VIII. Порядок определения стоимости проектных работ с использованием НЗ на проектные работы
(в ред. Приказа Минстроя России от 08.06.2023 N 409/пр)
(см. текст в предыдущей редакции)
130. Стоимость проектных работ в зависимости от натуральных показателей объектов проектирования определяется по ценам НЗ на проектные работы, установленным в зависимости от натуральных показателей, по формуле (8.1):
(в ред. Приказа Минстроя России от 08.06.2023 N 409/пр)
(см. текст в предыдущей редакции)
С = (а + в x X) x Кп x Ипр, (8.1),
С - стоимость проектных работ, рублей;
а - параметр цены основных проектных работ, установленный в соответствующих таблицах НЗ на проектные работы;
(в ред. Приказа Минстроя России от 08.06.2023 N 409/пр)
(см. текст в предыдущей редакции)
в - параметр цены проектных работ, установленный в соответствующих таблицах НЗ на проектные работы;
(в ред. Приказа Минстроя России от 08.06.2023 N 409/пр)
(см. текст в предыдущей редакции)
X - натуральный показатель объекта проектирования, находящийся в интервале значений, приведенных в таблицах НЗ на проектные работы;
(в ред. Приказа Минстроя России от 08.06.2023 N 409/пр)
(см. текст в предыдущей редакции)
Кп - корректирующие коэффициенты согласно положениям НЗ на проектные работы. При отсутствии условий проектирования конкретного объекта, требующих введения в расчет корректирующих коэффициентов, Кп = 1;
(в ред. Приказа Минстроя России от 08.06.2023 N 409/пр)
(см. текст в предыдущей редакции)
Ипр - индекс изменения сметной стоимости проектных работ.
131. Цена проектных работ для строительства объектов, имеющих натуральные показатели, находящиеся вне интервалов значений, приведенных в таблицах НЗ на проектные работы, определяется с учетом следующего:
(в ред. Приказа Минстроя России от 08.06.2023 N 409/пр)
(см. текст в предыдущей редакции)
1) в случае, если объект проектирования имеет значение основного показателя в интервале между половиной минимального показателя и минимальным показателем, приведенным в таблицах НЗ на проектные работы, цена проектных работ определяется путем экстраполяции по формуле (8.2):
(в ред. Приказа Минстроя России от 08.06.2023 N 409/пр)
(см. текст в предыдущей редакции)
Ц = а + в x (0,4 x Xmin + 0,6 x Xзад.), (8.2),
Ц - цена проектных работ, рублей;
а, в - параметры цены, принимаемые по таблицам НЗ на проектные работы для минимального значения натурального показателя;
(в ред. Приказа Минстроя России от 08.06.2023 N 409/пр)
(см. текст в предыдущей редакции)
Xmin - минимальный показатель, приведенный в таблицах НЗ на проектные работы;
(в ред. Приказа Минстроя России от 08.06.2023 N 409/пр)
(см. текст в предыдущей редакции)
Xзад - натуральный показатель объекта проектирования, имеющий значение в интервале между половиной минимального показателя и минимальным показателем, приведенным в таблицах НЗ на проектные работы;
(в ред. Приказа Минстроя России от 08.06.2023 N 409/пр)
(см. текст в предыдущей редакции)
0,4 и 0,6 - корректирующие коэффициенты, отражающие величину поправки;
2) в случае, если объект проектирования имеет натуральный показатель больше максимального показателя, приведенного в таблицах НЗ на проектные работы, цена проектных работ определяется путем экстраполяции по формуле (8.3):
(в ред. Приказа Минстроя России от 08.06.2023 N 409/пр)
(см. текст в предыдущей редакции)
Ц = а + в x (0,4 x Xmax + 0,6 x Xзад.), (8.3),
Ц - цена проектных работ, рублей;
а, в - параметры цены, принимаемые по таблицам НЗ на проектные работы, для максимального значения натурального показателя;
(в ред. Приказа Минстроя России от 08.06.2023 N 409/пр)
(см. текст в предыдущей редакции)
Xmax - максимальный показатель, приведенный в таблицах НЗ на проектные работы;
(в ред. Приказа Минстроя России от 08.06.2023 N 409/пр)
(см. текст в предыдущей редакции)
Xзад - натуральный показатель объекта проектирования;
0,4 и 0,6 - корректирующие коэффициенты, отражающие величину поправки;
3) в случае, если натуральный показатель объекта проектирования имеет значение основного показателя меньше половины минимального показателя, приведенного в таблицах НЗ на проектные работы, цена проектных работ определяется путем экстраполяции по формуле (8.4):
(в ред. Приказа Минстроя России от 08.06.2023 N 409/пр)
(см. текст в предыдущей редакции)
Ц = [а + в x (0,4 x Xmin + 0,6 x X1/2min.)] x Кэкс, (8.4),
Ц - цена проектных работ, рублей;
а, в - параметры цены, принимаемые по таблицам НЗ на проектные работы, для минимального значения натурального показателя;
(в ред. Приказа Минстроя России от 08.06.2023 N 409/пр)
(см. текст в предыдущей редакции)
Xmin - минимальный показатель, приведенный в таблицах НЗ на проектные работы;
(в ред. Приказа Минстроя России от 08.06.2023 N 409/пр)
(см. текст в предыдущей редакции)
Кэкс - коэффициент экстраполяции, рассчитываемый по формуле (8.5) и принимаемый в значении, превышающем 0,1;
0,4 и 0,6 - корректирующие коэффициенты, отражающие величину поправки.
Коэффициент экстраполяции рассчитывается по формуле (8.5):
Xзад - натуральный показатель объекта проектирования, имеющий значение, не превышающее половину минимального показателя, приведенного в таблицах НЗ на проектные работы;
(в ред. Приказа Минстроя России от 08.06.2023 N 409/пр)
(см. текст в предыдущей редакции)
X1/2min - половина минимального показателя, приведенного в таблицах НЗ на проектные работы.
(в ред. Приказа Минстроя России от 08.06.2023 N 409/пр)
(см. текст в предыдущей редакции)
132. Положения и формулы, приведенные в пункте 131 Методики, распространяются на все пункты таблиц НЗ на проектные работы, если для минимального и максимального натуральных показателей таблиц НЗ на проектные работы установлены границы интервала "до" и "свыше".
(в ред. Приказа Минстроя России от 08.06.2023 N 409/пр)
(см. текст в предыдущей редакции)
133. В случае, если в таблицах НЗ на проектные работы для одного вида объекта проектирования приведены значения только параметра "а", при этом объект проектирования имеет значение натурального показателя, не совпадающее с приведенным в таблице НЗ на проектные работы, его цена определяется путем интерполяции или экстраполяции с учетом следующего:
(в ред. Приказа Минстроя России от 08.06.2023 N 409/пр)
(см. текст в предыдущей редакции)
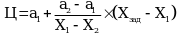
1) в случае, если натуральный показатель имеет значение, которое находится в интервале значений, приведенных в таблицах НЗ на проектные работы, цена проектных работ определяется по формуле (8.6):
(в ред. Приказа Минстроя России от 08.06.2023 N 409/пр)
(см. текст в предыдущей редакции)
Ц - цена проектных работ, рублей;
а1, а2 - параметры цены, принимаемые по таблицам НЗ на проектные работы, для значений соответствующих натуральных показателей;
(в ред. Приказа Минстроя России от 08.06.2023 N 409/пр)
(см. текст в предыдущей редакции)
X1, X2 - натуральные показатели, приведенные в таблицах НЗ на проектные работы;
(в ред. Приказа Минстроя России от 08.06.2023 N 409/пр)
(см. текст в предыдущей редакции)
Xзад - натуральный показатель объекта проектирования, находящийся между показателями, приведенными в таблицах НЗ на проектные работы;
(в ред. Приказа Минстроя России от 08.06.2023 N 409/пр)
(см. текст в предыдущей редакции)
2) в случае, если натуральный показатель имеет значение меньше минимального показателя, приведенного в таблицах НЗ на проектные работы, цена проектных работ определяется по формуле (8.7):
(в ред. Приказа Минстроя России от 08.06.2023 N 409/пр)
(см. текст в предыдущей редакции)
Ц - цена проектных работ, рублей;
а1, а2 - параметры цены, принимаемые по таблице НЗ на проектные работы для минимального и следующего за ним значения натуральных показателей;
(в ред. Приказа Минстроя России от 08.06.2023 N 409/пр)
(см. текст в предыдущей редакции)
X1, X2 - минимальный и следующий за ним натуральные показатели, приведенные в таблице НЗ на проектные работы;
(в ред. Приказа Минстроя России от 08.06.2023 N 409/пр)
(см. текст в предыдущей редакции)
Xзад - натуральный показатель объекта проектирования, имеющий значение меньше минимального показателя, приведенного в таблице НЗ на проектные работы;
(в ред. Приказа Минстроя России от 08.06.2023 N 409/пр)
(см. текст в предыдущей редакции)
0,6 - корректирующий коэффициент, отражающий величину поправки;
3) в случае, если натуральный показатель имеет значение больше максимального показателя, приведенного в таблицах НЗ на проектные работы, цена проектных работ определяется по формуле (8.8):
(в ред. Приказа Минстроя России от 08.06.2023 N 409/пр)
(см. текст в предыдущей редакции)
Ц - цена проектных работ, рублей;
а1, а2 - параметры цены, принимаемые по таблицам НЗ на проектные работы,
(в ред. Приказа Минстроя России от 08.06.2023 N 409/пр)
(см. текст в предыдущей редакции)
для максимального и предшествующего ему значения натуральных показателей;
X1, X2 - максимальный и предшествующий ему натуральные показатели, приведенные в таблицах НЗ на проектные работы;
(в ред. Приказа Минстроя России от 08.06.2023 N 409/пр)
(см. текст в предыдущей редакции)
Xзад - натуральный показатель объекта проектирования, имеющий значение, превышающее максимальный показатель, приведенный в таблицах НЗ на проектные работы;
(в ред. Приказа Минстроя России от 08.06.2023 N 409/пр)
(см. текст в предыдущей редакции)
0,6 - корректирующий коэффициент, отражающий величину поправки.
134. Приведенные в пунктах 131 и 133 Методики положения и формулы не применяются при определении стоимости проектных работ по ценам таблиц НЗ на проектные работы, для которых единицей измерения натурального показателя является "объект". В таком случае стоимость проектных работ определяется на основании параметров цены проектных работ, установленных в НЗ на проектные работы.
(в ред. Приказа Минстроя России от 08.06.2023 N 409/пр)
(см. текст в предыдущей редакции)
135. Стоимость проектных работ в зависимости от стоимости строительства объекта определяется по ценам НЗ на проектные работы, установленным в зависимости от стоимости строительства, по формуле (8.9) с учетом положений, приведенных в пунктах 136 - 142 Методики:
(в ред. Приказа Минстроя России от 08.06.2023 N 409/пр)
(см. текст в предыдущей редакции)
С - стоимость проектных работ, рублей;
Сстр - сметная стоимость строительно-монтажных работ и оборудования (в том числе мебели, инвентаря) по итогу глав ССР в уровне цен на 1 января года разработки НЗ на проектные работы (далее - сметная стоимость строительства). Пересчет сметной стоимости строительства объектов из уровня цен, установленного в ССР, в уровень цен по состоянию на 1 января года разработки НЗ на проектные работы осуществляется путем применения к стоимости строительства соответствующих индексов изменения сметной стоимости строительства, информация о которых размещена в федеральной государственной информационной системе ценообразования в строительстве (далее - индекс изменения сметной стоимости строительства). В случае определения сметной стоимости строительства ресурсно-индексным либо ресурсным методом при условии отсутствия соответствующих индексов изменения сметной стоимости строительства, ее пересчет осуществляется путем применения к стоимости строительства годового индекса пересчета, определяемого в соответствии с данными среднесрочного прогноза социально-экономического развития Российской Федерации, публикуемого Министерством экономического развития Российской Федерации на сайте: http://economy.gov.ru, по строке "Инвестиции в основной капитал. Индекс-дефлятор". Квартальный индекс пересчета стоимости строительства определяется путем извлечения корня четвертой степени из величины годового индекса пересчета за (на) соответствующий год, рублей;
(в ред. Приказа Минстроя России от 08.06.2023 N 409/пр)
(см. текст в предыдущей редакции)
а - норматив цены проектных работ для соответствующей стоимости строительства согласно таблицам НЗ на проектные работы;
(в ред. Приказа Минстроя России от 08.06.2023 N 409/пр)
(см. текст в предыдущей редакции)
Кп - корректирующие коэффициенты согласно положениям НЗ на проектные работы. При отсутствии условий строительства конкретного объекта проектирования, требующих введения в расчет корректирующих коэффициентов, Кп = 1;
(в ред. Приказа Минстроя России от 08.06.2023 N 409/пр)
(см. текст в предыдущей редакции)
Ипр - индекс изменения сметной стоимости проектных работ.
136. Для определения стоимости проектных работ на этапе формирования начальной (максимальной) цены контракта сметную стоимость строительства объекта проектирования допускается определять по укрупненным нормативам цены строительства, сведения о которых включены в ФРСН, или по данным ССР объекта-аналога, соответствующего критериям, утвержденным приказом Министерства строительства и жилищно-коммунального хозяйства Российской Федерации от 16 октября 2018 г. N 662/пр "Об утверждении критериев, на основании которых устанавливается аналогичность проектируемого объекта капитального строительства и объекта капитального строительства, применительно к которому подготовлена проектная документация, в отношении которой принято решение о признании проектной документации экономически эффективной проектной документацией повторного использования" (зарегистрирован Министерством юстиции Российской Федерации 13 февраля 2019 г., регистрационный N 53773), при условии последующего уточнения сметной стоимости проектных работ от итога глав 1 - 9 ССР объекта проектирования.
137. Нормативы цены проектных работ, приведенные в таблицах НЗ на проектные работы, учитывают стоимость проектных работ всего комплекса зданий и сооружений, нашедших отражение в сметной стоимости строительства объекта проектирования, за исключением стоимости работ, перечисленных в пункте 119 Методики и в главе "Общие положения" применяемых НЗ на проектные работы.
(в ред. Приказа Минстроя России от 08.06.2023 N 409/пр)
(см. текст в предыдущей редакции)
КонсультантПлюс: примечание.
О технических опечатках в формулах интерполяции (8.10) и (8.11) см. Письмо ФАУ "Главгосэкспертиза России" от 27.01.2025 N 01-01-13/1012.
138. В случае, когда объект проектирования имеет величину сметной стоимости строительства, находящуюся между показателями, приведенными в таблицах НЗ на проектные работы, норматив цены проектных работ определяется с применением формул интерполяции (8.10) и (8.11):
(в ред. Приказа Минстроя России от 08.06.2023 N 409/пр)
(см. текст в предыдущей редакции)
- норматив цены проектных работ объекта проектирования;
,
- норматив цены проектных работ для соответствующей сметной стоимости строительства в таблицах НЗ на проектные работы;
(в ред. Приказа Минстроя России от 08.06.2023 N 409/пр)
(см. текст в предыдущей редакции)
Сзад - сметная стоимость строительства;
С2, С1 - показатели сметной стоимости строительства в таблицах НЗ на проектные работы, между которыми находится стоимость строительства.
(в ред. Приказа Минстроя России от 08.06.2023 N 409/пр)
(см. текст в предыдущей редакции)
139. Если сметная стоимость строительства меньше или больше крайних показателей стоимостей строительства, приведенных в таблицах НЗ на проектные работы, норматив цены проектных работ принимается в размерах, установленных для крайних показателей без применения формул экстраполяции в сторону уменьшения или увеличения.
(в ред. Приказа Минстроя России от 08.06.2023 N 409/пр)
(см. текст в предыдущей редакции)
140. В случае, если сметная стоимость строительно-монтажных работ по объекту проектирования составляет менее 60% от сметной стоимости строительства, при определении стоимости проектных работ по формулам (8.9) - (8.11) применяются следующие корректирующие коэффициенты:
1) менее 60% до 50% включительно, в размере 0,95;
2) менее 50% до 40% включительно, в размере 0,9;
3) менее 40% до 30% включительно, в размере 0,8;
141. При определении стоимости проектных работ объектов проектирования учитываются категории сложности проектирования объектов, в случае их установления в НЗ на проектные работы.
(в ред. Приказа Минстроя России от 08.06.2023 N 409/пр)
(см. текст в предыдущей редакции)
142. При определении стоимости проектных работ по нормативам цены в зависимости от сметной стоимости строительства корректирующие коэффициенты на усложняющие факторы, приведенные в таблице 5.1 приложения N 5 к Методике, не применяются.
143. В случае отсутствия в НЗ на проектные работы показателей и нормативов цены проектных работ стоимость проектных работ объекта строительства определяется следующими способами:
(в ред. Приказа Минстроя России от 08.06.2023 N 409/пр)
(см. текст в предыдущей редакции)
а) по аналогии для сопоставимых видов (типов, категорий) объектов проектирования и видов проектных работ;
б) в соответствии с калькуляцией затрат на проектирование объекта (далее - калькуляция затрат);
в) по наиболее экономичному варианту, определенному на основании сбора информации о текущих ценах с использованием данных, определенных методом сопоставимых рыночных цен (анализа рынка) в соответствии с частью 1 статьи 22 Федерального закона от 5 апреля 2013 г. N 44-ФЗ "О контрактной системе в сфере закупок товаров, работ, услуг для обеспечения государственных и муниципальных нужд" (Собрание законодательства Российской Федерации, 2013, N 14, ст. 1652) (далее - Федеральный закон N 44-ФЗ).
144. При определении стоимости проектных работ по аналогии для сопоставимых видов (типов, категорий) объектов проектирования и видов проектных работ допускается использование соответствующих указаний по применению показателей и нормативов цены проектных работ, корректирующих коэффициентов, показателей относительной стоимости разработки разделов проектной и соответствующих комплектов рабочей документации, установленных в НЗ на проектные работы, в случае их отсутствия в иных НЗ на проектные работы.
(в ред. Приказа Минстроя России от 08.06.2023 N 409/пр)
(см. текст в предыдущей редакции)
145. В соответствии с калькуляцией затрат определяется стоимость основных и дополнительных проектных работ, сопутствующих работ и расходов.
Стоимость работ и расходов в соответствии с калькуляцией затрат определяется согласно положениям Методики с учетом следующего:
1) стоимость проектных работ и расходов (Спр) в соответствии с калькуляцией затрат определяется по формуле (8.12):
Спр = Вср x Тп x Чобщ x Ккв-уч, (8.12),
Спр - стоимость проектных работ, определенная в соответствии с калькуляцией затрат, рублей;
Вср - среднедневная выработка одного непосредственного исполнителя, рублей;
Тп - плановая продолжительность выполнения проектных работ, предусмотренных калькуляцией затрат, дни;
Чобщ - общая численность непосредственных исполнителей-проектировщиков, занятых в выполнении проектных работ, предусмотренных калькуляцией затрат, чел.;
Ккв-уч - корректирующий коэффициент, учитывающий степень участия исполнителей различной квалификации в выполнении проектных работ, предусмотренных калькуляцией затрат (далее - коэффициент квалификации-участия);
2) среднедневная выработка (Вср) определяется по формуле (8.13):
Р - коэффициент уровня рентабельности (сметной прибыли), принимается Р = 0,1 (1%) согласно таблице 1.2, приведенной в приложении N 2 к Методике;
ЗПср - среднедневная заработная плата, тыс. руб. Принимается по данным Росстата о среднемесячной номинальной начисленной заработной плате работающих в экономике, по видам экономической деятельности в Российской Федерации для деятельности в области архитектуры (код 71.11 согласно ОК 029-2014 (КДЕС ред. 2) "Общероссийский классификатор видов экономической деятельности" (далее - Общероссийский классификатор) за год, предшествующий году определения сметной стоимости объекта проектирования (среднее значение за период январь - декабрь), исходя из усредненного на основании производственного календаря количества рабочих дней в месяце для года, предшествующего году определения сметной стоимости проектных работ. Для работ по проектированию объектов, являющихся особо опасными, технически сложными, уникальными объектами согласно статье 48.1 Градостроительного кодекса Российской Федерации, а также для работ по подготовке проектной документации, содержащей материалы в форме информационной модели, среднемесячная заработная плата принимается для деятельности в области инженерно-технического проектирования (код 71.12 согласно ОК 029-2014 (КДЕС ред. 2) Общероссийского классификатора);
К3 - коэффициент, учитывающий долю оплаты труда производственного персонала в себестоимости проектных работ: К3 принимается в размере 0,4 (40,06%) согласно таблице 1.1, приведенной в приложении N 2 к Методике;
3) коэффициент, квалификации-участия (Ккв-уч), определяется по формуле (8.14):
Иi - индекс квалификации непосредственных исполнителей согласно таблицам 1.3 - 1.4, приведенным в приложении N 2 к Методике. Для отдельных отраслей индексы, приведенные в таблицах 1.3 - 1.4 приложения N 2 к Методике, подлежат уточнению при предоставлении соответствующих обоснований (бухгалтерских справок и аналогичных документов), документально подтвержденных уполномоченными лицами проектной организации;
Чi - численность исполнителей одинаковой квалификации, чел.;
Тфi - фактическое время работы исполнителей одинаковой квалификации, дни.
Численность и должностные категории (квалификация) исполнителей, фактическое время работы исполнителей одинаковой квалификации определяются на основании положений документов по стандартизации согласно статье 14 Федерального закона от 29 июня 2015 г. N 162-ФЗ "О стандартизации в Российской Федерации" (Собрание законодательства Российской Федерации, 2015, N 27, ст. 3953; 2021, N 1, ст. 62), стандартов процесса подготовки проектной документации согласно пункту 10 части 8 статьи 55.20 Градостроительного кодекса Российской Федерации (Собрание законодательства Российской Федерации, 2005, N 1, ст. 16; 2018, N 32, ст. 5133), норм проектирования, данных о трудоемкости объектов-аналогов, результатов опроса, проведенного среди не менее трех проектных организаций, специализирующихся на выполнение проектных работ, на которые подготавливается смета, таблиц технологического процесса выполнения проектных работ по объекту, продолжительности выполняемых работ, указанных в календарном плане к договору на выполнение проектных работ, данных о времени и количестве исполнителей определенной квалификации, принимающих участие в выполнении проектных работ, которые должны быть подписаны руководителем проектной организации, предоставляющей такие данные, и заверены ее печатью;
4) стоимость проектных работ, определяемых в соответствии с калькуляцией затрат, не учитывает командировочные расходы, непосредственно связанные с проектированием объекта, определяемые дополнительно;
5) рекомендуемый образец сметы на основные и дополнительные проектные работы, сопутствующие работы (форма 2п) приведен приложении N 7 к Методике;
6) рекомендуемый образец сметы на проектные работы в соответствии с калькуляцией затрат (форма 3п) приведен приложении N 7 к Методике.
146. Командировочные расходы, непосредственно связанные с проектированием объекта, возмещаются в соответствии с требованиями статьи 168 Трудового кодекса Российской Федерации (Собрание законодательства Российской Федерации, 2002, N 1, ст. 3; 2021, N 18, ст. 3053) и учитываются при применении НЗ на проектные работы дополнительно при наличии согласовании застройщика (технического заказчика) отдельным сметным расчетом с расшифровкой затрат на проезд к месту выполнения производственного задания и обратно, стоимости услуги найма жилого помещения (проживание в гостинице) и суточных расходов.
(в ред. Приказа Минстроя России от 08.06.2023 N 409/пр)
(см. текст в предыдущей редакции)
147. Рекомендуемый образец сметного расчета на командировочные расходы по работам, связанным с проектированием объекта (форма 4П), приведен в приложении N 7 к Методике.
148. Размер расходов на командировки, в том числе расходов на проезд и проживания в гостинице определяется на момент составления расчета в соответствии с Положением об особенностях направления работников в служебные командировки, утвержденным постановлением Правительства Российской Федерации от 13 октября 2008 г. N 749 (Собрание законодательства Российской Федерации, 2008, N 42, ст. 4821; 2015, N 31, ст. 4701).
149. Понесенные проектной организацией командировочные расходы обосновываются копиями подтверждающих финансовых документов (счета, счета-фактуры, чеки на оплату), заверенными ее уполномоченными лицами.
150. При проектировании объекта, строительство которого осуществляется по этапам, стоимость проектных работ определяется по каждому этапу отдельно исходя из выполняемого объема работ с применением соответствующих НЗ на проектные работы.
(в ред. Приказа Минстроя России от 08.06.2023 N 409/пр)
(см. текст в предыдущей редакции)
- Гражданский кодекс (ГК РФ)
- Жилищный кодекс (ЖК РФ)
- Налоговый кодекс (НК РФ)
- Трудовой кодекс (ТК РФ)
- Уголовный кодекс (УК РФ)
- Бюджетный кодекс (БК РФ)
- Арбитражный процессуальный кодекс
- Конституция РФ
- Земельный кодекс (ЗК РФ)
- Лесной кодекс (ЛК РФ)
- Семейный кодекс (СК РФ)
- Уголовно-исполнительный кодекс
- Уголовно-процессуальный кодекс
- Производственный календарь на 2025 год
- МРОТ 2026
- ФЗ «О банкротстве»
- О защите прав потребителей (ЗОЗПП)
- Об исполнительном производстве
- О персональных данных
- О налогах на имущество физических лиц
- О средствах массовой информации
- Производственный календарь на 2026 год
- Федеральный закон "О полиции" N 3-ФЗ
- Расходы организации ПБУ 10/99
- Минимальный размер оплаты труда (МРОТ)
- Календарь бухгалтера на 2026 год
- Частичная мобилизация: обзор новостей
- Постановление Правительства РФ N 1875
(8.5),
(8.6),
(8.7),
(8.8),
(8.9),
(8.10),
(8.11),
(8.13),
, (8.14),