Документ утратил силу или отменен. Подробнее см. Справку

3.1.1.3. Показатели, применяемые для расчета распределения общего объема субсидий на софинансирование расходных обязательств субъектов Российской Федерации между субъектами Российской Федерации в соответствии с правилами предоставления и распределения субсидий бюджетам субъектов Российской Федерации (на первый год планового периода)

3.1.1.3. Показатели, применяемые для расчета распределения общего объема

субсидий на софинансирование расходных обязательств субъектов Российской

Федерации между субъектами Российской Федерации в соответствии с правилами

предоставления и распределения субсидий бюджетам субъектов Российской

Федерации на 20__ год (на первый год планового периода)

Наименование субъекта Российской Федерации

Код строки

Показатели по субъектам Российской Федерации

Единые показатели для всех субъектов Российской Федерации

Объем бюджетных ассигнований

(Sj)

Корректировка объема бюджетных ассигнований

Объем бюджетных ассигнований с учетом перераспределения высвободившихся средств

(гр. 10 + гр. 11)

понесенные в году, предшествующему году предоставления субсидии, и (или) планируемые в соответствующем финансовом году затраты сельскохозяйственных товаропроизводителей на оплату труда и проживание обучающихся, привлеченных для прохождения практики, в том числе производственной практики, и практической подготовки или осуществляющих трудовую деятельность не более 6 месяцев

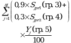
предельный уровень софинансирования расходного обязательства субъекта Российской Федерации, %

(Yj)

размер средств, предусмотренный заявкой субъекта Российской Федерации на предоставление субсидии

(Sзаявка)

расчетный размер субсидии бюджету субъекта Российской Федерации (Sрасч j)

Рисунок 129

общий объем бюджетных ассигнований, предусмотренный на предоставление субсидий

(S)

(если Sрасч j (гр. 7) > Sзаявка (гр. 6),

то Sj = Sзаявка (гр. 6);

если Sрасч j (гр. 7) < Sзаявка (гр. 6),

то Sj = Sрасч j (гр. 7))

в образовательных организациях Министерства сельского хозяйства Российской Федерации

(Sjpr1)

в иных образовательных организациях

(Sjpr2)

1

2

3

4

5

6

7

8

9

10

11

12

001

x

x

002

Итого

900

x

x

x

x

x