постановлением Правительства
Российской Федерации
от 23 апреля 2022 г. N 746
1. В абзаце втором пункта 1 слова "подпрограммы "Содействие проведению научных исследований и опытных разработок в гражданских отраслях промышленности" заменить словами "реализации мероприятий".
2. Абзац второй пункта 2 после слов "государственной информационной системе промышленности" дополнить словами ", созданной в соответствии с постановлением Правительства Российской Федерации от 25 июля 2015 г. N 757 "О порядке создания, эксплуатации и совершенствования государственной информационной системы промышленности" (далее - государственная информационная система промышленности),".
3. В пункте 4:
а) в подпункте "б" слова "перед федеральным бюджетом, в том числе по денежным обязательствам перед Российской Федерацией, определенным в статье 93.4 Бюджетного кодекса Российской Федерации" заменить словами "по денежным обязательствам перед Российской Федерацией";
б) подпункт "в" после слова "реорганизации" дополнить словами "(за исключением реорганизации в форме присоединения к российской организации другого юридического лица)";
в) подпункт "д" после слов "на основании иных нормативных правовых актов" дополнить словами "Российской Федерации";
г) дополнить подпунктом "з" следующего содержания:
"з) российская организация не находится в перечне организаций и физических лиц, в отношении которых имеются сведения об их причастности к экстремистской деятельности или терроризму, либо в перечне организаций и физических лиц, в отношении которых имеются сведения об их причастности к распространению оружия массового уничтожения.".
4. Пункт 6 дополнить абзацем следующего содержания:
"При наличии технической возможности обмен документами и информацией при проведении конкурсного отбора, заключении между Министерством промышленности и торговли Российской Федерации и российской организацией соглашения, подаче заявки, а также при осуществлении мониторинга и контроля за соблюдением российскими организациями условий и порядка предоставления субсидий осуществляется с использованием государственной информационной системы промышленности.".
5. В пункте 7:
а) в подпункте "б":
в абзаце первом слова "на едином портале" заменить словами "в государственной информационной системе промышленности (с размещением указателя страницы сайта на едином портале)";
в абзаце четвертом слова "целей предоставления субсидии (в соответствии с пунктом 1 настоящих Правил), а также" исключить;
в абзаце пятом слова ", и (или) сетевого адреса," исключить;
в абзаце тринадцатом слова "на едином портале" заменить словами "в государственной информационной системе промышленности (с размещением указателя страницы сайта на едином портале)";
б) дополнить подпунктом "д" следующего содержания:
"д) размещает на официальном сайте Министерства промышленности и торговли Российской Федерации в информационно-телекоммуникационной сети "Интернет" и в государственной информационной системе промышленности формы заявки и бизнес-плана комплексного проекта.".
6. В пункте 8:
а) в абзаце первом слова ", оформленные в соответствии с требованиями, указанными в объявлении о проведении конкурсного отбора, следующие прошитые, постранично пронумерованные и запечатанные в конверт документы" заменить словами "заполненную заявку и следующие документы, оформленные в соответствии с требованиями, указанными в объявлении о проведении конкурсного отбора";
б) подпункт "а" признать утратившим силу;
в) в подпункте "д" слова "и "ж" заменить словами ", "ж" и "з".
7. Пункт 9 дополнить абзацами следующего содержания:
"В течение всего срока подачи (приема) заявок российская организация вправе осуществить отзыв поданной заявки. Отозванная заявка не рассматривается в дальнейшем при проведении конкурсного отбора.
Заявки регистрируются в день поступления в Министерство промышленности и торговли Российской Федерации либо размещения в государственной информационной системе промышленности.".
8. В пункте 10:
а) в абзаце первом слова "представления российской организацией документов, указанных в пункте 8 настоящих Правил" заменить словами "регистрации заявки";
б) подпункт "а" признать утратившим силу;
в) в подпункте "б" слово "документы" заменить словами "заявку и документы, представленные в соответствии с пунктом 8 настоящих Правил";
г) подпункт "в" изложить в следующей редакции:
"в) возвращает российским организациям заявку и документы, поступившие после срока, установленного в объявлении о проведении конкурсного отбора.".
9. В пункте 11:
а) подпункт "а" изложить в следующей редакции:
"а) проводит проверку соответствия российской организации требованиям, установленным пунктом 4 настоящих Правил, а также соответствия представленных заявки и документов требованиям, установленным пунктом 8 настоящих Правил и в объявлении о проведении конкурсного отбора;";
б) в подпункте "б" слово "решение" заменить словами "решение, оформляемое протоколом,".
10. В пункте 14 слова "на едином портале" заменить словами "в государственной информационной системе промышленности (с размещением указателя страницы сайта на едином портале)".
11. В пункте 16:
а) подпункт "д" изложить в следующей редакции:
"д) согласие российской организации на проведение Министерством промышленности и торговли Российской Федерации проверок соблюдения российской организацией условий и порядка предоставления субсидии, которые установлены соглашением и настоящими Правилами, в том числе в части достижения результата предоставления субсидии, а также на проведение органами государственного финансового контроля соблюдения российской организацией порядка и условий предоставления субсидии в соответствии со статьями 268.1 и 269.2 Бюджетного кодекса Российской Федерации;";
б) в подпунктах "е" и "ж" слово "целей," исключить;
в) подпункт "м" признать утратившим силу.
12. Пункт 18 изложить в следующей редакции:
"18. Документы, указанные в пунктах 16(1) и 17 настоящих Правил, регистрируются в день поступления либо размещения в государственной информационной системе промышленности.".
13. Абзац первый пункта 23 изложить в следующей редакции:
"23. Результатом предоставления субсидии является количество поддержанных в соответствующем финансовом году проектов российских организаций по разработке цифровых платформ и программных продуктов в целях создания и (или) развития производства высокотехнологичной промышленной продукции. Точные даты завершения результата предоставления субсидии установлены в паспорте федерального проекта "Цифровые технологии" национальной программы "Цифровая экономика Российской Федерации". Показателями, необходимыми для достижения результата предоставления субсидии, являются:".
14. В абзаце первом пункта 24 слова "не позднее 15 февраля года, следующего за годом получения субсидии" заменить словами "ежеквартально, не позднее 20-го числа месяца, следующего за отчетным кварталом".
15. Абзац первый пункта 25 изложить в следующей редакции:
"25. В случае установления факта недостижения значений результата предоставления субсидии и (или) показателей, необходимых для достижения результата предоставления субсидии, установленных пунктом 23 настоящих Правил и соглашением, российская организация обеспечивает возврат средств субсидий в доход федерального бюджета в срок, не превышающий 10 рабочих дней со дня получения соответствующего требования Министерства промышленности и торговли Российской Федерации, направленного заказным почтовым отправлением с уведомлением о вручении.".
16. Дополнить пунктом 25(1) следующего содержания:
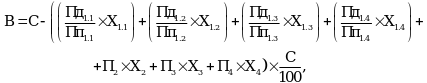
"25(1). Размер средств, подлежащих возврату в доход федерального бюджета в случае недостижения значений результата предоставления субсидии и (или) показателей, необходимых для достижения результата предоставления субсидии (B), рассчитывается по формуле:
C - размер предоставленной субсидии;
Пд1.1 - достигнутое значение показателя, необходимого для достижения результата предоставления субсидии, касающегося количества созданных и (или) модернизированных высокопроизводительных рабочих мест в организациях, выпускающих высокотехнологичную промышленную продукцию либо осуществляющих деятельность в области прикладных научных исследований и разработок, направленных на создание и (или) развитие производства высокотехнологичной промышленной продукции;
Пп1.1 - плановое значение показателя, необходимого для достижения результата предоставления субсидии, касающегося количества созданных и (или) модернизированных высокопроизводительных рабочих мест в организациях, выпускающих высокотехнологичную промышленную продукцию либо осуществляющих деятельность в области прикладных научных исследований и разработок, направленных на создание и (или) развитие производства высокотехнологичной промышленной продукции;
X1.1 - удельный вес показателя, необходимого для достижения результата предоставления субсидии, касающегося количества созданных и (или) модернизированных высокопроизводительных рабочих мест в организациях, выпускающих высокотехнологичную промышленную продукцию либо осуществляющих деятельность в области прикладных научных исследований и разработок, направленных на создание и (или) развитие производства высокотехнологичной промышленной продукции, значимость которого составляет 10;
Пд1.2 - достигнутое значение показателя, необходимого для достижения результата предоставления субсидии, касающегося соотношения российских и импортных технологий, программного обеспечения, электронной компонентной базы, материалов и комплектующих, использованных для разработки цифровых платформ и (или) программных продуктов;
Пп1.2 - плановое значение показателя, необходимого для достижения результата предоставления субсидии, касающегося соотношения российских и импортных технологий, программного обеспечения, электронной компонентной базы, материалов и комплектующих, использованных для разработки цифровых платформ и (или) программных продуктов;
X1.2 - удельный вес показателя, необходимого для достижения результата предоставления субсидии, касающегося соотношения российских и импортных технологий, программного обеспечения, электронной компонентной базы, материалов и комплектующих, использованных для разработки цифровых платформ и (или) программных продуктов, значимость которого составляет 10;
Пд1.3 - достигнутое значение показателя, необходимого для достижения результата предоставления субсидии, касающегося количества патентов (свидетельств), которые получены по результатам реализации комплексного проекта;
Пп1.3 - плановое значение показателя, необходимого для достижения результата предоставления субсидии, касающегося количества патентов (свидетельств), которые получены по результатам реализации комплексного проекта;
X1.3 - удельный вес показателя, необходимого для достижения результата предоставления субсидии, касающегося количества патентов (свидетельств), которые получены по результатам реализации комплексного проекта, значимость которого составляет 10;
Пд1.4 - достигнутое значение показателя, необходимого для достижения результата предоставления субсидии, касающегося фактического срока завершения реализации комплексного проекта;
Пп1.4 - плановое значение показателя, необходимого для достижения результата предоставления субсидии, касающегося заявленного срока завершения реализации комплексного проекта;
X1.4 - удельный вес показателя, необходимого для достижения результата предоставления субсидии, касающегося заявленного срока завершения реализации комплексного проекта, значимость которого составляет 10;
П2 - показатель, необходимый для достижения результата предоставления субсидии, касающийся внедрения результатов работ в организациях, выпускающих высокотехнологичную промышленную продукцию либо осуществляющих деятельность в области прикладных научных исследований и разработок, направленных на создание и (или) развитие высокотехнологичной промышленной продукции, значение которого считается равным 1 в случае его достижения или равным 0 в случае его недостижения;
X2 - удельный вес показателя П2, значимость которого составляет 20;
П3 - показатель, необходимый для достижения результата предоставления субсидии, касающийся функционирования разработанных цифровых платформ и (или) программных продуктов с использованием субтехнологии (субтехнологий) одной из сквозных цифровых технологий, включенных в состав дорожных карт по направлениям развития сквозных цифровых технологий, предусмотренных федеральным проектом "Цифровые технологии" национальной программы "Цифровая экономика Российской Федерации", значение которого считается равным 1 в случае его достижения или равным 0 в случае его недостижения;
X3 - удельный вес показателя П3, значимость которого составляет 20;
П4 - показатель, необходимый для достижения результата предоставления субсидии, касающийся включения не позднее одного года со дня окончания реализации комплексного проекта разработанных программных продуктов в единый реестр российских программ для электронных вычислительных машин и баз данных в соответствии с Правилами формирования и ведения единого реестра российских программ для электронных вычислительных машин и баз данных и единого реестра программ для электронных вычислительных машин и баз данных из государств - членов Евразийского экономического союза, за исключением Российской Федерации, утвержденных постановлением Правительства Российской Федерации от 16 ноября 2015 г. N 1236 "Об установлении запрета на допуск программного обеспечения, происходящего из иностранных государств, для целей осуществления закупок для обеспечения государственных и муниципальных нужд", значение которого считается равным 1 в случае его достижения или равным 0 в случае его недостижения;
X4 - удельный вес показателя П4, значимость которого составляет 20.
В случае если достигнутое значение показателя, необходимого для достижения результата предоставления субсидии (Пд), превышает плановое значение этого результата (Пп), отношение достигнутого значения показателя предоставления субсидии к плановому значению этого результата считается равным 1.
Размер средств, подлежащих возврату в доход федерального бюджета, пропорционален степени недостижения результата предоставления субсидии и показателей, необходимых для достижения результата предоставления субсидии, указанных в соглашении.".
17. Пункт 26 изложить в следующей редакции:
"26. Министерство промышленности и торговли Российской Федерации проводит проверки соблюдения российскими организациями порядка и условий предоставления субсидий, в том числе в части достижения результата предоставления субсидии. Органы государственного финансового контроля проводят проверки в соответствии со статьями 268.1 и 269.2 Бюджетного кодекса Российской Федерации.".
18. Дополнить пунктом 26(1) следующего содержания:
"26(1). Министерство промышленности и торговли Российской Федерации проводит мониторинг достижения результатов предоставления субсидии исходя из достижения значений результатов предоставления субсидии, определенных соглашением, и событий, отражающих факт завершения соответствующего мероприятия по получению результата предоставления субсидии (контрольная точка), в порядке и по формам, которые установлены Министерством финансов Российской Федерации.".
19. В абзаце первом пункта 27 слово "целей," исключить.
20. В пункте 28:
а) в абзаце первом слово "значения" заменить словами "сроки достижения";
б) подпункт "е" признать утратившим силу.
21. Пункт 29 изложить в следующей редакции:
"29. Заявление о внесении изменений регистрируется в день поступления либо размещения в государственной информационной системе промышленности.".
22. В абзаце первом пункта 31 слово "значения" заменить словами "сроки достижения значений".
23. Пункт 32 изложить в следующей редакции:
"32. Министерство промышленности и торговли Российской Федерации не позднее 15 рабочих дней со дня получения заключения экспертного совета о целесообразности (нецелесообразности) внесения изменений принимает решение о возможности (невозможности) внесения изменений в сроки достижения значений показателей, необходимых для достижения результата предоставления субсидии, и (или) в план-график реализации комплексного проекта.".
24. Дополнить пунктами 33 и 34 следующего содержания:
"33. В случае невозможности достижения в 2022 году российской организацией значений результата предоставления субсидии и (или) показателей, необходимых для достижения результатов предоставления субсидии, определенных в соглашении, в установленные сроки по независящим от российской организации обстоятельствам в случае, предусмотренном в подпункте "а" пункта 28 настоящих Правил, на основании мотивированного заявления российской организации допускается изменение таких значений и (или) продление (без увеличения размера предоставляемой субсидии) сроков их достижения до 24 месяцев без применения штрафных санкций в отношении российской организации.
34. Предусмотренные пунктом 33 настоящих Правил изменения вносятся в соглашения на основании заявления с приложением документов, подтверждающих наступление таких обстоятельств, поступившего от российской организации - получателя субсидии в Министерство промышленности и торговли Российской Федерации в пределах срока, предусмотренного для достижения значений соответствующих результатов и показателей. Указанное заявление регистрируется в день поступления в Министерство промышленности и торговли Российской Федерации либо размещения в государственной информационной системе промышленности.".
- Гражданский кодекс (ГК РФ)
- Жилищный кодекс (ЖК РФ)
- Налоговый кодекс (НК РФ)
- Трудовой кодекс (ТК РФ)
- Уголовный кодекс (УК РФ)
- Бюджетный кодекс (БК РФ)
- Арбитражный процессуальный кодекс
- Конституция РФ
- Земельный кодекс (ЗК РФ)
- Лесной кодекс (ЛК РФ)
- Семейный кодекс (СК РФ)
- Уголовно-исполнительный кодекс
- Уголовно-процессуальный кодекс
- Производственный календарь на 2025 год
- МРОТ 2025
- ФЗ «О банкротстве»
- О защите прав потребителей (ЗОЗПП)
- Об исполнительном производстве
- О персональных данных
- О налогах на имущество физических лиц
- О средствах массовой информации
- Производственный календарь на 2026 год
- Федеральный закон "О полиции" N 3-ФЗ
- Расходы организации ПБУ 10/99
- Минимальный размер оплаты труда (МРОТ)
- Календарь бухгалтера на 2025 год
- Частичная мобилизация: обзор новостей
- Постановление Правительства РФ N 1875
