификатором видов экономической деятельности в качестве основного или дополнительного вида деятельности деятельность по разработке компьютерного программного обеспечения, оказанию консультационных услуг в данной области и других сопутствующих услуг и (или) деятельность в области информационных технологий, информация о котором размещена в открытом доступе в государственной информационной системе промышленности, созданной в соответствии с постановлением Правительства Российской Федерации от 25 июля 2015 г. N 757 "О порядке создания, эксплуатации и совершенствования государственной информационной системы промышленности" (далее - государственная информационная система промышленности), в информационно-телекоммуникационной сети "Интернет" (далее - сеть "Интернет");
(см. текст в предыдущей редакции)
"программный продукт" - программное обеспечение и соответствующая документация, функционально обеспечивающие решение таких технологических задач, как:
(в ред. Постановления Правительства РФ от 12.11.2020 N 1813)
(см. текст в предыдущей редакции)
автоматизированное проектирование;
проведение инженерного анализа;
управление инженерными данными;
поддержка технологии цифрового двойника изделия, цифрового двойника технологического процесса;
симуляция и моделирование производства;
управление жизненным циклом изделия (продукции);
управление производственными процессами;
планирование потребности в материалах;
промышленная автоматика и автоматизированные системы управления технологическими процессами;
управление процессами в российской организации, включая системы планирования ресурсами российской организации;
управление производственными активами российской организации;
мониторинг состояния оборудования;
технологии обработки и анализа больших данных;
управление техническим обслуживанием и ремонтом технологического оборудования;
управление процессами послепродажного обслуживания;
"цифровая платформа" - совокупность информационных технологий и технических средств, обеспечивающих решение указанных в настоящем пункте технологических задач и взаимодействие субъектов хозяйственной деятельности в сфере промышленности;
(в ред. Постановления Правительства РФ от 12.11.2020 N 1813)
(см. текст в предыдущей редакции)
"высокотехнологичная промышленная продукция" - продукция, включенная в перечень высокотехнологичной продукции, утверждаемый Министерством промышленности и торговли Российской Федерации;
"высокопроизводительные рабочие места" - замещенные рабочие места, производительность труда которых равна или превышает среднеотраслевое значение;
(в ред. Постановления Правительства РФ от 26.09.2019 N 1263)
(см. текст в предыдущей редакции)
"модернизация высокопроизводительных рабочих мест" - комплекс организационно-технических мероприятий (дооборудование, реконструкция, приобретение соответствующего оборудования), которые приводят к повышению первоначальных характеристик и улучшению условий труда;
"комплексный проект" - комплекс взаимосвязанных мероприятий и процессов по разработке цифровых платформ и (или) программных продуктов в целях создания и (или) развития производства высокотехнологичной промышленной продукции, ограниченный по времени и ресурсам, включающий:
выполнение научно-исследовательских, опытно-конструкторских и (или) технологических работ;
организацию апробации результатов комплексного проекта в отраслях экономики;
последующую коммерциализацию результатов комплексного проекта в организациях, выпускающих высокотехнологичную промышленную продукцию либо осуществляющих деятельность в области прикладных научных исследований и разработок, направленных на создание высокотехнологичной промышленной продукции;
создание высокопроизводительных рабочих мест в организациях, выпускающих высокотехнологичную промышленную продукцию либо осуществляющих деятельность в области прикладных научных исследований и разработок, направленных на создание высокотехнологичной промышленной продукции, и внедривших разработанные в рамках реализации комплексного проекта цифровые платформы и (или) программные продукты в целях создания и (или) развития производства высокотехнологичной промышленной продукции.
(в ред. Постановления Правительства РФ от 12.11.2020 N 1813)
(см. текст в предыдущей редакции)
3. Субсидии предоставляются российским организациям, прошедшим конкурсный отбор на право получения субсидии (далее - конкурсный отбор), на возмещение не более 50 процентов затрат, непосредственно связанных с разработкой цифровых платформ и (или) программных продуктов в целях создания и (или) развития производства высокотехнологичной промышленной продукции в отраслях промышленности в соответствии с Указом Президента Российской Федерации от 7 мая 2018 г. N 204 "О национальных целях и стратегических задачах развития Российской Федерации на период до 2024 года", при условии, что срок выполнения научно-исследовательских, опытно-конструкторских и (или) технологических работ в рамках комплексного проекта не превышает 2 лет и их выполнение начато в срок не ранее 1 года, предшествующего году подачи заявки на участие в конкурсном отборе (далее - заявка). Конкурсный отбор проводится в три этапа.
(в ред. Постановления Правительства РФ от 22.11.2022 N 2112)
(см. текст в предыдущей редакции)
Абзац утратил силу. - Постановление Правительства РФ от 12.11.2020 N 1813.
(см. текст в предыдущей редакции)
4. Субсидии предоставляются российским организациям, которые на 1-е число месяца, в котором подается заявка, соответствуют следующим требованиям:
(в ред. Постановления Правительства РФ от 27.01.2021 N 59)
(см. текст в предыдущей редакции)
а) у российской организации отсутствует неисполненная обязанность по уплате налогов, сборов, страховых взносов, пеней, штрафов и процентов, подлежащих уплате в соответствии с законодательством Российской Федерации о налогах и сборах;
б) у российской организации отсутствуют просроченная задолженность по возврату в федеральный бюджет субсидий, бюджетных инвестиций, предоставленных в том числе в соответствии с иными правовыми актами, и иная просроченная (неурегулированная) задолженность по денежным обязательствам перед Российской Федерацией;
(см. текст в предыдущей редакции)
в) российская организация не находится в процессе реорганизации (за исключением реорганизации в форме присоединения к российской организации другого юридического лица), ликвидации, в отношении ее не введена процедура банкротства, деятельность российской организации не приостановлена в порядке, предусмотренном законодательством Российской Федерации;
(см. текст в предыдущей редакции)
г) российская организация не является иностранным юридическим лицом, а также российским юридическим лицом, в уставном (складочном) капитале которой доля прямого или косвенного (через третьих лиц) участия офшорных компаний, местом регистрации которых является государство или территория, включенные в утверждаемый Министерством финансов Российской Федерации перечень государств и территорий, используемых для промежуточного (офшорного) владения активами в Российской Федерации, в совокупности превышает 25 процентов;
(пп. "г" в ред. Постановления Правительства РФ от 22.11.2022 N 2112)
(см. текст в предыдущей редакции)
д) российская организация не получает средства из федерального бюджета на основании иных нормативных правовых актов Российской Федерации на цели, указанные в пункте 1 настоящих Правил;
(в ред. Постановления Правительства РФ от 23.04.2022 N 746)
(см. текст в предыдущей редакции)
е) утратил силу. - Постановление Правительства РФ от 12.11.2020 N 1813;
(см. текст в предыдущей редакции)
ж) в реестре дисквалифицированных лиц отсутствуют сведения о дисквалифицированных руководителе, членах коллегиального исполнительного органа, лице, исполняющем функции единоличного исполнительного органа, или главном бухгалтере российской организации;
(пп. "ж" введен Постановлением Правительства РФ от 27.01.2021 N 59)
з) российская организация не находится в перечне организаций и физических лиц, в отношении которых имеются сведения об их причастности к экстремистской деятельности или терроризму, либо в перечне организаций и физических лиц, в отношении которых имеются сведения об их причастности к распространению оружия массового уничтожения.
(пп. "з" введен Постановлением Правительства РФ от 23.04.2022 N 746)
5. Субсидируемые затраты российских организаций на разработку цифровых платформ и (или) программных продуктов в целях создания и (или) развития производства высокотехнологичной промышленной продукции включают в себя следующие затраты (расходы), непосредственно связанные с выполнением научно-исследовательских, опытно-конструкторских и (или) технологических работ в рамках реализации комплексного проекта:
(в ред. Постановления Правительства РФ от 12.11.2020 N 1813)
(см. текст в предыдущей редакции)
а) затраты на оплату труда работников, непосредственно занятых выполнением работ (оказанием услуг) по разработке цифровых платформ и (или) программных продуктов, за период выполнения ими таких работ (оказания таких услуг), в размере, не превышающем величины средней заработной платы работников, осуществляющих деятельность по разработке компьютерного программного обеспечения, оказанию консультационных услуг в данной области и других сопутствующих услуг, по соответствующему субъекту Российской Федерации (при отсутствии таких данных по соответствующему субъекту Российской Федерации - в размере, не превышающем величины средней заработной платы работников, осуществляющих указанную деятельность по Российской Федерации в целом) согласно данным Федеральной службы государственной статистики за отчетный финансовый год, а также расходы на обязательное пенсионное страхование, обязательное социальное страхование на случай временной нетрудоспособности и в связи с материнством, обязательное медицинское страхование и обязательное социальное страхование от несчастных случаев на производстве и профессиональных заболеваний, начисленные на указанные суммы расходов на оплату труда;
(в ред. Постановления Правительства РФ от 12.11.2020 N 1813)
(см. текст в предыдущей редакции)
б) накладные расходы в размере не более 100 процентов суммы расходов на оплату труда работников, непосредственно занятых выполнением научно-исследовательских, опытно-конструкторских и (или) технологических работ в рамках реализации комплексного проекта;
(пп. "б" в ред. Постановления Правительства РФ от 12.11.2020 N 1813)
(см. текст в предыдущей редакции)
в) расходы на оснащение и обслуживание высокопроизводительных рабочих мест, вновь создаваемых и модернизируемых в ходе выполнения научно-исследовательских, опытно-конструкторских и (или) технологических работ в рамках реализации комплексного проекта;
(пп. "в" в ред. Постановления Правительства РФ от 12.11.2020 N 1813)
(см. текст в предыдущей редакции)
г) затраты на приобретение и (или) изготовление (в том числе проектирование, транспортировку, монтаж, опробование и пусконаладочные работы) макетов, стендов, установок, испытательных станций, контрольно-измерительной и иной аппаратуры, приборов, технологической оснастки, а также другого специального оборудования, необходимого для разработки цифровых платформ и (или) программных продуктов в целях создания и (или) развития производства высокотехнологичной промышленной продукции;
(в ред. Постановления Правительства РФ от 12.11.2020 N 1813)
(см. текст в предыдущей редакции)
д) затраты на оплату работ (услуг) организаций, физических лиц, в том числе зарегистрированных в качестве индивидуальных предпринимателей, непосредственно участвующих в выполнении научно-исследовательских, опытно-конструкторских и технологических работ в целях реализации комплексного проекта, в отношении которых последовало обращение за предоставлением субсидии и которые привлечены в качестве соисполнителей;
(в ред. Постановления Правительства РФ от 12.11.2020 N 1813)
(см. текст в предыдущей редакции)
е) расходы на приобретение у российских и иностранных организаций неисключительных лицензий на программное обеспечение, необходимое для выполнения научно-исследовательских, опытно-конструкторских и (или) технологических работ в рамках реализации комплексного проекта.
(пп. "е" в ред. Постановления Правительства РФ от 12.11.2020 N 1813)
(см. текст в предыдущей редакции)
5(1). Субсидируемые затраты, указанные в подпунктах "в" - "е" пункта 5 настоящих Правил, не могут суммарно превышать 40 процентов получаемой субсидии по итогам выполнения научно-исследовательских, опытно-конструкторских и (или) технологических работ в рамках реализации комплексного проекта.
(п. 5(1) введен Постановлением Правительства РФ от 12.11.2020 N 1813)
6. Конкурсный отбор проводится конкурсной комиссией, образуемой Министерством промышленности и торговли Российской Федерации, в целях определения победителей конкурсного отбора.
(в ред. Постановления Правительства РФ от 12.11.2020 N 1813)
(см. текст в предыдущей редакции)
Министерство промышленности и торговли Российской Федерации принимает решение о проведении конкурсного отбора при наличии бюджетных ассигнований, предусмотренных федеральным законом о федеральном бюджете на соответствующий финансовый год и плановый период, и лимитов бюджетных обязательств, доведенных в установленном порядке до Министерства промышленности и торговли Российской Федерации как получателя средств федерального бюджета на цели, указанные в пункте 1 настоящих Правил, и с учетом обязательств, принятых Министерством промышленности и торговли Российской Федерации по ранее заключенным соглашениям о предоставлении субсидий (далее - соглашение).
(абзац введен Постановлением Правительства РФ от 12.11.2020 N 1813; в ред. Постановления Правительства РФ от 27.01.2021 N 59)
(см. текст в предыдущей редакции)
При наличии технической возможности обмен документами и информацией при проведении конкурсного отбора, заключении между Министерством промышленности и торговли Российской Федерации и российской организацией соглашения, подаче заявки, а также при осуществлении мониторинга и контроля за соблюдением российскими организациями условий и порядка предоставления субсидий осуществляется с использованием государственной информационной системы промышленности.
(абзац введен Постановлением Правительства РФ от 23.04.2022 N 746)
7. В целях проведения конкурсного отбора Министерство промышленности и торговли Российской Федерации:
а) утратил силу. - Постановление Правительства РФ от 27.01.2021 N 59;
(см. текст в предыдущей редакции)
б) принимает решение о проведении конкурсного отбора по каждой технологической задаче либо группе технологических задач из числа указанных в пункте 2 настоящих Правил и размещает в срок не позднее 7 календарных дней до дня проведения конкурсного отбора в государственной информационной системе промышленности (с размещением указателя страницы сайта на едином портале), а также на официальном сайте Министерства промышленности и торговли Российской Федерации в информационно-телекоммуникационной сети "Интернет" (https://minpromtorg.gov.ru) объявление о проведении конкурсного отбора с указанием:
(в ред. Постановления Правительства РФ от 23.04.2022 N 746)
(см. текст в предыдущей редакции)
сроков проведения конкурсного отбора - даты и времени начала и окончания подачи (приема) заявок (не менее 30 календарных дней со дня публикации объявления о проведении конкурсного отбора до окончания срока подачи заявок);
наименования, места нахождения и адреса, адреса электронной почты Министерства промышленности и торговли Российской Федерации;
результатов предоставления субсидии;
(в ред. Постановления Правительства РФ от 23.04.2022 N 746)
(см. текст в предыдущей редакции)
доменного имени и (или) указателей страниц сайта в информационно-телекоммуникационной сети "Интернет", на котором обеспечивается проведение конкурсного отбора;
(в ред. Постановления Правительства РФ от 23.04.2022 N 746)
(см. текст в предыдущей редакции)
требований к российским организациям - участникам конкурсного отбора и перечня документов, представляемых для подтверждения их соответствия указанным требованиям (в соответствии с пунктами 4 и 8 настоящих Правил);
порядка подачи заявок и требований, предъявляемых к форме и содержанию заявок;
порядка отзыва заявок, порядка возврата заявок, определяющего в том числе основания для возврата заявок, порядка внесения изменений в заявки;
правил рассмотрения и оценки заявок (в соответствии с пунктами 10 - 13 настоящих Правил);
порядка разъяснений российским организациям - участникам конкурсного отбора положений объявления о проведении конкурсного отбора, даты начала и окончания срока такого разъяснения;
срока, в течение которого российская организация - победитель конкурсного отбора должна подписать соглашение (в соответствии с пунктом 15 настоящих Правил);
условий признания победителя (победителей) конкурсного отбора уклонившимся от заключения соглашения;
даты размещения результатов конкурсного отбора в государственной информационной системе промышленности (с размещением указателя страницы сайта на едином портале), а также на официальном сайте Министерства промышленности и торговли Российской Федерации в информационно-телекоммуникационной сети "Интернет" (не позднее 14-го календарного дня со дня подписания протокола оценки и определения рейтинга заявок);
(в ред. Постановления Правительства РФ от 23.04.2022 N 746)
(см. текст в предыдущей редакции)
методики проведения научно-технической оценки комплексных проектов;
(абзац введен Постановлением Правительства РФ от 22.11.2022 N 2112)
(пп. "б" в ред. Постановления Правительства РФ от 27.01.2021 N 59)
(см. текст в предыдущей редакции)
в) утратил силу. - Постановление Правительства РФ от 22.11.2022 N 2112;
(см. текст в предыдущей редакции)
г) утверждает форму отчета о расходах, на возмещение которых предоставляется субсидия (далее - отчет о расходах);
д) размещает на официальном сайте Министерства промышленности и торговли Российской Федерации в информационно-телекоммуникационной сети "Интернет" и в государственной информационной системе промышленности формы заявки и бизнес-плана комплексного проекта.
(пп. "д" введен Постановлением Правительства РФ от 23.04.2022 N 746)
8. Для участия в конкурсном отборе российская организация представляет в Министерство промышленности и торговли Российской Федерации в сроки, указанные в объявлении о проведении конкурсного отбора заполненную заявку и следующие документы, оформленные в соответствии с требованиями, указанными в объявлении о проведении конкурсного отбора:
(см. текст в предыдущей редакции)
а) утратил силу. - Постановление Правительства РФ от 23.04.2022 N 746;
(см. текст в предыдущей редакции)
б) сведения о среднесписочной численности работников за год, предшествующий календарному году подачи заявки, по форме, утвержденной Федеральной налоговой службой;
в) составленная в произвольной форме справка об обеспеченности российской организации технологическим, компьютерным и испытательным оборудованием для реализации комплексного проекта, принадлежащим ей на праве собственности или на ином законном основании, подписанная руководителем российской организации, с приложением копий подтверждающих документов;
г) составленная в произвольной форме и подписанная руководителем российской организации справка о наличии успешного опыта реализации функционально либо архитектурно схожих комплексных проектов с указанием достигнутых показателей экономической эффективности;
д) справка, подписанная руководителем российской организации, подтверждающая соответствие российской организации требованиям, указанным в подпунктах "б" - "д", "ж" и "з" пункта 4 настоящих Правил;
(в ред. Постановлений Правительства РФ от 12.11.2020 N 1813, от 27.01.2021 N 59, от 23.04.2022 N 746)
(см. текст в предыдущей редакции)
е) утратил силу. - Постановление Правительства РФ от 12.11.2020 N 1813;
(см. текст в предыдущей редакции)
ж) утвержденный руководителем российской организации бизнес-план комплексного проекта, включающий в себя:
краткое описание комплексного проекта с указанием наименования и наименования соисполнителей (при наличии), привлекаемых к реализации комплексного проекта;
срок реализации комплексного проекта, в том числе срок выполнения научно-исследовательских, опытно-конструкторских и технологических работ;
анализ комплексного проекта с описанием ключевых функциональных характеристик разрабатываемых цифровых платформ и (или) программных продуктов;
патентный анализ в части разрабатываемых базовых технологий и разрабатываемых цифровых платформ и (или) программных продуктов, а также сведения о количестве патентов (свидетельств), которые предполагается получить по результатам реализации комплексного проекта;
анализ зависимости комплексного проекта от импортных технологий, программного обеспечения, электронной компонентной базы, материалов и комплектующих, необходимых для его реализации;
маркетинговый анализ комплексного проекта, содержащий анализ российского и мирового рынков программного обеспечения, а также анализ конкурентной среды в части сравнения разрабатываемых цифровых платформ и (или) программных продуктов с российскими и иностранными аналогами;
план-график реализации комплексного проекта, определяющий сроки достижения контрольных событий, а также результат предоставления субсидии, значения его характеристик (показателей, необходимых для достижения результата предоставления субсидии) (далее - характеристики) в рамках реализации комплексного проекта (далее - план-график реализации комплексного проекта), включая:
(см. текст в предыдущей редакции)
размер субсидии, запрашиваемой на реализацию комплексного проекта;
размер внебюджетных средств, привлекаемых российской организацией на реализацию комплексного проекта;
план-график финансового обеспечения реализации комплексного проекта за счет субсидии, а также собственных, заемных и (или) привлеченных средств (далее - план-график финансового обеспечения реализации комплексного проекта);
оценку возможности внедрения и коммерческого использования разработанных в рамках реализации комплексного проекта цифровых платформ и (или) программных продуктов, достижения результата предоставления субсидии, контрольных событий и значений характеристик;
(см. текст в предыдущей редакции)
сведения о создаваемых и модернизируемых высокопроизводительных рабочих местах в рамках реализации комплексного проекта;
смету затрат на реализацию комплексного проекта;
з) письмо организации, выпускающей высокотехнологичную промышленную продукцию либо осуществляющей деятельность в области прикладных научных исследований и разработок, направленных на создание высокотехнологичной промышленной продукции, подтверждающее заинтересованность во внедрении разработанных в рамках комплексного проекта цифровых платформ и (или) программных продуктов, с описанием потенциальной экономической эффективности и основных производственных показателей организации (показатели времени работы, показатели трудовых ресурсов, показатели производства, финансовые показатели);
(в ред. Постановления Правительства РФ от 12.11.2020 N 1813)
(см. текст в предыдущей редакции)
и) справка налогового органа, подтверждающая соответствие российской организации требованиям, указанным в подпункте "а" пункта 4 настоящих Правил, на 1-е число месяца, в котором подается заявка (в случае непредставления российской организацией такого документа Министерство промышленности и торговли Российской Федерации запрашивает соответствующие сведения самостоятельно);
(пп. "и" в ред. Постановления Правительства РФ от 27.01.2021 N 59)
(см. текст в предыдущей редакции)
к) согласие на публикацию (размещение) в информационно-телекоммуникационной сети "Интернет" информации о российской организации, о подаваемой организацией заявке и иной информации о российской организации, связанной с конкурсным отбором.
(пп. "к" введен Постановлением Правительства РФ от 27.01.2021 N 59)
9. Заявка подается в отношении одного комплексного проекта. Одной российской организацией может быть представлено для участия в конкурсном отборе несколько заявок, в том числе в отношении комплексных проектов, реализация которых начата российской организацией за счет собственных, заемных и (или) привлеченных средств.
В течение всего срока подачи (приема) заявок российская организация вправе осуществить отзыв поданной заявки. Отозванная заявка не рассматривается в дальнейшем при проведении конкурсного отбора.
(абзац введен Постановлением Правительства РФ от 23.04.2022 N 746)
Заявки регистрируются в день поступления в Министерство промышленности и торговли Российской Федерации либо размещения в государственной информационной системе промышленности.
(абзац введен Постановлением Правительства РФ от 23.04.2022 N 746)
(п. 9 в ред. Постановления Правительства РФ от 27.01.2021 N 59)
(см. текст в предыдущей редакции)
10. Министерство промышленности и торговли Российской Федерации в срок, не превышающий 3 рабочих дней со дня регистрации заявки:
(в ред. Постановления Правительства РФ от 23.04.2022 N 746)
(см. текст в предыдущей редакции)
а) утратил силу. - Постановление Правительства РФ от 23.04.2022 N 746;
(см. текст в предыдущей редакции)
б) направляет заявку и документы, представленные в соответствии с пунктом 8 настоящих Правил, поступившие в сроки, установленные в объявлении о проведении конкурсного отбора, в конкурсную комиссию;
(см. текст в предыдущей редакции)
в) возвращает российским организациям заявку и документы, поступившие после срока, установленного в объявлении о проведении конкурсного отбора.
(пп. "в" в ред. Постановления Правительства РФ от 23.04.2022 N 746)
(см. текст в предыдущей редакции)
11. На первом этапе конкурсного отбора конкурсная комиссия в сроки и в порядке, которые установлены в объявлении о проведении конкурсного отбора:
(см. текст в предыдущей редакции)
а) проводит проверку соответствия российской организации требованиям, установленным пунктом 4 настоящих Правил, а также соответствия представленных заявки и документов требованиям, установленным пунктом 8 настоящих Правил и в объявлении о проведении конкурсного отбора;
(пп. "а" в ред. Постановления Правительства РФ от 23.04.2022 N 746)
(см. текст в предыдущей редакции)
б) принимает решение, оформляемое протоколом, об отказе в допуске к рассмотрению заявок российских организаций, не соответствующих требованиям, установленным пунктом 4 настоящих Правил, и (или) представивших документы, не соответствующие требованиям, установленным пунктом 8 настоящих Правил или в объявлении о проведении конкурсного отбора, и (или) не представивших (представивших не в полном объеме) документы, указанные в пункте 8 настоящих Правил, и (или) представивших документы, содержащие недостоверную информацию, в том числе информацию о месте нахождения и адресе российской организации, либо представивших документы после даты и (или) времени, определенных для подачи заявки, и в срок, не превышающий 3 рабочих дней со дня принятия указанного решения, уведомляет российскую организацию об отказе в допуске к рассмотрению заявки;
(см. текст в предыдущей редакции)
в) направляет заявки российских организаций, соответствующих требованиям, установленным пунктом 4 настоящих Правил, и представивших документы, соответствующие требованиям, установленным пунктом 8 настоящих Правил и в объявлении о проведении конкурсного отбора, в организацию, подведомственную Министерству промышленности и торговли Российской Федерации и уполномоченную решением Министерства промышленности и торговли Российской Федерации на организацию проведения отраслевой экспертизы (далее - уполномоченная организация).
(см. текст в предыдущей редакции)
11(1). На втором этапе конкурсного отбора уполномоченная организация в срок не позднее 20 рабочих дней со дня получения документов в соответствии с подпунктом "в" пункта 11 настоящих Правил проводит оценку комплексных проектов в соответствии с методикой проведения научно-технической оценки комплексных проектов, указанной в подпункте "б" пункта 7 настоящих Правил, по следующим критериям:
соответствие комплексного проекта целям и задачам государственной программы Российской Федерации "Развитие промышленности и повышение ее конкурентоспособности";
оценка обоснованности бизнес-плана комплексного проекта и сметы затрат комплексного проекта;
оценка обоснованности плана-графика реализации комплексного проекта и плана-графика финансового обеспечения реализации комплексного проекта;
оценка производственных показателей организаций, выпускающих высокотехнологичную промышленную продукцию либо осуществляющих деятельность в области прикладных научных исследований и разработок, направленных на создание высокотехнологичной промышленной продукции, в которых предполагается внедрение разработанных в рамках реализации комплексного проекта цифровых платформ и (или) программных продуктов;
потребность (востребованность) в цифровых платформах и (или) программных продуктах, заявленных к разработке в рамках комплексного проекта;
направления внедрения и коммерческого использования разработанных в рамках реализации комплексного проекта цифровых платформ и (или) программных продуктов.
(п. 11(1) введен Постановлением Правительства РФ от 22.11.2022 N 2112)
11(2). По результатам оценки комплексных проектов уполномоченная организация направляет заключения о результатах проведения оценки комплексных проектов в экспертный совет, образуемый Министерством промышленности и торговли Российской Федерации.
(п. 11(2) введен Постановлением Правительства РФ от 22.11.2022 N 2112)
12. Экспертный совет в срок не позднее 15 рабочих дней со дня получения заключения, указанного в пункте 11(2) настоящих Правил, проводит оценку комплексных проектов в соответствии с методикой проведения научно-технической оценки комплексных проектов, указанной в подпункте "б" пункта 7 настоящих Правил, по следующим критериям:
соответствие мировому уровню технических характеристик базовых технологий цифровых платформ и (или) программных продуктов, разработка которых предусмотрена комплексным проектом;
новизна результатов интеллектуальной деятельности в сфере информационно-коммуникационных технологий, технологий, которые непосредственно используются для организации разработки цифровых платформ и (или) программных продуктов, относительно национального и мирового уровня;
наличие у российской организации результатов научно-исследовательских, опытно-конструкторских и (или) технологических работ, связанных с субтехнологиями сквозных цифровых технологий, определяемых дорожными картами по направлениям развития сквозных цифровых технологий, предусмотренных федеральным проектом "Цифровые технологии" национальной программы "Цифровая экономика Российской Федерации", и их значимость для реализации комплексного проекта.
По результатам оценки экспертный совет принимает решение о целесообразности и обоснованности реализации комплексного проекта либо о нецелесообразности и необоснованности его реализации.
Решение экспертного совета может содержать вывод о необходимости снижения общей стоимости комплексного проекта и максимального размера субсидии с указанием соответствующих рекомендуемых размеров.
Результаты конкурсного отбора оформляются протоколом заседания экспертного совета, содержащим заключения о целесообразности и обоснованности реализации комплексного проекта либо о нецелесообразности и необоснованности его реализации. Протокол заседания экспертного совета направляется в конкурсную комиссию не позднее 3 рабочих дней со дня его подписания.
(п. 12 в ред. Постановления Правительства РФ от 22.11.2022 N 2112)
(см. текст в предыдущей редакции)
13. На третьем этапе конкурсного отбора конкурсная комиссия в срок не позднее 10 рабочих дней со дня получения протокола заседания экспертного совета в соответствии с пунктом 12 настоящих Правил:
(см. текст в предыдущей редакции)
а) в отношении заявок российских организаций, предусматривающих реализацию комплексных проектов, выполнение которых признано нецелесообразным и необоснованным на основании протокола заседания экспертного совета в соответствии с пунктом 12 настоящих Правил, - принимает решение об отказе в допуске к участию в конкурсном отборе заявки и в срок, не превышающий 3 рабочих дней со дня принятия указанного решения, уведомляет российскую организацию об отказе в допуске к рассмотрению заявки;
(в ред. Постановления Правительства РФ от 12.11.2020 N 1813)
(см. текст в предыдущей редакции)
б) в отношении заявок российских организаций, предусматривающих реализацию комплексных проектов, выполнение которых признано целесообразным и обоснованным на основании протокола заседания экспертного совета, - оценивает заявки и составляет рейтинги заявок по каждому виду работ, на возмещение затрат по которым планируется предоставление субсидий в рамках конкурсного отбора, в соответствии с методикой определения рейтинга заявок согласно приложению N 1;
(в ред. Постановления Правительства РФ от 12.11.2020 N 1813)
(см. текст в предыдущей редакции)
в) на основании определенного в соответствии с подпунктом "б" настоящего пункта рейтинга заявок присваивает каждой заявке порядковый номер. По итогам оценки и определения рейтинга заявок оформляется протокол оценки и определения рейтинга заявок в срок не позднее 3 рабочих дней, следующих за днем окончания проведения оценки и определения рейтинга заявок.
14. Министерство промышленности и торговли Российской Федерации в срок не позднее 5 рабочих дней со дня подписания конкурсной комиссией протокола оценки и определения рейтинга заявок размещает указанный протокол на официальном сайте Министерства промышленности и торговли Российской Федерации в сети "Интернет", а также обеспечивает размещение в государственной информационной системе промышленности (с размещением указателя страницы сайта на едином портале) информации о результатах конкурсного отбора, в том числе следующие сведения:
(см. текст в предыдущей редакции)
дата, время и место проведения рассмотрения заявок;
(абзац введен Постановлением Правительства РФ от 27.01.2021 N 59)
дата, время и место оценки заявок;
(абзац введен Постановлением Правительства РФ от 27.01.2021 N 59)
информация о российских организациях - участниках конкурсного отбора, заявки которых были рассмотрены;
(абзац введен Постановлением Правительства РФ от 27.01.2021 N 59)
информация о российских организациях - участниках конкурсного отбора, заявки которых были отклонены, с указанием причин их отклонения, в том числе положений настоящих Правил и (или) объявления о проведении конкурсного отбора, которым не соответствуют такие заявки;
(абзац введен Постановлением Правительства РФ от 27.01.2021 N 59)
последовательность оценки заявок, присвоенные заявкам значения по каждому из предусмотренных критериев оценки заявок, принятое на основании результатов оценки заявок решение о присвоении таким заявкам порядковых номеров;
(абзац введен Постановлением Правительства РФ от 27.01.2021 N 59)
наименование получателей субсидии, с которыми заключаются соглашения, а также размер предоставляемой им субсидии.
(абзац введен Постановлением Правительства РФ от 27.01.2021 N 59)
15. Министерство промышленности и торговли Российской Федерации в срок не позднее 30 рабочих дней со дня подписания протокола оценки и определения рейтинга заявок заключает с российскими организациями соглашения согласно присвоенным в соответствии с подпунктом "в" пункта 13 настоящих Правил порядковым номерам заявок (начиная с первого и далее) до момента исчерпания лимитов бюджетных обязательств, доведенных в установленном порядке до Министерства промышленности и торговли Российской Федерации как получателя средств федерального бюджета на цели, указанные в пункте 1 настоящих Правил.
Соглашения заключаются с учетом сроков и показателей, предусмотренных бизнес-планами комплексных проектов и заявлениями о заключении соглашения, представляемыми российскими организациями в соответствии с пунктом 16(1) настоящих Правил.
В случае если в течение 15 рабочих дней со дня опубликования протокола оценки определения рейтинга заявок российская организация не подписала усиленной квалифицированной электронной подписью соглашение, направленное ей Министерством промышленности и торговли Российской Федерации в форме электронного документа в государственной интегрированной информационной системе управления общественными финансами "Электронный бюджет", Министерство промышленности и торговли Российской Федерации признает такую организацию уклонившейся от заключения соглашения и заключает соглашение с российской организацией, порядковый номер заявки которой следует за порядковым номером заявки российской организации, уклонившейся от заключения соглашения.
(п. 15 в ред. Постановления Правительства РФ от 27.01.2021 N 59)
(см. текст в предыдущей редакции)
16. Соглашение заключается в соответствии с типовой формой, утвержденной Министерством финансов Российской Федерации, в государственной интегрированной информационной системе управления общественными финансами "Электронный бюджет" и должно содержать в том числе:
(в ред. Постановления Правительства РФ от 27.01.2021 N 59)
(см. текст в предыдущей редакции)
а) срок реализации комплексного проекта, общую стоимость комплексного проекта и максимальный размер субсидии в соответствии с заявкой, представленной на конкурсный отбор;
(в ред. Постановления Правительства РФ от 27.01.2021 N 59)
(см. текст в предыдущей редакции)
б) значения результата и характеристик;
(в ред. Постановлений Правительства РФ от 12.11.2020 N 1813, от 27.01.2021 N 59, от 22.11.2022 N 2112)
(см. текст в предыдущей редакции)
в) план-график реализации комплексного проекта, каждый этап которого не может превышать 6 месяцев;
г) план-график финансового обеспечения реализации комплексного проекта;
д) согласие российской организации на проведение Министерством промышленности и торговли Российской Федерации проверок соблюдения российской организацией условий и порядка предоставления субсидии, которые установлены соглашением и настоящими Правилами, в том числе в части достижения результата предоставления субсидии, а также на проведение органами государственного финансового контроля соблюдения российской организацией порядка и условий предоставления субсидии в соответствии со статьями 268.1 и 269.2 Бюджетного кодекса Российской Федерации;
(пп. "д" в ред. Постановления Правительства РФ от 23.04.2022 N 746)
(см. текст в предыдущей редакции)
е) обязательство российской организации по возврату в доход федерального бюджета соответствующей суммы субсидии, в случае если по итогам проверок, проведенных Министерством промышленности и торговли Российской Федерации или органами государственного финансового контроля, установлен факт несоблюдения при ее использовании определенных соглашением и настоящими Правилами условий и (или) порядка предоставления субсидии;
(см. текст в предыдущей редакции)
ж) порядок возврата российской организацией полученной субсидии в случае установления факта нарушения условий и (или) порядка предоставления субсидии;
(в ред. Постановления Правительства РФ от 23.04.2022 N 746)
(см. текст в предыдущей редакции)
з) требование к ведению российской организацией раздельного учета затрат на реализацию комплексного проекта (в отношении затрат, осуществленных организацией после заключения соглашения);
(см. текст в предыдущей редакции)
и) формы и сроки представления:
(в ред. Постановления Правительства РФ от 12.11.2020 N 1813)
(см. текст в предыдущей редакции)
абзац утратил силу. - Постановление Правительства РФ от 27.01.2021 N 59;
(см. текст в предыдущей редакции)
абзац утратил силу. - Постановление Правительства РФ от 12.11.2020 N 1813;
(см. текст в предыдущей редакции)
отчета о достижении контрольных событий в соответствии с планом-графиком реализации комплексного проекта;
к) перечень затрат, на возмещение которых предоставляется субсидия;
л) обязанность российской организации представлять отчетность в соответствии с пунктом 24 настоящих Правил, ответственность российской организации за несвоевременное представление указанной отчетности, а также ответственность за несоблюдение порядка представления документов и порядка, формы и сроков представления отчета, указанного в подпункте "и" настоящего пункта;
(пп. "л" в ред. Постановления Правительства РФ от 27.01.2021 N 59)
(см. текст в предыдущей редакции)
м) утратил силу. - Постановление Правительства РФ от 23.04.2022 N 746;
(см. текст в предыдущей редакции)
н) условие о согласовании новых условий соглашения или расторжения соглашения при недостижении согласия о новых условиях - в случае уменьшения Министерству промышленности и торговли Российской Федерации как получателю средств федерального бюджета на соответствующий финансовый год ранее доведенных лимитов бюджетных обязательств, приводящего к невозможности предоставления субсидии в размере, определенном в соглашении.
(пп. "н" введен Постановлением Правительства РФ от 27.01.2021 N 59)
16(1). Для заключения договора российская организация представляет в Министерство промышленности и торговли Российской Федерации заявление о заключении договора, в котором указывается информация, предусмотренная подпунктами "а" (в части общей стоимости комплексного проекта и максимального размера субсидии), "г" и "к" пункта 16 настоящих Правил.
(п. 16(1) введен Постановлением Правительства РФ от 12.11.2020 N 1813)
17. Для перечисления субсидии российская организация, с которой заключено соглашение, представляет в Министерство промышленности и торговли Российской Федерации в сроки, установленные соглашением, но не позднее 25 ноября текущего финансового года:
(см. текст в предыдущей редакции)
а) заявление о перечислении субсидии, составленное в произвольной форме и подписанное руководителем российской организации, с приложением расчета размера субсидии по форме согласно приложению N 2;
(пп. "а" в ред. Постановления Правительства РФ от 12.11.2020 N 1813)
(см. текст в предыдущей редакции)
б) отчет о расходах в соответствии с утвержденной формой, с приложением документов, подтверждающих затраты на разработку цифровых платформ и (или) программных продуктов в рамках реализации комплексного проекта, подписанных руководителем и главным бухгалтером (при наличии) российской организации, в том числе выписки со счетов бухгалтерского учета, на которых российская организация ведет раздельный учет затрат в рамках комплексного проекта в соответствии с подпунктом "з" пункта 16 настоящих Правил;
в) утратил силу. - Постановление Правительства РФ от 12.11.2020 N 1813;
(см. текст в предыдущей редакции)
г) отчет о достижении контрольных событий в соответствии с планом-графиком реализации комплексного проекта, подписанный руководителем и главным бухгалтером (при наличии) российской организации, с приложением подтверждающих документов;
д) справку, подписанную руководителем российской организации, подтверждающую отсутствие у российской организации просроченной задолженности по денежным обязательствам перед Российской Федерацией, указанным в статье 93.4 Бюджетного кодекса Российской Федерации.
(пп. "д" в ред. Постановления Правительства РФ от 12.11.2020 N 1813)
(см. текст в предыдущей редакции)
18. Документы, указанные в пунктах 16(1) и 17 настоящих Правил, регистрируются в день поступления либо размещения в государственной информационной системе промышленности.
(п. 18 в ред. Постановления Правительства РФ от 23.04.2022 N 746)
(см. текст в предыдущей редакции)
19. Министерство промышленности и торговли Российской Федерации в срок, не превышающий 15 рабочих дней со дня представления российской организацией документов, указанных в пункте 17 настоящих Правил, проверяет полноту и достоверность содержащихся в них сведений и принимает решение о перечислении субсидии либо об отказе в перечислении субсидии.
(в ред. Постановления Правительства РФ от 26.09.2019 N 1263)
(см. текст в предыдущей редакции)
В случае принятия решения об отказе в перечислении субсидии Министерство промышленности и торговли Российской Федерации в срок, не превышающий 3 рабочих дней со дня принятия указанного решения, уведомляет российскую организацию об отказе в перечислении субсидии.
Абзац утратил силу. - Постановление Правительства РФ от 12.11.2020 N 1813.
(см. текст в предыдущей редакции)
20. Основаниями для отказа в перечислении субсидии являются:
а) несоответствие представленных документов требованиям, установленным пунктом 17 настоящих Правил, а также условиям соглашения или непредставление (представление не в полном объеме) указанных документов;
(в ред. Постановления Правительства РФ от 27.01.2021 N 59)
(см. текст в предыдущей редакции)
б) установление факта недостоверности представленной российской организацией информации;
(пп. "б" в ред. Постановления Правительства РФ от 27.01.2021 N 59)
(см. текст в предыдущей редакции)
в) недостижение в течение двух периодов подряд контрольных событий, указанных в плане-графике реализации комплексного проекта;
(пп. "в" в ред. Постановления Правительства РФ от 12.11.2020 N 1813)
(см. текст в предыдущей редакции)
г) наличие у российской организации просроченной задолженности по денежным обязательствам перед Российской Федерацией, указанным в статье 93.4 Бюджетного кодекса Российской Федерации.
21. Субсидия перечисляется российской организации в срок не позднее 10 рабочих дней со дня принятия Министерством промышленности и торговли Российской Федерации решения о перечислении субсидии на расчетный счет, открытый в кредитной организации.
22. Информация о размерах и сроках перечисления субсидий учитывается Министерством промышленности и торговли Российской Федерации при формировании прогноза кассовых выплат из федерального бюджета, необходимого для составления в установленном порядке кассового плана исполнения федерального бюджета.
23. Результатом предоставления субсидии является количество поддержанных в соответствующем финансовом году проектов российских организаций по разработке цифровых платформ и программных продуктов в целях создания и (или) развития производства высокотехнологичной промышленной продукции. Точные даты завершения результата предоставления субсидии установлены в паспорте федерального проекта "Цифровые технологии" национальной программы "Цифровая экономика Российской Федерации". Характеристиками являются:
(см. текст в предыдущей редакции)
а) достижение результатов работ в объеме и в сроки, которые установлены в соглашении;
(см. текст в предыдущей редакции)
б) внедрение результатов работ в организациях, выпускающих высокотехнологичную промышленную продукцию либо осуществляющих деятельность в области прикладных научных исследований и разработок, направленных на создание высокотехнологичной промышленной продукции;
в) функционирование разработанных цифровых платформ и (или) программных продуктов с использованием субтехнологии (субтехнологий) одной из сквозных цифровых технологий, включенных в состав дорожных карт по направлениям развития сквозных цифровых технологий, предусмотренных федеральным проектом "Цифровые технологии" национальной программы "Цифровая экономика Российской Федерации";
г) внесение разработанных программных продуктов в Единый реестр российских программ для электронных вычислительных машин и баз данных в соответствии с постановлением Правительства Российской Федерации от 16 ноября 2015 г. N 1236 "Об установлении запрета на допуск программного обеспечения, происходящего из иностранных государств, для целей осуществления закупок для обеспечения государственных и муниципальных нужд" в срок не позднее 1 года со дня окончания реализации комплексного проекта.
24. Российская организация обязана ежеквартально, не позднее 20-го числа месяца, следующего за отчетным кварталом, представлять в Министерство промышленности и торговли Российской Федерации отчеты о достижении значений результата предоставления субсидии и характеристик, указанных в пункте 23 настоящих Правил, по форме, определенной типовой формой соглашения о предоставлении субсидии, установленной Министерством финансов Российской Федерации.
(в ред. Постановлений Правительства РФ от 27.01.2021 N 59, от 23.04.2022 N 746, от 22.11.2022 N 2112)
(см. текст в предыдущей редакции)
По результатам окончания реализации комплексного проекта российская организация представляет отчет о реализации комплексного проекта с приложением подтверждающих документов.
Достижение результата предоставления субсидии, указанного в пункте 23 настоящих Правил, определяется Министерством промышленности и торговли Российской Федерации ежегодно на основании отчетов российских организаций, представляемых в соответствии с абзацем первым настоящего пункта.
(в ред. Постановления Правительства РФ от 27.01.2021 N 59)
(см. текст в предыдущей редакции)
(п. 24 в ред. Постановления Правительства РФ от 12.11.2020 N 1813)
(см. текст в предыдущей редакции)
25. В случае установления факта недостижения значений результата предоставления субсидии и (или) показателей, необходимых для достижения результата предоставления субсидии, установленных пунктом 23 настоящих Правил и соглашением, российская организация обеспечивает возврат средств субсидий в доход федерального бюджета в срок, не превышающий 10 рабочих дней со дня получения соответствующего требования Министерства промышленности и торговли Российской Федерации, направленного заказным почтовым отправлением с уведомлением о вручении.
(в ред. Постановления Правительства РФ от 23.04.2022 N 746)
(см. текст в предыдущей редакции)
В отношении соглашений, заключенных в соответствии с настоящими Правилами до 1 июня 2020 г., сроки исполнения обязательств по которым оканчиваются после 1 июня 2020 г., в случае невозможности достижения значений характеристик в сроки, установленные в договорах на 2020 год, по независящим от российской организации - получателя субсидии обстоятельствам в связи с распространением новой коронавирусной инфекции на территории Российской Федерации допускается продление таких сроков до 12 месяцев без применения штрафных санкций в размере представленной субсидии в соответствии с настоящими Правилами на основании заявления с приложением документов, подтверждающих наступление таких обстоятельств, поступившего от российской организации - получателя субсидии в Министерство промышленности и торговли Российской Федерации в письменной форме до 1 февраля 2021 г.
(абзац введен Постановлением Правительства РФ от 24.12.2020 N 2257; в ред. Постановлений Правительства РФ от 27.01.2021 N 59, от 22.11.2022 N 2112)
(см. текст в предыдущей редакции)
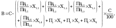
25(1). Размер средств, подлежащих возврату в доход федерального бюджета в случае недостижения значений результата предоставления субсидии и (или) характеристик (B), рассчитывается по формуле:
C - размер предоставленной субсидии;
Пд1.1 - достигнутое значение характеристики, касающейся количества созданных и (или) модернизированных высокопроизводительных рабочих мест в организациях, выпускающих высокотехнологичную промышленную продукцию либо осуществляющих деятельность в области прикладных научных исследований и разработок, направленных на создание и (или) развитие производства высокотехнологичной промышленной продукции;
Пп1.1 - плановое значение характеристики, касающейся количества созданных и (или) модернизированных высокопроизводительных рабочих мест в организациях, выпускающих высокотехнологичную промышленную продукцию либо осуществляющих деятельность в области прикладных научных исследований и разработок, направленных на создание и (или) развитие производства высокотехнологичной промышленной продукции;
X1.1 - удельный вес характеристики, касающейся количества созданных и (или) модернизированных высокопроизводительных рабочих мест в организациях, выпускающих высокотехнологичную промышленную продукцию либо осуществляющих деятельность в области прикладных научных исследований и разработок, направленных на создание и (или) развитие производства высокотехнологичной промышленной продукции, значимость которой составляет 10;
Пд1.2 - достигнутое значение характеристики, касающейся соотношения российских и импортных технологий, программного обеспечения, электронной компонентной базы, материалов и комплектующих, использованных для разработки цифровых платформ и (или) программных продуктов;
Пп1.2 - плановое значение характеристики, касающейся соотношения российских и импортных технологий, программного обеспечения, электронной компонентной базы, материалов и комплектующих, использованных для разработки цифровых платформ и (или) программных продуктов;
X1.2 - удельный вес характеристики, касающейся соотношения российских и импортных технологий, программного обеспечения, электронной компонентной базы, материалов и комплектующих, использованных для разработки цифровых платформ и (или) программных продуктов, значимость которой составляет 10;
Пд1.3 - достигнутое значение характеристики, касающейся количества патентов (свидетельств), которые получены по результатам реализации комплексного проекта;
Пп1.3 - плановое значение характеристики, касающейся количества патентов (свидетельств), которые получены по результатам реализации комплексного проекта;
X1.3 - удельный вес характеристики, касающейся количества патентов (свидетельств), которые получены по результатам реализации комплексного проекта, значимость которой составляет 10;
Пд1.4 - достигнутое значение характеристики, касающейся фактического срока завершения реализации комплексного проекта;
Пп1.4 - плановое значение характеристики, касающейся заявленного срока завершения реализации комплексного проекта;
X1.4 - удельный вес характеристики, касающейся заявленного срока завершения реализации комплексного проекта, значимость которой составляет 10;
П2 - характеристика, касающаяся внедрения результатов работ в организациях, выпускающих высокотехнологичную промышленную продукцию либо осуществляющих деятельность в области прикладных научных исследований и разработок, направленных на создание и (или) развитие высокотехнологичной промышленной продукции, значение которой считается равным 1 в случае его достижения или равным 0 в случае его недостижения;
X2 - удельный вес характеристики П2, значимость которой составляет 20;
П3 - характеристика, касающаяся функционирования разработанных цифровых платформ и (или) программных продуктов с использованием субтехнологии (субтехнологий) одной из сквозных цифровых технологий, включенных в состав дорожных карт по направлениям развития сквозных цифровых технологий, предусмотренных федеральным проектом "Цифровые технологии" национальной программы "Цифровая экономика Российской Федерации", значение которой считается равным 1 в случае его достижения или равным 0 в случае его недостижения;
X3 - удельный вес характеристики П3, значимость которой составляет 20;
П4 - характеристика, касающаяся включения не позднее одного года со дня окончания реализации комплексного проекта разработанных программных продуктов в единый реестр российских программ для электронных вычислительных машин и баз данных в соответствии с Правилами формирования и ведения единого реестра российских программ для электронных вычислительных машин и баз данных и единого реестра программ для электронных вычислительных машин и баз данных из государств - членов Евразийского экономического союза, за исключением Российской Федерации, утвержденными постановлением Правительства Российской Федерации от 16 ноября 2015 г. N 1236 "Об установлении запрета на допуск программного обеспечения, происходящего из иностранных государств, для целей осуществления закупок для обеспечения государственных и муниципальных нужд", значение которой считается равным 1 в случае его достижения или равным 0 в случае его недостижения;
X4 - удельный вес характеристики П4, значимость которой составляет 20.
В случае если достигнутое значение характеристики (Пд) превышает плановое значение этой характеристики (Пп), отношение достигнутого значения характеристики к плановому значению этой характеристики считается равным 1.
Размер средств, подлежащих возврату в доход федерального бюджета, пропорционален степени недостижения результата предоставления субсидии и значений характеристик, указанных в соглашении.
(п. 25(1) в ред. Постановления Правительства РФ от 22.11.2022 N 2112)
(см. текст в предыдущей редакции)
26. Министерство промышленности и торговли Российской Федерации проводит проверки соблюдения российскими организациями порядка и условий предоставления субсидий, в том числе в части достижения результата предоставления субсидии. Органы государственного финансового контроля проводят проверки в соответствии со статьями 268.1 и 269.2 Бюджетного кодекса Российской Федерации.
(п. 26 в ред. Постановления Правительства РФ от 23.04.2022 N 746)
(см. текст в предыдущей редакции)
26(1). Министерство промышленности и торговли Российской Федерации проводит мониторинг достижения результатов предоставления субсидии исходя из достижения значений результатов предоставления субсидии, определенных соглашением, и событий, отражающих факт завершения соответствующего мероприятия по получению результата предоставления субсидии (контрольная точка), в порядке и по формам, которые установлены Министерством финансов Российской Федерации.
В целях оценки достижения российскими организациями результатов предоставления субсидии и значений характеристик отчеты российских организаций, представляемые в соответствии с абзацами первым и вторым пункта 24 настоящих Правил, направляются Министерством промышленности и торговли Российской Федерации в уполномоченную организацию для организации проведения отраслевой экспертизы.
(абзац введен Постановлением Правительства РФ от 22.11.2022 N 2112)
(п. 26(1) введен Постановлением Правительства РФ от 23.04.2022 N 746)
27. В случае установления по итогам проверок, проведенных Министерством промышленности и торговли Российской Федерации и органами государственного финансового контроля, факта несоблюдения российской организацией условий и порядка предоставления субсидии, средства, полученные российской организацией, подлежат возврату в доход федерального бюджета:
(см. текст в предыдущей редакции)
а) на основании требования Министерства промышленности и торговли Российской Федерации, направленного заказным почтовым отправлением с уведомлением о вручении, - в срок, не превышающий 10 рабочих дней со дня получения соответствующего требования российской организацией;
б) на основании представления и (или) предписания органа государственного финансового контроля - в срок, установленный в соответствии с бюджетным законодательством Российской Федерации.
28. Российская организация не более одного раза за календарный год вправе обратиться в Министерство промышленности и торговли Российской Федерации с мотивированным заявлением о внесении изменений в сроки достижения характеристик и (или) в план-график реализации комплексного проекта (далее - заявление о внесении изменений) в следующих случаях:
(в ред. Постановлений Правительства РФ от 12.11.2020 N 1813, от 23.04.2022 N 746, от 22.11.2022 N 2112)
(см. текст в предыдущей редакции)
а) введение торговых и экономических санкций в отношении российских юридических и (или) физических лиц, оказывающих влияние на реализацию комплексного проекта;
б) изменение валютных курсов более чем на 30 процентов с фиксацией измененного курса в течение не менее чем 6 месяцев, предшествующих дате подачи заявления о внесении изменений;
в) изменение стоимости результатов интеллектуальной деятельности, программного обеспечения, комплектующих изделий и услуг, необходимых для реализации комплексного проекта, на мировых рынках в рублевом эквиваленте более чем на 15 процентов с фиксацией измененной стоимости в течение не менее чем 6 месяцев, предшествующих дате подачи заявления о внесении изменений;
г) применение Правительством Российской Федерации мер, ограничивающих закупку результатов интеллектуальной деятельности, программного обеспечения, комплектующих изделий и услуг, указанных в бизнес-плане комплексного проекта и оказывающих влияние на сроки реализации мероприятий плана-графика реализации комплексного проекта и достижение значений показателей результативности использования субсидии;
д) наступление обстоятельств непреодолимой силы (под обстоятельствами непреодолимой силы понимаются обстоятельства, определяемые в соответствии со статьей 401 Гражданского кодекса Российской Федерации и непосредственно затронувшие реализацию комплексного проекта);
(пп. "д" введен Постановлением Правительства РФ от 12.11.2020 N 1813)
е) утратил силу. - Постановление Правительства РФ от 23.04.2022 N 746.
(см. текст в предыдущей редакции)
29. Заявление о внесении изменений регистрируется в день поступления либо размещения в государственной информационной системе промышленности.
(п. 29 в ред. Постановления Правительства РФ от 23.04.2022 N 746)
(см. текст в предыдущей редакции)
30. Министерство промышленности и торговли Российской Федерации в срок не позднее 3 рабочих дней со дня получения заявления о внесении изменений направляет его в экспертный совет.
31. Экспертный совет в срок не позднее 15 рабочих дней со дня получения заявления о внесении изменений в соответствии с пунктом 30 настоящих Правил проводит оценку возможности (невозможности) внесения изменений в сроки достижения значений характеристик и (или) в план-график реализации комплексного проекта. По результатам указанной оценки оформляется заключение о целесообразности (нецелесообразности) внесения изменений, которое в срок не позднее 3 рабочих дней со дня проведения оценки направляется в Министерство промышленности и торговли Российской Федерации.
(в ред. Постановлений Правительства РФ от 12.11.2020 N 1813, от 23.04.2022 N 746, от 22.11.2022 N 2112)
(см. текст в предыдущей редакции)
32. Министерство промышленности и торговли Российской Федерации не позднее 15 рабочих дней со дня получения заключения экспертного совета о целесообразности (нецелесообразности) внесения изменений принимает решение о возможности (невозможности) внесения изменений в сроки достижения значений характеристик и (или) в план-график реализации комплексного проекта.
(см. текст в предыдущей редакции)
33. В случае невозможности достижения в 2022 году российской организацией значений результата предоставления субсидии и (или) характеристик, определенных в соглашении, в установленные сроки по независящим от российской организации обстоятельствам в случае, предусмотренном в подпункте "а" пункта 28 настоящих Правил, на основании мотивированного заявления российской организации допускается изменение таких значений и (или) продление (без увеличения размера предоставляемой субсидии) сроков их достижения до 24 месяцев без применения штрафных санкций в отношении российской организации.
(п. 33 введен Постановлением Правительства РФ от 23.04.2022 N 746; в ред. Постановления Правительства РФ от 22.11.2022 N 2112)
(см. текст в предыдущей редакции)
34. Предусмотренные пунктом 33 настоящих Правил изменения вносятся в соглашения на основании заявления с приложением документов, подтверждающих наступление таких обстоятельств, поступившего от российской организации - получателя субсидии в Министерство промышленности и торговли Российской Федерации в пределах срока, предусмотренного для достижения значений соответствующих результатов и характеристик. Указанное заявление регистрируется в день поступления в Министерство промышленности и торговли Российской Федерации либо размещения в государственной информационной системе промышленности.
(п. 34 введен Постановлением Правительства РФ от 23.04.2022 N 746; в ред. Постановления Правительства РФ от 22.11.2022 N 2112)
(см. текст в предыдущей редакции)
- Приложение N 1. Методика определения рейтинга заявок, представленных российскими организациями на конкурсный отбор на право получения субсидий на возмещение части затрат на разработку цифровых платформ и программных продуктов в целях создания и (или) развития производства высокотехнологичной промышленной продукции
- Приложение N 2. Расчет размера субсидии российской организации на возмещение части затрат на разработку цифровых платформ и программных продуктов в целях создания и (или) развития производства высокотехнологичной промышленной продукции (форма)
- Приложение N 3. Отчет о достижении результата предоставления субсидии и значений показателей, необходимых для достижения результата предоставления субсидии (форма). - Утратило силу
- Гражданский кодекс (ГК РФ)
- Жилищный кодекс (ЖК РФ)
- Налоговый кодекс (НК РФ)
- Трудовой кодекс (ТК РФ)
- Уголовный кодекс (УК РФ)
- Бюджетный кодекс (БК РФ)
- Арбитражный процессуальный кодекс
- Конституция РФ
- Земельный кодекс (ЗК РФ)
- Лесной кодекс (ЛК РФ)
- Семейный кодекс (СК РФ)
- Уголовно-исполнительный кодекс
- Уголовно-процессуальный кодекс
- Производственный календарь на 2025 год
- МРОТ 2025
- ФЗ «О банкротстве»
- О защите прав потребителей (ЗОЗПП)
- Об исполнительном производстве
- О персональных данных
- О налогах на имущество физических лиц
- О средствах массовой информации
- Производственный календарь на 2026 год
- Федеральный закон "О полиции" N 3-ФЗ
- Расходы организации ПБУ 10/99
- Минимальный размер оплаты труда (МРОТ)
- Календарь бухгалтера на 2025 год
- Частичная мобилизация: обзор новостей
- Постановление Правительства РФ N 1875
