III. Расчет составляющей части цены на мощность для обеспечения эксплуатации генерирующего объекта, принадлежащего организации, осуществляющей деятельность в области использования атомной энергии
III. Расчет составляющей части цены на мощность
для обеспечения эксплуатации генерирующего объекта,
принадлежащего организации, осуществляющей деятельность
в области использования атомной энергии
12. Составляющая часть цены на мощность для обеспечения эксплуатации j-го генерирующего объекта, осуществляющего деятельность в области использования атомной энергии, в i-м году (
) определяется по следующей формуле:
- величина экономически обоснованных расходов на эксплуатацию j-го генерирующего объекта, принадлежащего организации, осуществляющей деятельность в области использования атомной энергии, в i-м году, определяемая по формуле (17), руб.;
- прогнозируемая прибыль генерирующего объекта, принадлежащего организации, осуществляющей деятельность в области использования атомной энергии (далее - АЭС) от продажи электрической энергии АЭС, определяемая по формуле (22), и учитываемая в расчете только в случае ее положительного значения, руб.
13. Величина экономически обоснованных расходов на эксплуатацию j-го генерирующего объекта, принадлежащего организации, осуществляющей деятельность в области использования атомной энергии, в i-м году определяется по следующей формуле:
Рi,j - отчисления на формирование резервов, предназначенных для обеспечения безопасности на всех стадиях их жизненного цикла и развития j-го генерирующего объекта в i-м году, руб.;
Нi,j - расходы на оплату налогов, сборов и компенсацию прочих затрат j-го генерирующего объекта в i-м году, определяемые в соответствии с пунктом 6 Методических указаний, руб.;
- расходы по оплате налога на прибыль, определяемые в соответствии с пунктом 7 Методических указаний, руб.;
Оi,j - расходы на оплату услуг по охране j-го генерирующего объекта в i-м году, определяемые в соответствии с пунктом 29 Основ ценообразования (Собрание законодательства Российской Федерации, 2012, N 4, ст. 504), руб.;
- типовые прочие расходы на содержание генерирующего оборудования j-го генерирующего объекта АЭС в i-м году, определяемые по формуле (21), руб.
14. Отчисления на формирование резервов, предназначенных для обеспечения безопасности на всех стадиях их жизненного цикла и развития j-го генерирующего объекта в i-м году, определяются по следующей формуле:
- расходы на формирование резерва на обеспечение ядерной, радиационной, технической и пожарной безопасности j-го генерирующего объекта в i-м году, руб.;
- расходы на формирование резерва на обеспечение физической защиты j-го генерирующего объекта в i-м году, руб.;
- расходы на отчисления для формирования резерва по обеспечению захоронения радиоактивных отходов j-го генерирующего объекта в i-м году, руб.
Расходы
,
,
определяются в соответствии с пунктом 2 Правил отчисления предприятиями и организациями, эксплуатирующими особо радиационно опасные и ядерно опасные производства и объекты (атомные станции), средств для формирования резервов, предназначенных для обеспечения безопасности атомных станций на всех стадиях их жизненного цикла и развития, утвержденных постановлением Правительства Российской Федерации от 30 января 2002 г. N 68 (Собрание законодательства Российской Федерации, 2002, N 5, ст. 534; 2012, N 48, ст. 6697).
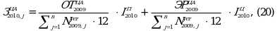
15. Типовые прочие эксплуатационные расходы на содержание генерирующего оборудования генерирующего объекта АЭС, объемы производства электрической энергии и мощности которой были учтены в сводном прогнозном балансе на 2007 год по состоянию на 1 января 2007 года (далее - действующая АЭС), в ценах 2010 года (
), определяются по следующей формуле:
ОТ2009,j - экономически обоснованные фактические затраты на оплату труда j-го генерирующего объекта за 2009 год, руб.;
ЭР2009,j - экономически обоснованные фактические эксплуатационные расходы j-го генерирующего объекта за 2009 год, за исключением расходов, перечисленных в пунктах 12 Методических указаний, и затрат на оплату труда, руб.;
n - число генерирующих объектов эксплуатирующей организации, осуществляющей деятельность в области использования атомной энергии, учтенных в сводном прогнозном балансе 2009 года;
- установленная мощность j-го генерирующего объекта, учтенная в сводном прогнозном балансе на 2009 год, МВт;
- индекс потребительских цен на 2010 год, определенный в соответствии с прогнозом социально-экономического развития Российской Федерации;
- индекс цен производителей на 2010 год, определенный в соответствии с прогнозом социально-экономического развития Российской Федерации.
Для генерирующего объекта (блока) АЭС типовые прочие расходы на содержание генерирующего оборудования в ценах 2010 года определяются по формуле (19), при этом используются данные по АЭС с реакторами типа ВВЭР-1000, имеющих 4 энергоблока, за 2009 год, подтвержденные бухгалтерской и статистической отчетностью.
Для целей учета непропорциональности затрат, связанной с разным количеством энергоблоков на новых АЭС, применяется поправочный коэффициент на количество энергоблоков Kбл (коэффициент блочности). Расчет коэффициента блочности производится исходя из стоимости основных фондов на один блок станции, имеющей 4 действующих энергоблока.
При определении типовых прочих расходов за 2009 год на содержание генерирующего оборудования генерирующего объекта действующей АЭС значение коэффициента блочности Kбл принимается равным 1.
Удельные затраты центрального аппарата эксплуатирующей организации, осуществляющей деятельность в области использования атомной энергии (
), в составе типовых прочих расходов на содержание генерирующего объекта АЭС в ценах 2010 года определяются по формуле:
- экономически обоснованные фактические затраты на оплату труда центрального аппарата эксплуатирующей организации, осуществляющей деятельность в области использования атомной энергии, за 2009 год, руб.;
- экономически обоснованные фактические эксплуатационные расходы центрального аппарата эксплуатирующей организации, осуществляющей деятельность в области использования атомной энергии, за 2009 год, за исключением расходов на оплату труда, руб.
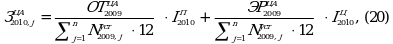
Типовые прочие расходы на содержание генерирующего оборудования j-го генерирующего объекта АЭС в i-м году (
) определяются по следующей формуле:
n - число генерирующих объектов эксплуатирующей организации, осуществляющей деятельность в области использования атомной энергии, эксплуатируемых в периоде регулирования;
NБ - суммарная установленная мощность генерирующих объектов эксплуатирующей организации, осуществляющей деятельность в области использования атомной энергии, учтенная в сводном прогнозном балансе на 2010 год, МВт;
- установленная мощность j-го генерирующего объекта, учтенная в сводном прогнозном балансе i-го года, МВт;
,
- фактический, плановый индексы цен производителей промышленной продукции в i-м году, определяемые в соответствии с прогнозом социально-экономического развития Российской Федерации.
16. Прогнозируемая прибыль от продажи электрической энергии АЭС в i-м году рассчитывается по следующей формуле:
- цена на электрическую энергию для j-го генерирующего объекта на i-й год, определяемая исходя из прямых расходов на производство электрической энергии, рассчитывается по следующей формуле:
- расходы j-го генерирующего объекта АЭС в i-м году, связанные с закупкой свежего ядерного топлива и комплектующих активной зоны реакторов, с учетом затрат по обеспечению их поставки и использованию, руб.;
- расходы j-го генерирующего объекта АЭС в i-м году на услуги специализированных организаций по реализации полного цикла обращения с отработавшим ядерным топливом и облученными комплектующими активных зон реакторов, включая затраты по обеспечению их вывоза, руб.
Коэффициент
применяется в отношении генерирующего объекта АЭС, объемы производства электрической энергии и мощности которого были учтены в сводном прогнозном балансе на 2007 год по состоянию на 1 января 2007 года.
В отношении генерирующих объектов АЭС, объемы производства электрической энергии и мощности которого не были учтены в сводном прогнозном балансе на 2007 год по состоянию на 1 января 2007 года, коэффициент
не применяется и расчет прогнозируемой прибыли от продажи электрической энергии АЭС производится отдельно по каждому генерирующему объекту (блоку).
- Гражданский кодекс (ГК РФ)
- Жилищный кодекс (ЖК РФ)
- Налоговый кодекс (НК РФ)
- Трудовой кодекс (ТК РФ)
- Уголовный кодекс (УК РФ)
- Бюджетный кодекс (БК РФ)
- Арбитражный процессуальный кодекс
- Конституция РФ
- Земельный кодекс (ЗК РФ)
- Лесной кодекс (ЛК РФ)
- Семейный кодекс (СК РФ)
- Уголовно-исполнительный кодекс
- Уголовно-процессуальный кодекс
- Производственный календарь на 2025 год
- МРОТ 2026
- ФЗ «О банкротстве»
- О защите прав потребителей (ЗОЗПП)
- Об исполнительном производстве
- О персональных данных
- О налогах на имущество физических лиц
- О средствах массовой информации
- Производственный календарь на 2026 год
- Федеральный закон "О полиции" N 3-ФЗ
- Расходы организации ПБУ 10/99
- Минимальный размер оплаты труда (МРОТ)
- Календарь бухгалтера на 2026 год
- Частичная мобилизация: обзор новостей
- Постановление Правительства РФ N 1875
,
,
,
,
,
,
,