к государственной программе
Российской Федерации
"Развитие туризма"
ПРАВИЛА
ПРЕДОСТАВЛЕНИЯ ИНОГО МЕЖБЮДЖЕТНОГО ТРАНСФЕРТА
ИЗ ФЕДЕРАЛЬНОГО БЮДЖЕТА БЮДЖЕТУ МОСКОВСКОЙ ОБЛАСТИ В ЦЕЛЯХ
СОФИНАНСИРОВАНИЯ В ПОЛНОМ ОБЪЕМЕ РАСХОДНЫХ ОБЯЗАТЕЛЬСТВ
МОСКОВСКОЙ ОБЛАСТИ ПО ФИНАНСОВОМУ ОБЕСПЕЧЕНИЮ СОЗДАНИЯ
ФЕДЕРАЛЬНОГО РЕСУРСНОГО ЦЕНТРА ПОДГОТОВКИ КАДРОВ
ДЛЯ ИНДУСТРИИ ТУРИЗМА И ГОСТЕПРИИМСТВА
ПРАВИЛА
ПРЕДОСТАВЛЕНИЯ ИНОГО МЕЖБЮДЖЕТНОГО ТРАНСФЕРТА
ИЗ ФЕДЕРАЛЬНОГО БЮДЖЕТА БЮДЖЕТУ МОСКОВСКОЙ ОБЛАСТИ В ЦЕЛЯХ
СОФИНАНСИРОВАНИЯ В ПОЛНОМ ОБЪЕМЕ РАСХОДНЫХ ОБЯЗАТЕЛЬСТВ
МОСКОВСКОЙ ОБЛАСТИ ПО ФИНАНСОВОМУ ОБЕСПЕЧЕНИЮ СОЗДАНИЯ
ФЕДЕРАЛЬНОГО РЕСУРСНОГО ЦЕНТРА ПОДГОТОВКИ КАДРОВ
ДЛЯ ИНДУСТРИИ ТУРИЗМА И ГОСТЕПРИИМСТВА
Список изменяющих документов
(введены Постановлением Правительства РФ от 29.05.2023 N 846)
1. Настоящие Правила устанавливают цели, условия и порядок предоставления иного межбюджетного трансферта из федерального бюджета бюджету Московской области на создание федерального ресурсного центра подготовки кадров для индустрии туризма и гостеприимства в целях реализации федерального проекта "Совершенствование управления в сфере туризма" в рамках национального проекта "Туризм и индустрия гостеприимства" (далее - иной межбюджетный трансферт).
2. Иной межбюджетный трансферт предоставляется в пределах лимитов бюджетных обязательств, доведенных в установленном порядке до Министерства экономического развития Российской Федерации как получателя средств федерального бюджета на цели, указанные в пункте 1 настоящих Правил.
3. Иной межбюджетный трансферт предоставляется при выполнении следующих условий:
а) наличие правового акта Московской области, утверждающего перечень мероприятий (результатов), при реализации которых возникают расходные обязательства Московской области, в целях софинансирования которых предоставляется иной межбюджетный трансферт;
б) заключение соглашения о предоставлении иных межбюджетных трансфертов из федерального бюджета бюджету Московской области (далее - соглашение).
4. Иной межбюджетный трансферт предоставляется бюджету Московской области на основании соглашения, подготавливаемого (формируемого) и заключаемого Министерством экономического развития Российской Федерации и Правительством Московской области с использованием государственной интегрированной информационной системы управления общественными финансами "Электронный бюджет" в соответствии с типовой формой соглашения, утвержденной Министерством финансов Российской Федерации.
5. Перечисление иного межбюджетного трансферта осуществляется на единый счет бюджета Московской области, открытый Министерству экономики и финансов Московской области в территориальном органе Федерального казначейства.
6. Исполнительный орган Московской области, на который возлагаются функции и ответственность за исполнение соглашения, представляет в Министерство экономического развития Российской Федерации отчетность об исполнении условий предоставления иного межбюджетного трансферта в сроки, предусмотренные соглашением.
7. Контроль за соблюдением условий предоставления иного межбюджетного трансферта осуществляется Министерством экономического развития Российской Федерации и органом государственного финансового контроля на основании отчетности об исполнении условий предоставления иного межбюджетного трансферта, представленной уполномоченным органом в соответствии с пунктом 6 настоящих Правил.
8. В случае если Московской областью по состоянию на 31 декабря года предоставления иного межбюджетного трансферта допущены нарушения обязательств по достижению значения результата предоставления иного межбюджетного трансферта, предусмотренных соглашением, и до первой даты представления отчетности о достижении результата предоставления иного межбюджетного трансферта в году, следующем за годом его предоставления, указанные нарушения не устранены, объем средств, подлежащих возврату из бюджета Московской области в федеральный бюджет до 1 июня года, следующего за годом предоставления иного межбюджетного трансферта (Vвозврата), определяется по формуле:
Vиные межбюджетные трансферты - размер иного межбюджетного трансферта, предоставленного бюджету Московской области;
k - коэффициент возврата иного межбюджетного трансферта, который составляет 0,01;
m - количество показателей результативности использования иного межбюджетного трансферта, по которым индекс, отражающий уровень недостижения i-го показателя результативности использования иного межбюджетного трансферта, имеет положительное значение;
n - общее количество показателей результативности использования иного межбюджетного трансферта.
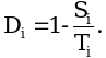
9. Индекс, отражающий уровень недостижения i-го показателя результативности использования иного межбюджетного трансферта (Di), для показателей результативности использования иного межбюджетного трансферта, по которым большее значение фактически достигнутого значения отражает большую эффективность использования иного межбюджетного трансферта, определяется по формуле:
Ti - фактически достигнутое значение i-го показателя результативности использования иного межбюджетного трансферта на отчетную дату;
Si - плановое значение i-го показателя результативности использования иного межбюджетного трансферта, установленное соглашением.
10. Индекс, отражающий уровень недостижения i-го показателя результативности использования иного межбюджетного трансферта (Di), для показателей результативности использования иного межбюджетного трансферта, по которым большее значение фактически достигнутого значения отражает меньшую эффективность использования иного межбюджетного трансферта, определяется по формуле:
11. Ответственность за достоверность представляемых в Министерство экономического развития Российской Федерации сведений и соблюдение условий, предусмотренных настоящими Правилами и соглашением, возлагается на Правительство Московской области.
12. Оценка эффективности предоставления иного межбюджетного трансферта осуществляется Министерством экономического развития Российской Федерации по итогам финансового года путем сравнения планового значения результата предоставления иного межбюджетного трансферта, установленного соглашением, и фактически достигнутого значения результата предоставления иного межбюджетного трансферта, указанного в пункте 13 настоящих Правил.
13. Результатом предоставления иного межбюджетного трансферта является количество человек, успешно завершивших обучение в федеральном ресурсном центре подготовки кадров для индустрии туризма и гостеприимства по практико-ориентированным программам профессиональной переподготовки в целях подготовки кадров для туристской отрасли.
14. В случае нарушения целей, установленных при предоставлении иного межбюджетного трансферта, применяются бюджетные меры принуждения, предусмотренные бюджетным законодательством Российской Федерации.
15. Основанием для освобождения Московской области от применения мер ответственности, предусмотренных настоящими Правилами, является документально подтвержденное наступление обстоятельств непреодолимой силы, препятствующих исполнению соответствующих обязательств. Документально подтвержденными обстоятельствами непреодолимой силы, препятствующими исполнению соответствующих обязательств, являются:
а) установление регионального (межмуниципального) и (или) местного уровня реагирования на чрезвычайную ситуацию, подтвержденного правовым актом органа государственной власти субъекта Российской Федерации и (или) органа местного самоуправления;
б) установление карантина и (или) иных ограничений, направленных на предотвращение распространения и ликвидацию очагов заразных и иных болезней животных, подтвержденных правовым актом органа государственной власти субъекта Российской Федерации;
в) аномальные погодные условия, подтвержденные справкой территориального органа федерального органа исполнительной власти, осуществляющего функции по оказанию государственных услуг в области гидрометеорологии и смежных с ней областях;
г) наличие вступившего в законную силу в году предоставления иного межбюджетного трансферта решения арбитражного суда о признании несостоятельной (банкротом) организации, деятельность которой оказывала влияние на исполнение обязательств, предусмотренных соглашением.
- Гражданский кодекс (ГК РФ)
- Жилищный кодекс (ЖК РФ)
- Налоговый кодекс (НК РФ)
- Трудовой кодекс (ТК РФ)
- Уголовный кодекс (УК РФ)
- Бюджетный кодекс (БК РФ)
- Арбитражный процессуальный кодекс
- Конституция РФ
- Земельный кодекс (ЗК РФ)
- Лесной кодекс (ЛК РФ)
- Семейный кодекс (СК РФ)
- Уголовно-исполнительный кодекс
- Уголовно-процессуальный кодекс
- Производственный календарь на 2025 год
- МРОТ 2025
- ФЗ «О банкротстве»
- О защите прав потребителей (ЗОЗПП)
- Об исполнительном производстве
- О персональных данных
- О налогах на имущество физических лиц
- О средствах массовой информации
- Производственный календарь на 2026 год
- Федеральный закон "О полиции" N 3-ФЗ
- Расходы организации ПБУ 10/99
- Минимальный размер оплаты труда (МРОТ)
- Календарь бухгалтера на 2025 год
- Частичная мобилизация: обзор новостей
- Постановление Правительства РФ N 1875


