Документ утрачивает силу в связи с изданием Приказа Минфина России от 17.12.2025 N 179н.
Изменения, утвержденные данным документом, применяются при составлении и ведении бюджетной сметы федерального казенного учреждения начиная с бюджетной сметы на 2023 год и плановый период 2024 и 2025 годов.

3.1.1.1. Показатели, применяемые для расчета распределения общего объема субсидий на софинансирование расходных обязательств субъектов Российской Федерации между субъектами Российской Федерации в соответствии с правилами предоставления и распределения субсидий бюджетам субъектов Российской Федерации (на очередной финансовый год)

3.1.1.1. Показатели, применяемые для расчета распределения общего объема

субсидий на софинансирование расходных обязательств субъектов Российской

Федерации между субъектами Российской Федерации в соответствии с правилами

предоставления и распределения субсидий бюджетам субъектов Российской

Федерации на 20__ год (на очередной финансовый год)

Наименование субъекта Российской Федерации

Код строки

Показатели по субъектам Российской Федерации

Единые показатели для всех субъектов Российской Федерации

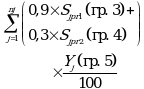
Объем субсидии

(Sj)

(если Sрасч j (гр. 7) > Sзаявка (гр. 6),

то Sj = Sзаявка (гр. 6);

Корректировка объема субсидии

Объем субсидии с учетом перераспределения высвободившихся средств

(гр. 10 + гр. 11)

понесенные в году, предшествующему году предоставления субсидии, и (или) планируемые в соответствующем финансовом году затраты сельскохозяйственных товаропроизводителей на оплату труда и проживание обучающихся, привлеченных для прохождения практики, в том числе производственной практики, и практической подготовки или осуществляющих трудовую деятельность не более 6 месяцев

предельный уровень софинансирования расходного обязательства субъекта Российской Федерации, %

(Yj)

размер средств, предусмотренный заявкой субъекта Российской Федерации на предоставление субсидии (Sзаявка)

расчетный размер субсидии бюджету субъекта Российской Федерации (Sрасч j)

Рисунок 92

общий объем расходов, предусмотренный на предоставление субсидий (S)

если Sрасч j (гр. 7) < Sзаявка (гр. 6),

то Sj = Sрасч j (гр. 7))

в образовательных организациях Министерства сельского хозяйства Российской Федерации

(Sjpr1)

в иных образовательных организациях

(Sjpr2)

1

2

3

4

5

6

7

8

9

10

11

12

001

x

x

002

Итого

900

x

x

x

x

x