IV. Расчет размера платы за коммунальную услугу по отоплению и (или) горячему водоснабжению, предоставленную за расчетный период потребителю в жилом помещении (квартире) или нежилом помещении при самостоятельном производстве исполнителем в многоквартирном доме коммунальной услуги по отоплению и (или) горячему водоснабжению (при отсутствии централизованного теплоснабжения и (или) горячего водоснабжения)
IV. Расчет размера платы за коммунальную услугу
по отоплению и (или) горячему водоснабжению,
предоставленную за расчетный период потребителю
в жилом помещении (квартире) или нежилом помещении
при самостоятельном производстве исполнителем
в многоквартирном доме коммунальной услуги
по отоплению и (или) горячему водоснабжению
(при отсутствии централизованного теплоснабжения
и (или) горячего водоснабжения)
20. Размер платы за коммунальную услугу по отоплению, предоставленную за расчетный период в i-м жилом помещении (квартире) или нежилом помещении в многоквартирном доме, согласно пункту 54 Правил определяется по формуле 18:
- объем (количество) v-го коммунального ресурса (тепловая энергия, газ или иное топливо, электрическая энергия, холодная вода), использованного за расчетный период при производстве коммунальной услуги по отоплению, определенный при осуществлении оплаты коммунальной услуги по отоплению в течение отопительного периода в порядке, установленном пунктом 54 Правил, а при оплате равномерно в течение календарного года установленный исходя из среднемесячного объема расхода такого коммунального ресурса, использованного при производстве коммунальной услуги по отоплению за предыдущий год;
(в ред. Постановления Правительства РФ от 26.12.2016 N 1498)
(см. текст в предыдущей редакции)
Si - общая площадь i-го жилого помещения (квартиры) или нежилого помещения в многоквартирном доме;
Sоб - общая площадь всех жилых помещений (квартир) и нежилых помещений в многоквартирном доме;
- тариф (цена) на v-й коммунальный ресурс (тепловая энергия, газ или иное топливо, электрическая энергия, холодная вода), использованный за расчетный период при производстве коммунальной услуги по отоплению, установленный (определенная) в соответствии с законодательством Российской Федерации.
(см. текст в предыдущей редакции)
20(1). Размер платы за коммунальную услугу по отоплению, предоставленную за расчетный период в i-м жилом помещении (квартире) или нежилом помещении в многоквартирном доме, в котором прибор учета тепловой энергии установлен на оборудовании, входящем в состав общего имущества в многоквартирном доме, с использованием которого была произведена коммунальная услуга по отоплению, и индивидуальные и (или) общие (квартирные) приборы учета тепловой энергии установлены в жилых и (или) нежилых помещениях в многоквартирном доме, определяется по формуле 18(1):
- удельный расход v-го коммунального ресурса (газ или иное топливо, электрическая энергия), использованного в целях производства коммунальной услуги по отоплению, определяемый по формуле 18(2):
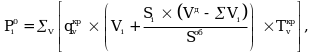
- объем (количество) v-го коммунального ресурса (газ или иное топливо, электрическая энергия), использованного за расчетный период при производстве коммунальной услуги по отоплению, определенный при осуществлении оплаты коммунальной услуги по отоплению в течение отопительного периода в порядке, установленном пунктом 54 Правил, а при оплате равномерно в течение календарного года установленный исходя из среднемесячного объема расхода такого коммунального ресурса, использованного при производстве коммунальной услуги по отоплению за предыдущий год;
Qгв + Qот - количество произведенной тепловой энергии в целях предоставления коммунальной услуги по отоплению и на подогрев воды в целях предоставления коммунальной услуги по горячему водоснабжению, потребленной в жилых и нежилых помещениях и на общедомовые нужды многоквартирного дома, определяемое в соответствии с пунктом 54 Правил при осуществлении оплаты коммунальной услуги по отоплению в течение отопительного периода по показаниям прибора учета тепловой энергии, установленного на оборудовании, с использованием которого исполнителем была произведена коммунальная услуга по отоплению, а при оплате равномерно в течение календарного года - исходя из среднемесячного объема, определенного по показаниям такого прибора за предыдущий год;
Vi - объем (количество) потребленной за расчетный период тепловой энергии, приходящийся на i-е помещение (жилое или нежилое) в многоквартирном доме, определяемый в соответствии с пунктом 3(1) настоящего приложения;
Vд - объем (количество) потребленной за расчетный период тепловой энергии, определенный прибором учета тепловой энергии, установленным на оборудовании, входящем в состав общего имущества в многоквартирном доме, с использованием которого была произведена коммунальная услуга по отоплению;
Si - общая площадь i-го жилого помещения (квартиры) или нежилого помещения в многоквартирном доме;
Sоб - общая площадь всех жилых помещений (квартир) и нежилых помещений в многоквартирном доме;
- тариф (цена) на v-й коммунальный ресурс (газ или иное топливо, электрическая энергия), использованный за расчетный период при производстве коммунальной услуги по отоплению, установленный (определенный) в соответствии с законодательством Российской Федерации.
(п. 20(1) в ред. Постановления Правительства РФ от 31.07.2021 N 1295)
(см. текст в предыдущей редакции)
20(2). Размер платы за коммунальную услугу по отоплению в i-м жилом или нежилом помещении в многоквартирном доме, определенный по формуле 18(1), при оплате равномерно в течение календарного года корректируется один раз в год исполнителем по формуле 18(3):
Pкр.i - размер платы за коммунальную услугу по отоплению в i-м жилом или нежилом помещении в многоквартирном доме, определенный по формуле 18(1) за прошедший год исходя из показаний индивидуальных (квартирных) приборов учета тепловой энергии в i-м жилом или нежилом помещении и показаний прибора учета тепловой энергии, установленного на оборудовании, входящем в состав общего имущества в многоквартирном доме, с использованием которого была произведена коммунальная услуга по отоплению;
(в ред. Постановления Правительства РФ от 28.12.2018 N 1708)
(см. текст в предыдущей редакции)
Pпр.i - размер платы за коммунальную услугу по отоплению, начисленный за прошедший год потребителю в i-м жилом или нежилом помещении в многоквартирном доме, определенный в соответствии с формулой 18(1), предусмотренной настоящим приложением, исходя из среднемесячного потребления тепловой энергии за предыдущий год.
(п. 20(2) введен Постановлением Правительства РФ от 26.12.2016 N 1498)
21. Размер платы за коммунальную услугу по отоплению, предоставленную за расчетный период в j-й принадлежащей потребителю (находящейся в его пользовании) комнате (комнатах) в i-й коммунальной квартире, согласно пункту 50 Правил определяется по формуле 19:
- размер платы за коммунальную услугу по отоплению за расчетный период, определенный в соответствии с пунктом 54, предусмотренным настоящим приложением, для i-й коммунальной квартиры;
(в ред. Постановления Правительства РФ от 26.12.2016 N 1498)
(см. текст в предыдущей редакции)
Sj.i - жилая площадь j-й принадлежащей потребителю (находящейся в его пользовании) комнаты (комнат) в i-й коммунальной квартире;
- общая жилая площадь комнат в i-й коммунальной квартире.
22. Размер платы за коммунальную услугу по горячему водоснабжению, предоставленную за расчетный период в i-м жилом помещении (квартире) или нежилом помещении в многоквартирном доме, согласно пункту 54 Правил определяется по формуле 20:
- объем потребленной за расчетный период в i-м жилом или нежилом помещении горячей воды, определенный по показаниям индивидуального или общего (квартирного) прибора учета в i-м жилом или нежилом помещении. При отсутствии приборов учета объем потребленной горячей воды определяется:
в жилом помещении - исходя из нормативов потребления горячей воды в жилом помещении и количества граждан, постоянно и временно проживающих в i-м жилом помещении;
в нежилом помещении - из расчетного объема горячей воды, потребленной в нежилых помещениях, определяемого в соответствии с пунктом 43 Правил;
Tхв - тариф на холодную воду, установленный в соответствии с законодательством Российской Федерации;
- удельный расход v-го коммунального ресурса на подогрев воды, утвержденный в соответствии с законодательством Российской Федерации уполномоченным органом норматив расхода v-го коммунального ресурса на подогрев воды в целях предоставления коммунальной услуги по горячему водоснабжению. При наличии коллективного (общедомового) прибора учета v-го коммунального ресурса, использованного за расчетный период на производство тепловой энергии в целях предоставления коммунальной услуги по отоплению и подогреву воды в целях предоставления коммунальной услуги по горячему водоснабжению, потребленной в жилых и нежилых помещениях и на общедомовые нужды многоквартирного дома, определяется по формуле 20.1:
(в ред. Постановления Правительства РФ от 26.12.2016 N 1498)
(см. текст в предыдущей редакции)
Vкр - объем v-го коммунального ресурса, использованного за расчетный период на производство тепловой энергии в целях предоставления коммунальной услуги по отоплению и на подогрев воды в целях предоставления коммунальной услуги по горячему водоснабжению, потребленной в жилых и нежилых помещениях и на общедомовые нужды многоквартирного дома;
Qгв + Qот - количество произведенной тепловой энергии в целях предоставления коммунальной услуги по отоплению и на подогрев воды в целях предоставления коммунальной услуги по горячему водоснабжению, потребленной в жилых и нежилых помещениях и на общедомовые нужды многоквартирного дома, определяемое в соответствии с пунктом 54 Правил;
- норматив расхода тепловой энергии, используемой на подогрев воды в целях предоставления коммунальной услуги по горячему водоснабжению;
Tкр - тариф (цена) на v-й коммунальный ресурс, установленный (определенная) в соответствии с законодательством Российской Федерации.
(в ред. Постановления Правительства РФ от 22.05.2019 N 637)
(см. текст в предыдущей редакции)
(п. 22 в ред. Постановления Правительства РФ от 14.02.2015 N 129)
(см. текст в предыдущей редакции)
22(1). Размер платы за коммунальную услугу по горячему водоснабжению, предоставленную на общедомовые нужды в многоквартирном доме, для i-го жилого помещения (квартиры) или нежилого помещения определяется по формуле 20.2:
- объем горячей воды, предоставленной за расчетный период на общедомовые нужды в многоквартирном доме, приходящийся на i-е жилое или нежилое помещение, определяется:
при наличии коллективного (общедомового) прибора учета горячей воды - по формуле 12, предусмотренной настоящим приложением;
при отсутствии коллективного (общедомового) прибора учета горячей воды - исходя из норматива потребления коммунальной услуги по горячему водоснабжению на общедомовые нужды;
при наличии коллективного (общедомового) прибора учета холодной воды, подаваемой в многоквартирный дом в целях предоставления коммунальных услуг по холодному и горячему водоснабжению, - по формуле 11.2, предусмотренной настоящим приложением.
(п. 22(1) введен Постановлением Правительства РФ от 14.02.2015 N 129)
22(2). В случае отсутствия индивидуального или общего (квартирного) прибора учета горячей воды при наличии обязанности установки такого прибора учета размер платы за коммунальную услугу по горячему водоснабжению, предоставленную за расчетный период в i-м жилом помещении в многоквартирном доме, согласно пункту 54 Правил определяется по формуле 20(3):
Kпов - повышающий коэффициент, величина которого принимается равной 1,5. В г. Москве величина повышающего коэффициента увеличивается на величину, установленную органами государственной власти г. Москвы, не превышающую 1,5. Этот коэффициент не применяется, если потребителем предоставлен акт обследования на предмет установления наличия (отсутствия) технической возможности установки индивидуального, общего (квартирного) прибора учета горячей воды, подтверждающий отсутствие технической возможности установки такого прибора учета, начиная с расчетного периода, в котором составлен такой акт;
(в ред. Постановления Правительства РФ от 29.07.2023 N 1226)
(см. текст в предыдущей редакции)
- объем потребленной за расчетный период в i-м жилом помещении горячей воды, определенный исходя из нормативов потребления горячей воды в жилом помещении и количества граждан, постоянно и временно проживающих в i-м жилом помещении;
Тхв - тариф на холодную воду, установленный в соответствии с законодательством Российской Федерации;
- удельный расход v-го коммунального ресурса на подогрев воды, утвержденный в соответствии с законодательством Российской Федерации уполномоченным органом норматив расхода v-го коммунального ресурса на подогрев воды в целях предоставления коммунальной услуги по горячему водоснабжению. При наличии коллективного (общедомового) прибора учета v-го коммунального ресурса, использованного за расчетный период на производство тепловой энергии в целях предоставления коммунальной услуги по отоплению и подогреву воды в целях предоставления коммунальной услуги по горячему водоснабжению, потребленной в жилых помещениях и на общедомовые нужды многоквартирного дома, определяется по формуле 20(1).
(п. 22(2) введен Постановлением Правительства РФ от 26.12.2016 N 1498)
23. Размер платы за коммунальную услугу по горячему водоснабжению, предоставленную за расчетный период в j-й принадлежащей потребителю (находящейся в его пользовании) комнате (комнатах) в i-й коммунальной квартире, согласно пункту 50 Правил определяется по формуле 21:
- размер платы за коммунальную услугу по горячему водоснабжению за расчетный период, определенный в соответствии с формулой 20, предусмотренной настоящим приложением, для i-й коммунальной квартиры;
nj.i - количество граждан, постоянно и временно проживающих в j-й принадлежащей потребителю (находящейся в его пользовании) комнате (комнатах) в i-й коммунальной квартире;
ni - количество граждан, постоянно и временно проживающих в i-й коммунальной квартире.
23(1). Размер платы за коммунальную услугу по горячему водоснабжению, предоставленную на общедомовые нужды в многоквартирном доме, для j-й комнаты i-го жилого помещения (квартиры) определяется по формуле 21.1:
- размер платы за коммунальную услугу по горячему водоснабжению, предоставленную на общедомовые нужды в многоквартирном доме, для i-го жилого помещения (квартиры), определенный в соответствии с формулой 20.2, предусмотренной настоящим приложением;
Sji - площадь j-й комнаты в i-й коммунальной квартире;
Si - суммарная площадь жилых комнат в i-й коммунальной квартире.
(п. 23(1) введен Постановлением Правительства РФ от 14.02.2015 N 129)
23(2). В случае отсутствия общего (квартирного) прибора учета горячей воды при наличии обязанности установки такого прибора учета размер платы за коммунальную услугу по горячему водоснабжению, предоставленную за расчетный период в j-й принадлежащей потребителю (находящейся в его пользовании) комнате (комнатах) в i-й коммунальной квартире, согласно пункту 50 Правил определяется по формуле 21(1):
Кпов - повышающий коэффициент, величина которого принимается равной 1,5. В г. Москве величина повышающего коэффициента увеличивается на величину, установленную органами государственной власти г. Москвы, не превышающую 1,5. Этот коэффициент не применяется, если потребителем предоставлен акт обследования на предмет установления наличия (отсутствия) технической возможности установки общего (квартирного) прибора учета горячей воды, подтверждающий отсутствие технической возможности установки такого прибора учета, начиная с расчетного периода, в котором составлен такой акт;
(в ред. Постановления Правительства РФ от 29.07.2023 N 1226)
(см. текст в предыдущей редакции)
- размер платы за коммунальную услугу по горячему водоснабжению за расчетный период, определенный в соответствии с формулой 20, предусмотренной настоящим приложением, для i-й коммунальной квартиры;
nji - количество граждан, постоянно и временно проживающих в j-й принадлежащей потребителю (находящейся в его пользовании) комнате (комнатах) в i-й коммунальной квартире;
ni - количество граждан, постоянно и временно проживающих в i-й коммунальной квартире.
(п. 23(2) введен Постановлением Правительства РФ от 26.12.2016 N 1498)
- Гражданский кодекс (ГК РФ)
- Жилищный кодекс (ЖК РФ)
- Налоговый кодекс (НК РФ)
- Трудовой кодекс (ТК РФ)
- Уголовный кодекс (УК РФ)
- Бюджетный кодекс (БК РФ)
- Арбитражный процессуальный кодекс
- Конституция РФ
- Земельный кодекс (ЗК РФ)
- Лесной кодекс (ЛК РФ)
- Семейный кодекс (СК РФ)
- Уголовно-исполнительный кодекс
- Уголовно-процессуальный кодекс
- Производственный календарь на 2025 год
- МРОТ 2026
- ФЗ «О банкротстве»
- О защите прав потребителей (ЗОЗПП)
- Об исполнительном производстве
- О персональных данных
- О налогах на имущество физических лиц
- О средствах массовой информации
- Производственный календарь на 2026 год
- Федеральный закон "О полиции" N 3-ФЗ
- Расходы организации ПБУ 10/99
- Минимальный размер оплаты труда (МРОТ)
- Календарь бухгалтера на 2026 год
- Частичная мобилизация: обзор новостей
- Постановление Правительства РФ N 1875
,

,
,
,
,
,
,
,
,