к Порядку осуществления контроля
за эффективностью и качеством
осуществления органами государственной
власти субъектов Российской Федерации
переданных полномочий Российской
Федерации по лицензированию медицинской
деятельности (за исключением указанной
деятельности, осуществляемой медицинскими
организациями и другими организациями,
входящими в частную систему
здравоохранения, на территории
инновационного центра "Сколково"),
фармацевтической деятельности,
деятельности по обороту наркотических
средств, психотропных веществ и их
прекурсоров, культивированию
наркосодержащих растений, утвержденному
приказом Министерства здравоохранения
Российской Федерации
от 6 мая 2022 г. N 309н
1. Оценка эффективности осуществления органами государственной власти субъектов Российской Федерации переданных им полномочий Российской Федерации в сфере охраны здоровья по лицензированию медицинской деятельности (за исключением указанной деятельности, осуществляемой медицинскими организациями и другими организациями, входящими в частную систему здравоохранения, на территории инновационного центра "Сколково"), фармацевтической деятельности, деятельности по обороту наркотических средств, психотропных веществ и их прекурсоров, культивированию наркосодержащих растений определяется как сумма показателей эффективности выполнения субъектом Российской Федерации мероприятий, направленных на реализацию переданных полномочий.
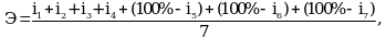
2. Эффективность определяется по следующей формуле:
i1 - отношение количества рассмотренных заявлений о предоставлении лицензии в текущем периоде к среднему значению рассмотренных заявлений в двух предшествующих аналогичных периодах, в %;
i2 - отношение количества проведенных внеплановых проверок соискателей лицензий в текущем периоде к общему количеству рассмотренных заявлений о предоставлении лицензии в текущем периоде, в %;
i3 - отношение количества проведенных внеплановых проверок лицензиатов, предоставивших заявления о внесении изменений в реестр лицензий, в текущем периоде к общему количеству рассмотренных заявлений о внесении изменений в реестр лицензий в текущем периоде, в %;
i4 - отношение суммы средств, полученных от уплаты государственной пошлины за предоставление лицензии, внесение изменений в реестр лицензий на основании заявления о внесении изменений в реестр лицензий, за текущий период к средней сумме средств, полученных от уплаты государственной пошлины, за два предшествующих аналогичных периода, в %;
i5 - отношение количества лицензий, по которым приняты решения территориальными органами Росздравнадзора о несоответствии лицензиата лицензионным требованиям, к общему количеству выданных лицензий в текущем периоде, в %;
i6 - отношение суммы средств федерального бюджета, не израсходованных на реализацию переданных полномочий, к общему объему средств федерального бюджета, поступивших на реализацию переданных полномочий, в %;
i7 - отношение количества удовлетворенных (признанных обоснованными) жалоб в общем количестве жалоб, поступивших в территориальные органы Росздравнадзора в связи с невыполнением (ненадлежащим исполнением) органом исполнительной власти субъекта Российской Федерации или его должностным лицом (должностными лицами) установленной услуги (функции), в %.
Показатели эффективности i1, i2, i3, i4 должны стремиться к 100%, а показатели эффективности i5, i6, i7 - к нулю. При этом общий показатель эффективности должен стремиться к 100%.
3. Эффективность выполнения переданных полномочий оценивается по следующим критериям:
4. Границы критериев эффективности определяются отношением к общему показателю эффективности (где Э - общий показатель эффективности, рассчитанный по формуле, указанной в пункте 2 настоящей Методики):
2) недостаточно эффективно, при:
4. Оценка качества осуществления органами государственной власти субъектов Российской Федерации переданных им полномочий определяется исходя из показателей:
1) соблюдение сроков рассмотрения заявлений о предоставлении лицензии и принятия решения о предоставлении (отказе в предоставлении) лицензии;
2) рассмотрение заявлений о предоставлении лицензии в пределах полномочий соответствующего органа государственной власти субъекта Российской Федерации;
3) наличие обоснованных жалоб в связи с невыполнением (ненадлежащим исполнением) органом государственной власти субъекта Российской Федерации или его должностным лицом установленной услуги.
5. Границы критериев эффективности определяются к общему количеству в процентном соотношении нарушений (К - общий показатель качества), указанных в пункте 4 настоящей Методики:
- Гражданский кодекс (ГК РФ)
- Жилищный кодекс (ЖК РФ)
- Налоговый кодекс (НК РФ)
- Трудовой кодекс (ТК РФ)
- Уголовный кодекс (УК РФ)
- Бюджетный кодекс (БК РФ)
- Арбитражный процессуальный кодекс
- Конституция РФ
- Земельный кодекс (ЗК РФ)
- Лесной кодекс (ЛК РФ)
- Семейный кодекс (СК РФ)
- Уголовно-исполнительный кодекс
- Уголовно-процессуальный кодекс
- Производственный календарь на 2025 год
- МРОТ 2025
- ФЗ «О банкротстве»
- О защите прав потребителей (ЗОЗПП)
- Об исполнительном производстве
- О персональных данных
- О налогах на имущество физических лиц
- О средствах массовой информации
- Производственный календарь на 2026 год
- Федеральный закон "О полиции" N 3-ФЗ
- Расходы организации ПБУ 10/99
- Минимальный размер оплаты труда (МРОТ)
- Календарь бухгалтера на 2025 год
- Частичная мобилизация: обзор новостей
- Постановление Правительства РФ N 1875
