постановлением Правительства
Российской Федерации
от 24 декабря 2021 г. N 2452
1. В разделе V:
абзацы восьмой и девятый раздела V изложить в следующей редакции:
"Правила предоставления и распределения субсидий из федерального бюджета бюджетам субъектов Российской Федерации и бюджету г. Байконур на создание в общеобразовательных организациях, расположенных в сельской местности и малых городах, условий для занятия физической культурой и спортом в целях достижения показателей и результатов федерального проекта "Успех каждого ребенка", входящего в состав национального проекта "Образование", в рамках государственной программы Российской Федерации "Развитие образования" приведены в приложении N 4.
Правила предоставления и распределения субсидий из федерального бюджета бюджетам субъектов Российской Федерации и бюджету г. Байконура в целях софинансирования расходных обязательств субъектов Российской Федерации и г. Байконура, возникающих при реализации региональных проектов, обеспечивающих достижение целей, показателей и результатов федеральных проектов, входящих в состав национального проекта "Образование", в рамках государственной программы Российской Федерации "Развитие образования" приведены в приложении N 5.";
в абзаце семнадцатом после слов "Республики Ингушетия" дополнить словами ", Республики Тыва";
дополнить абзацами следующего содержания:
"Правила предоставления и распределения субсидий из федерального бюджета бюджетам субъектов Российской Федерации на софинансирование расходов, возникающих при реализации региональных проектов, направленных на реализацию мероприятий по модернизации школьных систем образования в рамках государственной программы Российской Федерации "Развитие образования" приведены в приложении N 31.
Правила предоставления субсидий из федерального бюджета бюджетам субъектов Российской Федерации на обеспечение отдыха и оздоровления детей, проживающих в Арктической зоне Российской Федерации, приведены в приложении N 32.";
2. Пункт 15 приложения N 3 к указанной Программе дополнить абзацем следующего содержания:
"Субсидии, от получения которых субъект Российской Федерации отказался полностью или частично до заключения соглашения или в период его действия, подлежат перераспределению на реализацию региональных программ в текущем году между другими субъектами Российской Федерации, достигнувшими результатов использования субсидии в соответствии с соглашением на последнюю отчетную дату, в соответствии с настоящими Правилами и статьей 7 Федерального закона от 28 ноября 2018 г. N 457-ФЗ "О внесении изменений в Бюджетный кодекс Российской Федерации и отдельные законодательные акты Российской Федерации".
3. Приложения N 4 и N 5 к указанной Программе изложить в следующей редакции:
к государственной программе
Российской Федерации
"Развитие образования"
(в редакции постановления
Правительства Российской Федерации
от 24 декабря 2021 г. N 2452)
ПРЕДОСТАВЛЕНИЯ И РАСПРЕДЕЛЕНИЯ СУБСИДИЙ ИЗ ФЕДЕРАЛЬНОГО
БЮДЖЕТА БЮДЖЕТАМ СУБЪЕКТОВ РОССИЙСКОЙ ФЕДЕРАЦИИ
И БЮДЖЕТУ Г. БАЙКОНУРА НА СОЗДАНИЕ В ОБЩЕОБРАЗОВАТЕЛЬНЫХ
ОРГАНИЗАЦИЯХ, РАСПОЛОЖЕННЫХ В СЕЛЬСКОЙ МЕСТНОСТИ И МАЛЫХ
ГОРОДАХ, УСЛОВИЙ ДЛЯ ЗАНЯТИЯ ФИЗИЧЕСКОЙ КУЛЬТУРОЙ И СПОРТОМ
В ЦЕЛЯХ ДОСТИЖЕНИЯ ПОКАЗАТЕЛЕЙ И РЕЗУЛЬТАТОВ ФЕДЕРАЛЬНОГО
ПРОЕКТА "УСПЕХ КАЖДОГО РЕБЕНКА", ВХОДЯЩЕГО В СОСТАВ
НАЦИОНАЛЬНОГО ПРОЕКТА "ОБРАЗОВАНИЕ", В РАМКАХ
ГОСУДАРСТВЕННОЙ ПРОГРАММЫ РОССИЙСКОЙ ФЕДЕРАЦИИ
"РАЗВИТИЕ ОБРАЗОВАНИЯ"
1. Настоящие Правила устанавливают цели, порядок и условия предоставления субсидий из федерального бюджета бюджетам субъектов Российской Федерации и бюджету г. Байконура в целях софинансирования расходных обязательств субъектов Российской Федерации и г. Байконура по созданию в общеобразовательных организациях, расположенных в сельской местности и малых городах, условий для занятия физической культурой и спортом, возникающих при реализации региональных проектов, обеспечивающих достижение целей, показателей и результатов федерального проекта "Успех каждого ребенка", входящего в состав национального проекта "Образование", в рамках государственной программы Российской Федерации "Развитие образования" (далее соответственно - расходное обязательство субъекта Российской Федерации и г. Байконура, общеобразовательная организация, федеральный проект, региональный проект, субсидия).
2. Субсидия предоставляется в пределах лимитов бюджетных обязательств, доведенных до Министерства просвещения Российской Федерации как получателя средств федерального бюджета на цели, указанные в пункте 1 настоящих Правил.
Критериями отбора субъектов Российской Федерации и г. Байконура для предоставления субсидии являются:
наличие в субъекте Российской Федерации и г. Байконуре общеобразовательных организаций, а также потребности в улучшении условий для занятия физической культурой и спортом в общеобразовательных организациях;
наличие правового акта субъекта Российской Федерации и г. Байконура, утверждающего на 3 года предусмотренный пунктами 9 - 11 настоящих Правил перечень мероприятий в целях софинансирования которых предоставляется субсидия (далее - перечень мероприятий), в соответствии с требованиями нормативных правовых актов Российской Федерации.
Мероприятия, при реализации которых возникают расходные обязательства субъектов Российской Федерации и г. Байконура по созданию условий для занятия физической культурой и спортом, софинансируемые из федерального бюджета, должны быть выполнены не позднее 31 декабря года, в котором предоставляется субсидия.
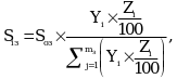
3. Размер субсидии (Sir) определяется по формуле:
S - общий объем бюджетных ассигнований, предусмотренных в федеральном бюджете на предоставление субсидии на соответствующий финансовый год;
Wi - показатель созданных в общеобразовательных организациях i-го субъекта Российской Федерации или г. Байконура условий для занятия физической культурой и спортом;
Zi - предельный уровень софинансирования расходного обязательства i-го субъекта Российской Федерации или г. Байконура из федерального бюджета на очередной финансовый год, определяемый в соответствии с пунктом 13(1.1) Правил формирования, предоставления и распределения субсидий из федерального бюджета бюджетам субъектов Российской Федерации, утвержденных постановлением Правительства Российской Федерации от 30 сентября 2014 г. N 999 "О формировании, предоставлении и распределении субсидий из федерального бюджета бюджетам субъектов Российской Федерации" (далее - Правила формирования, предоставления и распределения субсидий);
m - количество субъектов Российской Федерации и г. Байконур - получателей субсидий.
4. Показатель созданных в общеобразовательных организациях i-го субъекта Российской Федерации или г. Байконура условий для занятия физической культурой и спортом (Wi) определяется по формуле:
ni - численность обучающихся по основным общеобразовательным программам в i-м субъекте Российской Федерации или г. Байконуре на начало учебного года, предшествующего текущему финансовому году, по данным федерального статистического наблюдения;
n - численность обучающихся по основным общеобразовательным программам на начало учебного года, предшествующего текущему финансовому году, в субъектах Российской Федерации и г. Байконуре по данным федерального статистического наблюдения;
Bi - вклад i-го субъекта Российской Федерации или г. Байконура в увеличение численности обучающихся, занимающихся физической культурой и спортом в общеобразовательных организациях в целом в субъектах Российской Федерации и г. Байконуре.
Корректирующий коэффициент, применяемый при определении показателей роста численности обучающихся, занимающихся физической культурой и спортом в общеобразовательных организациях, равен 0,4.
Корректирующий коэффициент, применяемый при определении показателя вклада i-го субъекта Российской Федерации или г. Байконура в увеличение численности обучающихся, занимающихся физической культурой и спортом в общеобразовательных организациях в целом в субъектах Российской Федерации и г. Байконуре, равен 0,6.
5. Вклад i-го субъекта Российской Федерации или г. Байконура в увеличение численности обучающихся, занимающихся физической культурой и спортом в общеобразовательных организациях в целом в субъектах Российской Федерации и г. Байконуре (Bi), определяется по формуле:
Пi - рост численности обучающихся, занимающихся физической культурой и спортом в i-м субъекте Российской Федерации или г. Байконуре;
m - количество субъектов Российской Федерации и г. Байконур - получателей субсидий;
Di - поправочный коэффициент, применяемый для субъектов Российской Федерации, входящих в состав Дальневосточного федерального округа, равен 1,5.
6. Рост численности обучающихся, занимающихся физической культурой и спортом в i-м субъекте Российской Федерации или г. Байконуре (Пi), определяется по формуле:
- численность обучающихся по дополнительным общеразвивающим программам, дополнительным предпрофессиональным программам для детей в области физической культуры и спорта в i-м субъекте Российской Федерации или г. Байконуре за 2-й год, предшествующий текущему финансовому году, по данным федерального статистического наблюдения;
- численность обучающихся по дополнительным общеразвивающим программам, дополнительным предпрофессиональным программам для детей в области физической культуры и спорта в i-м субъекте Российской Федерации или г. Байконуре за 3-й год, предшествующий текущему финансовому году, по данным федерального статистического наблюдения;
- численность обучающихся по дополнительным общеразвивающим программам, дополнительным предпрофессиональным программам для детей в области физической культуры и спорта в i-м субъекте Российской Федерации или г. Байконуре за 1-й год, предшествующий текущему финансовому году, по данным федерального статистического наблюдения.
Корректирующий коэффициент, применяемый при определении показателей численности обучающихся, занимающихся физической культурой и спортом в общеобразовательных организациях в i-м субъекте Российской Федерации или г. Байконуре, при определении отношения показателя
к показателю
равен 0,4.
Корректирующий коэффициент, применяемый при определении показателей численности обучающихся, занимающихся физической культурой и спортом в общеобразовательных организациях в i-м субъекте Российской Федерации или г. Байконуре, при определении отношения показателя
к показателю
равен 0,6.
7. Субсидия предоставляется Министерством просвещения Российской Федерации субъекту Российской Федерации и г. Байконуру при соблюдении условий, установленных пунктом 8 Правил формирования, предоставления и распределения субсидий.
8. В целях достижения результата использования субсидии, соответствующего результату федерального проекта (далее - результат использования субсидии), может быть предусмотрено предоставление межбюджетных трансфертов из бюджета субъекта Российской Федерации местным бюджетам и бюджету г. Байконура.
9. Перечень мероприятий содержит информацию о сложившихся в субъекте Российской Федерации и г. Байконуре условиях для занятия физической культурой и спортом в общеобразовательных организациях, о количестве учащихся, занимающихся физической культурой и спортом во внеурочное время (по каждому уровню общего образования), за исключением дошкольного образования, а также одно или несколько из следующих мероприятий:
б) перепрофилирование имеющихся аудиторий под спортивные залы для занятия физической культурой и спортом;
в) создание и развитие школьных спортивных клубов;
г) оснащение спортивным инвентарем и оборудованием открытых плоскостных спортивных сооружений;
д) приобретение средств обучения и воспитания.
10. Перечень мероприятий не содержит мероприятия, осуществляемые за счет средств федерального бюджета в рамках других государственных проектов поддержки создания в общеобразовательных организациях условий для занятия физической культурой и спортом, а также мероприятия, в отношении которых достигнуты цели их реализации.
Перечень мероприятий не содержит мероприятий, проводимых в общеобразовательных организациях, в которых начиная с 2014 года создавались условия для занятия физической культурой и спортом за счет средств субсидии.
11. Перечень мероприятий содержит информацию о состоянии физкультурно-спортивной инфраструктуры общеобразовательных организаций, включающую следующие показатели:
а) количество общеобразовательных организаций, в которых имеется потребность в обновлении материально-технической базы для занятия физической культурой и спортом;
б) количество общеобразовательных организаций, в которых имеется потребность в ремонте спортивных залов;
в) количество общеобразовательных организаций, в которых имеется потребность в перепрофилировании имеющихся аудиторий под спортивные залы для занятия физической культурой и спортом;
г) количество школьных спортивных клубов для занятия физической культурой и спортом, планируемые к созданию в общеобразовательных организациях;
д) количество общеобразовательных организаций, в которых имеется потребность в оснащении открытых плоскостных спортивных сооружений спортивным инвентарем и оборудованием.
12. Предоставление субсидии осуществляется на основании соглашения о предоставлении субсидии (далее - соглашение), заключенного между Министерством просвещения Российской Федерации с органами исполнительной власти субъектов Российской Федерации или администрацией г. Байконура с использованием государственной интегрированной информационной системы управления общественными финансами "Электронный бюджет" в соответствии с типовой формой соглашения, утвержденной Министерством финансов Российской Федерации.
13. В случае изменения размера субсидии допускается внесение в соглашения изменений, предусматривающих корректировку промежуточных значений результатов использования субсидий, не влекущих ухудшения конечных значений целевых показателей региональных проектов и (или) конечных результатов реализации региональных проектов. В соглашение могут быть внесены изменения в части значений целевых показателей без изменения размера субсидии, предусматривающих корректировку промежуточных значений результатов использования субсидии, направленные на улучшение конечных значений целевых показателей региональных проектов и (или) конечных результатов реализации региональных проектов.
14. Объем бюджетных ассигнований бюджета субъекта Российской Федерации и бюджета г. Байконура на финансовое обеспечение расходного обязательства субъекта Российской Федерации и г. Байконура, софинансируемого за счет субсидии, утверждается законом субъекта Российской Федерации о бюджете субъекта Российской Федерации и решением главы администрации г. Байконура (определяется сводной бюджетной росписью бюджета субъекта Российской Федерации и г. Байконура) исходя из необходимости достижения установленных соглашением значений результатов использования субсидии.
15. Оценка эффективности использования субсидии осуществляется Министерством просвещения Российской Федерации на основании сравнения установленных в соглашении и фактически достигнутых субъектом Российской Федерации и г. Байконуром значений результата использования субсидии - количество общеобразовательных организаций, расположенных в сельской местности и малых городах, в которых обновлена материально-техническая база для занятия детей физической культурой и спортом.
Субсидии, от получения которых субъект Российской Федерации отказался полностью или частично до заключения соглашения или в период его действия, подлежат перераспределению на реализацию региональных программ в текущем году между другими субъектами Российской Федерации, достигнувшими результатов использования субсидии в соответствии с соглашением на последнюю отчетную дату, в соответствии с настоящими Правилами и статьей 7 Федерального закона от 28 ноября 2018 г. N 457-ФЗ "О внесении изменений в Бюджетный кодекс Российской Федерации и отдельные законодательные акты Российской Федерации".
16. Требованием к результату использования субсидии является приобретение средств обучения и воспитания, комплектуемых в соответствии с методическими рекомендациями Министерства просвещения Российской Федерации, размещаемыми на официальном сайте в информационно-телекоммуникационной сети "Интернет", и (или) оказание сопутствующих услуг (выполнение работ) в целях достижения результата использования субсидии, в том числе проведение ремонта спортивных залов, перепрофилирование имеющихся аудиторий под спортивные залы для занятия физической культурой и спортом, создание и развитие школьных спортивных клубов и оснащение спортивным инвентарем и оборудованием открытых плоскостных спортивных сооружений.
17. Уполномоченные высшим исполнительным органом государственной власти субъекта Российской Федерации и администрацией г. Байконура органы исполнительной власти субъекта Российской Федерации и г. Байконура размещают в сроки, установленные соглашением, в государственной интегрированной информационной системе управления общественными финансами "Электронный бюджет" отчет о расходах, в целях софинансирования которых предоставляется субсидия, а также отчет о достижении значений результатов использования субсидии.
18. Перечисление субсидий осуществляется в установленном порядке на единые счета бюджетов, открытые финансовым органам субъектов Российской Федерации в территориальных органах Федерального казначейства.
Перечисление субсидий бюджету г. Байконура осуществляется в установленном порядке на счет, открытый финансовому органу администрации г. Байконура.
19. В случае если субъектом Российской Федерации и г. Байконуром по состоянию на 31 декабря года предоставления субсидии допущены нарушения обязательств по достижению значений результатов использования субсидии, предусмотренных соглашением в соответствии с подпунктом "б" пункта 10 Правил формирования, предоставления и распределения субсидий, и в срок до первой даты представления отчетности о достижении значений результатов использования субсидии в соответствии с соглашением в году, следующем за годом предоставления субсидии, указанные нарушения не устранены, объем средств, подлежащих возврату из бюджета субъекта Российской Федерации и бюджета г. Байконура в федеральный бюджет, и срок возврата указанных средств определяются в соответствии с пунктами 16 - 18 Правил формирования, предоставления и распределения субсидий.
Основания освобождения субъектов Российской Федерации и г. Байконура от применения мер ответственности установлены пунктом 20 Правил формирования, предоставления и распределения субсидий.
20. Контроль за соблюдением субъектом Российской Федерации и г. Байконуром условий предоставления субсидии осуществляется Министерством просвещения Российской Федерации и уполномоченными органами государственного финансового контроля.
к государственной программе
Российской Федерации
"Развитие образования"
(в редакции постановления
Правительства Российской Федерации
от 24 декабря 2021 г. N 2452)
ПРЕДОСТАВЛЕНИЯ И РАСПРЕДЕЛЕНИЯ СУБСИДИЙ ИЗ ФЕДЕРАЛЬНОГО
БЮДЖЕТА БЮДЖЕТАМ СУБЪЕКТОВ РОССИЙСКОЙ ФЕДЕРАЦИИ
И БЮДЖЕТУ Г. БАЙКОНУРА В ЦЕЛЯХ СОФИНАНСИРОВАНИЯ РАСХОДНЫХ
ОБЯЗАТЕЛЬСТВ СУБЪЕКТОВ РОССИЙСКОЙ ФЕДЕРАЦИИ И Г. БАЙКОНУРА,
ВОЗНИКАЮЩИХ ПРИ РЕАЛИЗАЦИИ РЕГИОНАЛЬНЫХ ПРОЕКТОВ,
ОБЕСПЕЧИВАЮЩИХ ДОСТИЖЕНИЕ ЦЕЛЕЙ, ПОКАЗАТЕЛЕЙ И РЕЗУЛЬТАТОВ
ФЕДЕРАЛЬНЫХ ПРОЕКТОВ, ВХОДЯЩИХ В СОСТАВ НАЦИОНАЛЬНОГО
ПРОЕКТА "ОБРАЗОВАНИЕ", В РАМКАХ ГОСУДАРСТВЕННОЙ ПРОГРАММЫ
РОССИЙСКОЙ ФЕДЕРАЦИИ "РАЗВИТИЕ ОБРАЗОВАНИЯ"
1. Настоящие Правила устанавливают цели, порядок и условия предоставления субсидий из федерального бюджета бюджетам субъектов Российской Федерации и бюджету г. Байконура в целях софинансирования расходных обязательств субъектов Российской Федерации и г. Байконура, возникающих при реализации региональных проектов, обеспечивающих достижение целей, показателей и результатов федеральных проектов "Современная школа", "Успех каждого ребенка", "Цифровая образовательная среда", "Учитель будущего", "Молодые профессионалы (повышение конкурентоспособности профессионального образования)", "Социальная активность", входящих в состав национального проекта "Образование", в рамках государственной программы Российской Федерации "Развитие образования" (далее соответственно - расходное обязательство субъекта Российской Федерации и г. Байконура, региональный проект, федеральный проект, субсидия).
2. Субсидии предоставляются в целях достижения следующих результатов использования субсидии, значения которых устанавливаются в соглашениях о предоставлении субсидии из федерального бюджета бюджетам субъектов Российской Федерации и бюджету г. Байконура (далее - соглашения), заключаемых в соответствии с пунктом 15 настоящих Правил:
а) приобретение оборудования, расходных материалов, средств обучения и воспитания в целях создания и обеспечения функционирования центров образования естественно-научной и технологической направленностей в общеобразовательных организациях, расположенных в сельской местности и малых городах;
б) приобретение оборудования, расходных материалов, средств обучения и воспитания в целях обновления материально-технической базы общеобразовательных организаций, осуществляющих образовательную деятельность исключительно по адаптированным основным общеобразовательным программам;
в) приобретение оборудования, расходных материалов, средств обучения и воспитания в целях создания новых мест в образовательных организациях различных типов для реализации дополнительных общеразвивающих программ всех направленностей;
г) приобретение оборудования, расходных материалов, средств обучения и воспитания в целях создания детских технопарков "Кванториум";
д) приобретение оборудования, расходных материалов, средств обучения и воспитания, сопутствующих работ (услуг) в целях создания региональных центров выявления, поддержки и развития способностей и талантов у детей и молодежи;
е) приобретение товаров (работ, услуг) в целях внедрения целевой модели развития региональных систем дополнительного образования детей, утверждаемой Министерством просвещения Российской Федерации;
ж) приобретение оборудования, расходных материалов, средств обучения и воспитания для обеспечения образовательных организаций материально-технической базой для внедрения цифровой образовательной среды;
з) приобретение оборудования, расходных материалов, средств обучения и воспитания в целях создания центров цифрового образования детей;
и) приобретение товаров (работ, услуг) в целях реализации мероприятий по формированию и обеспечению функционирования единой федеральной системы научно-методического сопровождения педагогических работников и управленческих кадров;
к) приобретение товаров (работ, услуг) в целях создания и обеспечения функционирования центров опережающей профессиональной подготовки;
л) приобретение товаров (работ, услуг) в целях реализации лучших практик в сфере добровольчества (волонтерства), реализуемых в субъектах Российской Федерации и г. Байконуре;
м) приобретение оборудования, расходных материалов, средств обучения и воспитания в рамках государственной поддержки образовательных организаций в целях оснащения (обновления) их компьютерным, мультимедийным, презентационным оборудованием и программным обеспечением в рамках эксперимента по модернизации начального общего, основного общего и среднего общего образования;
н) приобретение товаров (работ, услуг) в целях создания (обновления) материально-технической базы образовательных организаций, реализующих образовательные программы среднего профессионального образования.
3. Результаты использования субсидии, установленные в пункте 2 настоящих Правил в части:
а) подпунктов "а", "б", "г" и "и", - соответствуют результатам федерального проекта "Современная школа";
б) подпунктов "в", "д" и "е", - соответствуют результатам федерального проекта "Успех каждого ребенка";
в) подпунктов "ж", "з" и "м", - соответствуют результатам федерального проекта "Цифровая образовательная среда";
г) подпунктов "к", "н", - соответствуют результатам федерального проекта "Молодые профессионалы (повышение конкурентоспособности профессионального образования)";
д) подпункта "л", - соответствуют результатам федерального проекта "Социальная активность".
4. Требованиями к результатам использования субсидии, установленным в пункте 2 настоящих Правил, являются:
а) в части подпунктов "а" - "г", "ж", "з" и "м" - приобретение оборудования, расходных материалов, средств обучения и воспитания, комплектуемых в соответствии с методическими рекомендациями Министерства просвещения Российской Федерации, размещаемыми на официальном сайте Министерства в информационно-телекоммуникационной сети "Интернет" (далее - методические рекомендации);
б) в части подпунктов "д", "и" и "к" - приобретение наборов оборудования и мебели, в том числе средств обучения и воспитания, комплектуемых в соответствии с методическими рекомендациями, и (или) оказание сопутствующих услуг (выполнение работ) в целях достижения результатов использования субсидии, в том числе проведение ремонтных работ по подготовке помещений в соответствии с методическими рекомендациями;
в) в части подпункта "е" - приобретение товаров (работ, услуг), обеспечивающих внедрение целевой модели развития региональных систем дополнительного образования детей, утверждаемой Министерством просвещения Российской Федерации;
г) в части подпункта "л" - приобретение товаров (работ, услуг), обеспечивающих реализацию лучших практик в сфере добровольчества (волонтерства), утвержденных решением Экспертной комиссии по оценке заявок на участие во Всероссийском конкурсе лучших региональных практик поддержки волонтерства "Регион добрых дел", порядок формирования и осуществления деятельности которой установлен Федеральным агентством по делам молодежи;
д) в части подпункта "н" - приобретение оборудования, средств обучения, средств вычислительной техники и лицензионного программного обеспечения, интерактивного и презентационного оборудования, мебели.
5. Субсидии предоставляются при соблюдении следующих условий:
а) наличие правовых актов субъекта Российской Федерации и г. Байконура, утверждающих перечень мероприятий, при реализации которых возникает расходное обязательство субъекта Российской Федерации и г. Байконура, в целях софинансирования которых предоставляются субсидии, в соответствии с требованиями нормативных правовых актов Российской Федерации;
б) наличие в бюджете субъекта Российской Федерации и бюджете г. Байконура бюджетных ассигнований на исполнение расходного обязательства субъекта Российской Федерации и г. Байконура, софинансирование которого осуществляется из федерального бюджета;
в) заключение соглашения о предоставлении субсидии в соответствии с пунктом 10 Правил формирования, предоставления и распределения субсидий из федерального бюджета бюджетам субъектов Российской Федерации, утвержденных постановлением Правительства Российской Федерации от 30 сентября 2014 г. N 999 "О формировании, предоставлении и распределении субсидий из федерального бюджета бюджетам субъектов Российской Федерации" (далее - Правила формирования, предоставления и распределения субсидий).
6. Субсидии предоставляются в пределах лимитов бюджетных обязательств, доведенных:
до Министерства просвещения Российской Федерации как получателя средств федерального бюджета на предоставление субсидии в целях достижения результатов использования субсидии, указанных в подпунктах "а" - "к", "м" и "н" пункта 2 настоящих Правил;
до Федерального агентства по делам молодежи как получателя средств федерального бюджета на предоставление субсидии в целях достижения результата использования субсидии, указанного в подпункте "л" пункта 2 настоящих Правил.
7. Отбор субъектов Российской Федерации и г. Байконура для предоставления субсидии осуществляется с учетом подпункта "в" пункта 4 Правил формирования, предоставления и распределения субсидий, исходя из следующих критериев:
а) потребность в обеспечении необходимого уровня развития системы образования субъекта Российской Федерации и г. Байконура в целях достижения результатов использования субсидии, указанных в пункте 2 настоящих Правил, с учетом статистических показателей, в том числе опыта выполнения в субъекте Российской Федерации и г. Байконуре масштабных программ и проектов в сфере образования, а также кадрового потенциала субъекта Российской Федерации и г. Байконура различного уровня по видам образования;
б) наличие в субъекте Российской Федерации и г. Байконуре утвержденных в установленном порядке паспортов региональных проектов, обеспечивающих достижение целей, показателей и результатов федеральных проектов;
в) централизация закупок в порядке, определенном частью 7 статьи 26 Федерального закона "О контрактной системе в сфере закупок товаров, работ, услуг для обеспечения государственных и муниципальных нужд".
8. Отбор субъектов Российской Федерации и г. Байконура для предоставления субсидии в целях достижения результата использования субсидии, указанного в подпункте "н" пункта 2 настоящих Правил, дополнительно к критериям, установленным пунктом 7 настоящих Правил, осуществляется исходя из следующих критериев:
а) наличие внебюджетных средств, привлекаемых субъектом Российской Федерации и г. Байконуром в целях оснащения современной материально-технической базой мастерских образовательных организаций, реализующих образовательные программы среднего профессионального образования;
б) утверждение субъектом Российской Федерации и г. Байконуром перечня наиболее востребованных на рынке труда субъекта Российской Федерации и г. Байконура новых и перспективных профессий, требующих среднего профессионального образования;
в) соответствие оснащаемых современной материально-технической базой мастерских образовательных организаций, реализующих образовательные программы среднего профессионального образования, перечню наиболее востребованных на рынке труда субъекта Российской Федерации и г. Байконура новых и перспективных профессий, требующих среднего профессионального образования.
9. Субъекты Российской Федерации и г. Байконур, соответствующие критериям, установленным пунктами 7 и 8 настоящих Правил, представляют заявки:
а) в Министерство просвещения Российской Федерации для участия в порядке, установленном Министерством, в отборе на предоставление субсидии в целях достижения результатов использования субсидии, установленных в подпунктах "а" - "к", "м" и "н" пункта 2 настоящих Правил;
б) в Федеральное агентство по делам молодежи для участия в порядке, установленном Агентством, в отборе на предоставление субсидии в целях достижения результатов использования субсидии, установленных в подпункте "л" пункта 2 настоящих Правил.
10. Размер субсидии, предоставляемой i-му субъекту Российской Федерации и г. Байконуру в целях софинансирования расходных обязательств субъектов Российской Федерации и г. Байконура, исполнение которых обеспечивает достижение результата использования субсидии:
а) предусмотренного подпунктом "а" пункта 2 настоящих Правил (Siа), определяется по формуле:
Sоа - общий объем бюджетных ассигнований, предусмотренных в федеральном бюджете на предоставление субсидии на соответствующий финансовый год;
Mi - число общеобразовательных организаций i-го субъекта Российской Федерации или г. Байконура, расположенных в сельской местности и малых городах, в которых запланировано в соответствующем финансовом году создание и функционирование центров образования естественно-научной и технологической направленностей;
Zi - предельный уровень софинансирования из федерального бюджета расходного обязательства i-го субъекта Российской Федерации или г. Байконура, определяемый в соответствии с пунктом 13(1.1) Правил формирования, предоставления и распределения субсидий;
mа - число субъектов Российской Федерации и г. Байконур - получателей субсидии в соответствующем финансовом году;
б) предусмотренного подпунктом "б" пункта 2 настоящих Правил (Siб), определяется по формуле:
Sоб - объем средств федерального бюджета, предусмотренных на предоставление субсидии в целях достижения результата использования субсидии;
Xiб - определяемое в соответствии с пунктом 12 настоящих Правил количество организаций, осуществляющих образовательную деятельность исключительно по адаптированным основным общеобразовательным программам в i-м субъекте Российской Федерации или г. Байконуре, оснащение которых запланировано в соответствующем финансовом году;
mб - число субъектов Российской Федерации и г. Байконур - получателей субсидии в соответствующем финансовом году;
в) предусмотренного подпунктом "в" пункта 2 настоящих Правил (Siв), определяется по формуле:
Sов - объем средств федерального бюджета, предусмотренных на предоставление субсидии в целях достижения результата использования субсидии на соответствующий финансовый год;
Di - определяемое в соответствии с пунктом 12 настоящих Правил количество новых мест в образовательных организациях различных типов для реализации дополнительных общеразвивающих программ всех направленностей, запланированных к созданию в i-м субъекте Российской Федерации или г. Байконуре в соответствующем финансовом году;
mв - число субъектов Российской Федерации и г. Байконур - получателей субсидии в соответствующем финансовом году;
г) предусмотренного подпунктом "г" пункта 2 настоящих Правил (Siг), определяется по формуле:
Sог - объем средств федерального бюджета, предусмотренных на предоставление субсидии в целях достижения результата использования субсидии на соответствующий финансовый год;
Qi - количество детских технопарков "Кванториум", запланированных к созданию в i-м субъекте Российской Федерации или г. Байконуре в соответствующем финансовом году, определяемое в соответствии с пунктом 12 настоящих Правил;
mг - число субъектов Российской Федерации и г. Байконур - получателей субсидии в соответствующем финансовом году;
д) предусмотренного подпунктом "д" пункта 2 настоящих Правил (Siд), определяется по формуле:
Sод - объем средств федерального бюджета, предусмотренных на предоставление субсидии в целях достижения результата использования субсидии на соответствующий финансовый год;
Ci - региональный центр выявления, поддержки и развития способностей и талантов у детей и молодежи, запланированный к созданию в i-м субъекте Российской Федерации или г. Байконуре в соответствующем финансовом году, определяемый в соответствии с пунктом 13 настоящих Правил;
mд - число субъектов Российской Федерации и г. Байконур - получателей субсидии в соответствующем финансовом году.
В рамках предоставления субсидии в целях достижения указанного результата использования субсидии в одном субъекте Российской Федерации и г. Байконуре может быть создано не более одного центра выявления, поддержки и развития способностей и талантов у детей и молодежи за весь период реализации национального проекта "Образование";
е) предусмотренного подпунктом "е" пункта 2 настоящих Правил (Siз), определяется по формуле:
Sоз - объем средств федерального бюджета, предусмотренных на предоставление субсидии в целях достижения результата использования субсидии на соответствующий финансовый год;
Yi - коэффициент ресурсозатратности реализации обязательств i-го субъекта Российской Федерации или г. Байконура по внедрению целевой модели развития региональных систем дополнительного образования детей, определяемый в соответствующем финансовом году в соответствии с пунктом 13 настоящих Правил;
mз - число субъектов Российской Федерации и г. Байконур - получателей субсидии в соответствующем финансовом году;
ж) предусмотренного подпунктом "ж" пункта 2 настоящих Правил (Siи), определяется по формуле:
Sои - общий объем бюджетных ассигнований, предусмотренных в федеральном бюджете на предоставление субсидии на соответствующий финансовый год;
Ni - определяемое в соответствии с пунктом 12 настоящих Правил количество образовательных организаций, в которых запланировано обновление материально-технической базы для внедрения цифровой образовательной среды в i-ом субъекте Российской Федерации или г. Байконуре в соответствующем финансовом году;
mи - число субъектов Российской Федерации и г. Байконур - получателей субсидии в соответствующем финансовом году;
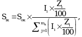
з) предусмотренного подпунктом "з" пункта 2 настоящих Правил (Siк), определяется по формуле:
Sок - объем средств федерального бюджета, предусмотренных на предоставление субсидии в целях достижения результата использования субсидии на соответствующий финансовый год;
Ii - количество центров цифрового образования детей "IT-куб", запланированных к созданию в i-м субъекте Российской Федерации или г. Байконуре в соответствующем финансовом году, определяемое в соответствии с пунктом 12 настоящих Правил;
mк - число субъектов Российской Федерации и г. Байконур - получателей субсидии в соответствующем финансовом году;
и) предусмотренного подпунктом "и" пункта 2 настоящих Правил (Siл), определяется по формуле:
Sол - общий объем бюджетных ассигнований, предусмотренных в федеральном бюджете на предоставление субсидии на соответствующий финансовый год;
Ti - количество центров непрерывного повышения профессионального мастерства педагогических работников и управленческих кадров, запланированных в i-м субъекте Российской Федерации или г. Байконуре в соответствующем финансовом году, определяемое в соответствии с пунктом 12 настоящих Правил;
mл - число субъектов Российской Федерации и г. Байконур - получателей субсидии в соответствующем финансовом году;
к) предусмотренного подпунктом "к" пункта 2 настоящих Правил (Siм), определяется по формуле:
Sом - объем средств федерального бюджета, предусмотренных на предоставление субсидии в целях достижения результата использования субсидии на соответствующий финансовый год;
Ei - количество центров опережающей профессиональной подготовки, запланированных к созданию в i-м субъекте Российской Федерации или г. Байконуре в соответствующем финансовом году, определяемое в соответствии с пунктом 12 настоящих Правил;
mм - число субъектов Российской Федерации и г. Байконур - получателей субсидии в соответствующем финансовом году;
л) предусмотренного подпунктом "л" пункта 2 настоящих Правил (Siн), определяется по формуле:
SОН - объем средств федерального бюджета, предусмотренных на предоставление субсидии в целях достижения результата использования субсидии на соответствующий финансовый год;
mо - число субъектов Российской Федерации и г. Байконур - получателей субсидии в соответствующем финансовом году;
Ri - коэффициент потребности i-го субъекта Российской Федерации или г. Байконура в реализации лучших практик в сфере добровольчества (волонтерства) в соответствующем финансовом году, определяемый по формуле:
Gi1 - планируемая численность граждан в очередном финансовом году, вовлеченных в волонтерскую деятельность в i-м субъекте Российской Федерации или г. Байконуре, в соответствии с заявкой субъекта Российской Федерации и г. Байконура;
Gi2 - численность граждан в отчетном финансовом году, вовлеченных в волонтерскую деятельность в i-м субъекте Российской Федерации или г. Байконуре, согласно ведомственной статистике;
Li1 - численность молодежи, вовлеченной в волонтерскую деятельность в i-м субъекте Российской Федерации или г. Байконуре, согласно федеральному статистическому наблюдению;
Li2 - численность молодежи в i-м субъекте Российской Федерации или г. Байконуре согласно федеральному статистическому наблюдению;
м) предусмотренного подпунктом "м" пункта 2 настоящих Правил (Siо), определяется по формуле:
Sоо - общий объем бюджетных ассигнований, предусмотренных в федеральном бюджете на предоставление субсидии на соответствующий финансовый год;
Gi - количество общеобразовательных организаций, запланированных к оснащению в i-м субъекте Российской Федерации или г. Байконуре в соответствующем финансовом году;
mо - число субъектов Российской Федерации и г. Байконур - получателей субсидии в соответствующем финансовом году;
н) предусмотренного подпунктом "н" пункта 2 настоящих Правил (Siп), определяется по формуле:
Sоп - общий объем бюджетных ассигнований, предусмотренных в федеральном бюджете на предоставление субсидии на соответствующий финансовый год;
Wi - количество мастерских образовательных организаций, реализующих образовательные программы среднего профессионального образования, запланированных к оснащению в i-м субъекте Российской Федерации или г. Байконуре в соответствующем финансовом году;
mп - число субъектов Российской Федерации и г. Байконур - получателей субсидии в соответствующем финансовом году.
11. В целях определения очередности получения субсидии формируется перечень субъектов Российской Федерации и г. Байконура, заявки которых прошли отбор в соответствии с пунктами 7 и 8 настоящих Правил (далее - перечень), в порядке убывания значения индекса потребности субъекта Российской Федерации и г. Байконура в субсидии (далее - индекс) в целях достижения результата использования субсидии:
а) предусмотренного подпунктом "а" пункта 2 настоящих Правил (Biпотр(а)), расчет индекса осуществляется по формуле:
Biпотр(а) = Biдет(село) x Zi x Kдвфо,
Biпотр(а) - индекс потребности i-го субъекта Российской Федерации или г. Байконура в субсидии в целях достижения результата использования субсидии;
Biдет(село) - численность обучающихся по основным общеобразовательным программам в сельской местности и малых городах в i-м субъекте Российской Федерации или г. Байконуре на начало учебного года, предшествующего текущему финансовому году, согласно федеральному статистическому наблюдению;
Kдвфо - коэффициент, применяемый для субъектов Российской Федерации, входящих в состав Дальневосточного федерального округа, равный 1,5 (для субъектов, не входящих в состав Дальневосточного федерального округа, и г. Байконура, равный 1);
б) подпунктом "б" пункта 2 настоящих Правил (Biпотр(б)), расчет индекса осуществляется по формуле:
Biпотр(б) = Biдет(овз) x Zi x Kдвфо,
Biпотр(б) - индекс потребности i-го субъекта Российской Федерации или г. Байконура в субсидии в целях достижения результата использования субсидии;
Biдет(овз) - численность обучающихся с ограниченными возможностями здоровья и инвалидностью по основным общеобразовательным программам в i-м субъекте Российской Федерации или г. Байконуре на начало учебного года, предшествующего текущему финансовому году, согласно федеральному статистическому наблюдению;
в) подпунктом "в" пункта 2 настоящих Правил (Biпотр(в)), расчет индекса осуществляется по формуле:
Biпотр(в) = (Biдет - DOiохв) x Zi x Kдвфо,
Biпотр(в) - индекс потребности i-го субъекта Российской Федерации или г. Байконура в субсидии в целях достижения результата использования субсидии;
Biдет - численность детей в возрасте от 5 до 18 лет в i-м субъекте Российской Федерации или г. Байконуре на начало текущего финансового года;
DOiохв - численность обучающихся по дополнительным общеобразовательным программам в возрасте от 5 до 18 лет в i-м субъекте Российской Федерации или г. Байконуре за год, предшествующий текущему финансовому году, согласно федеральному статистическому наблюдению;
г) подпунктом "г" пункта 2 настоящих Правил (Biпотр(г)), расчет индекса осуществляется по формуле:
Biпотр(г) - индекс потребности i-го субъекта Российской Федерации или г. Байконура в субсидии в целях достижения результата использования субсидии;
DOiтех - численность обучающихся по дополнительным общеобразовательным программам технической направленности в возрасте от 5 до 18 лет в i-м субъекте Российской Федерации или г. Байконуре за год, предшествующий текущему финансовому году, согласно федеральному статистическому наблюдению;
DOiен - численность обучающихся по дополнительным общеобразовательным программам естественно-научной направленности в возрасте от 5 до 18 лет в i-м субъекте Российской Федерации или г. Байконуре за год, предшествующий текущему финансовому году, согласно федеральному статистическому наблюдению;
д) подпунктами "д", "е" и "з" пункта 2 настоящих Правил (Biпотр(дез)), расчет индекса осуществляется по формуле:
Biпотр(дез) = Biдет x Zi x Kдвфо,
Biпотр(дез) - индекс потребности i-го субъекта Российской Федерации или г. Байконура в субсидии в целях достижения результата использования субсидии;
е) подпунктом "ж" пункта 2 настоящих Правил (Biпотр(ж)), расчет индекса осуществляется по формуле:
Biпотр(ж) - индекс потребности i-го субъекта Российской Федерации или г. Байконуре в субсидии в целях достижения результата использования субсидии;
Biоо - численность обучающихся по основным общеобразовательным программам в i-м субъекте Российской Федерации или г. Байконуре на начало учебного года, предшествующего текущему финансовому году, согласно федеральному статистическому наблюдению;
Biспо - численность обучающихся по образовательным программам среднего профессионального образования в i-м субъекте Российской Федерации или г. Байконуре на начало учебного года, предшествующего текущему финансовому году, согласно федеральному статистическому наблюдению;
PCiоо - количество персональных компьютеров, используемых в учебных целях, в общеобразовательных организациях в i-м субъекте Российской Федерации или г. Байконуре на начало учебного года, предшествующего текущему финансовому году, согласно федеральному статистическому наблюдению;
PCiспо - количество персональных компьютеров, используемых в учебных целях, в профессиональных образовательных организациях в i-м субъекте Российской Федерации или г. Байконуре на начало учебного года, предшествующего текущему финансовому году, согласно федеральному статистическому наблюдению;
ж) подпунктом "и" пункта 2 настоящих Правил (Biпотр(и)), расчет индекса осуществляется по формуле:
Biпотр(и) = (TiДО + TiОО + TiСПО + TiДОД) x Zi x Kдвфо,
Biпотр(и) - индекс потребности i-го субъекта Российской Федерации или г. Байконура в субсидии в целях достижения результата использования субсидии;
TiДО - численность педагогических работников списочного состава, осуществляющих образовательную деятельность по образовательным программам дошкольного образования, присмотр и уход за детьми, на конец года, предшествующего текущему финансовому году, в i-м субъекте Российской Федерации или г. Байконуре согласно федеральному статистическому наблюдению;
TiОО - численность педагогических работников списочного состава общеобразовательных организаций на конец года, предшествующего текущему финансовому году, в i-м субъекте Российской Федерации или г. Байконуре согласно федеральному статистическому наблюдению;
TiСПО - численность педагогических работников списочного состава профессиональных образовательных организаций на конец года, предшествующего текущему финансовому году, в i-м субъекте Российской Федерации или г. Байконуре согласно федеральному статистическому наблюдению;
TiДОД - численность педагогических работников списочного состава, осуществляющих образовательную деятельность по дополнительным общеобразовательным программам для детей на конец года, предшествующего текущему финансовому году, в i-м субъекте Российской Федерации или г. Байконуре согласно федеральному статистическому наблюдению;
з) подпунктами "к" и "н" пункта 2 настоящих Правил (Biпотр(кн)), расчет индекса осуществляется по формуле:
Biпотр(кн) = Biспо x Zi x Kдвфо,
Biпотр(кн) - индекс потребности i-го субъекта Российской Федерации или г. Байконура в субсидии в целях достижения результата использования субсидии;
Biспо - численность обучающихся по образовательным программам среднего профессионального образования в i-м субъекте Российской Федерации или г. Байконуре на начало учебного года, предшествующего текущему финансовому году, согласно федеральному статистическому наблюдению;
и) подпунктом "м" пункта 2 настоящих Правил (Biпотр(м)), расчет индекса осуществляется по формуле:
Biпотр(м) = Biшк x Zi x Kдвфо,
Biпотр(м) - индекс потребности i-го субъекта Российской Федерации или г. Байконура в субсидии в целях достижения результата использования субсидии;
Biшк - численность школ в i-м субъекте Российской Федерации или г. Байконуре в соответствующем финансовом году, согласно федеральному статистическому наблюдению.
12. Для расчета объема субсидии для бюджета i-го субъекта Российской Федерации и г. Байконура на соответствующий финансовый год значение результата использования субсидии по предусмотренным в подпунктах "а" - "г", "ж" - "к", "м" и "н" пункта 2 настоящих Правил результатам использования субсидии определяется посредством увеличения на 1 единицу значения результата использования субсидии каждому субъекту Российской Федерации и г. Байконуру последовательно по перечню, сформированному в соответствии с пунктом 11 настоящих Правил, начиная с нулевого значения.
Сумма значений результатов использования субсидии, указанных в подпунктах "а" - "г", "ж" - "к", "м" и "н" пункта 2 настоящих Правил, определенных для субъектов Российской Федерации и г. Байконура по годам их достижения, соответствует значениям результатов, указанным по соответствующим годам в соответствующем федеральном проекте.
В случае если сумма значений результатов использования субсидии согласно заявкам субъектов Российской Федерации или г. Байконура, указанных в перечне, превышает значения результата использования субсидии, указанные по соответствующим годам в соответствующем федеральном проекте, максимальное значение результата использования субсидии i-го субъекта Российской Федерации или г. Байконура уменьшается от значения, указанного в заявке i-го субъекта Российской Федерации или г. Байконура, пропорционально удельному весу суммы значений результатов использования субсидии субъектов Российской Федерации и г. Байконура, указанных в перечне, в сумме значений результата использования субсидии, указанных по соответствующим годам в соответствующем федеральном проекте, с округлением до ближайшего целого числа с учетом правил математического округления в большую сторону.
По достижении максимального значения результата использования субсидии на очередной финансовый год распределение объема субсидий осуществляется на плановый период до достижения максимального значения результата использования субсидии в первом году планового периода, а затем во втором году планового периода.
Значение результата использования субсидии, определенное для субъекта Российской Федерации и г. Байконура, не может превышать значение результата использования субсидии, указанное в заявке субъекта Российской Федерации или г. Байконура, прошедшего отбор в соответствии с критериями, указанными в пункте 7 настоящих Правил, а в случае, указанном в абзаце третьем настоящего пункта, - максимального значения результата использования субсидии для субъекта Российской Федерации и г. Байконура, уменьшенного в соответствии с порядком, указанным в абзаце третьем настоящего пункта.
13. Для расчета объема субсидии для бюджета i-го субъекта Российской Федерации и г. Байконура на соответствующий финансовый год определяется значение результата использования субсидии по предусмотренным в подпунктах "д" и "е" пункта 2 настоящих Правил результатам использования субсидии посредством присвоения значения результата, равного единице, каждому субъекту Российской Федерации и г. Байконуру последовательно по перечню, сформированному в соответствии с пунктом 11 настоящих Правил.
Число субъектов Российской Федерации и г. Байконур по годам достижения значений результата использования субсидии, указанного в подпунктах "д" и "е" пункта 2 настоящих Правил, соответствует значениям, указанным по соответствующим годам в соответствующем федеральном проекте.
По достижении максимального значения результата использования субсидии на очередной финансовый год распределение объема субсидий осуществляется на плановый период до достижения максимального значения в первом году планового периода, а затем во втором году планового периода.
14. При проведении отбора субъекта Российской Федерации и г. Байконура в соответствии с пунктами 7 и 8 настоящих Правил на очередной финансовый год и плановый период определение значений результата использования субсидии по предусмотренным в пункте 2 настоящих Правил результатам использования субсидии осуществляется в порядке, предусмотренном пунктами 11 - 13 настоящих Правил, с последнего года, в котором определены значения результата использования субсидии.
15. Предоставление субсидии осуществляется на основании соглашения, подготовленного (сформированного) с использованием государственной интегрированной информационной системы управления общественными финансами "Электронный бюджет" (далее - система "Электронный бюджет"), заключенного в соответствии с типовой формой соглашения, утвержденной Министерством финансов Российской Федерации:
между Министерством просвещения Российской Федерации и высшим исполнительным органом государственной власти субъекта Российской Федерации и администрацией г. Байконура - в целях достижения результатов использования субсидий, предусмотренных подпунктами "а" - "к", "м" и "н" пункта 2 настоящих Правил;
между Федеральным агентством по делам молодежи и высшим исполнительным органом государственной власти субъекта Российской Федерации и администрацией г. Байконура - в целях достижения результата использования субсидии, предусмотренного подпунктом "л" пункта 2 настоящих Правил.
В соглашении могут быть установлены различные уровни софинансирования расходных обязательств субъекта Российской Федерации и г. Байконура из федерального бюджета, обеспечивающих достижение разных результатов использования субсидии.
В случае изменения размера субсидии допускается внесение в соглашение изменений, предусматривающих корректировку промежуточных значений результатов использования субсидии, не влекущих ухудшения конечных значений целевых показателей региональных проектов и (или) конечных результатов их реализации. В соглашение могут быть внесены изменения в части значений целевых показателей без изменения размера субсидии, предусматривающих корректировку промежуточных значений результатов использования субсидии, направленные на увеличение конечных значений целевых показателей региональных проектов и (или) конечных результатов их реализации.
16. Оценка эффективности использования субсидии осуществляется Министерством просвещения Российской Федерации и Федеральным агентством по делам молодежи на основании сравнения установленных в соглашении и фактически достигнутых субъектом Российской Федерации и г. Байконуром значений результатов использования субсидии, указанных:
а) в подпункте "а" пункта 2 настоящих Правил, - количество центров образования естественно-научной и технологической направленностей в общеобразовательных организациях, расположенных в сельской местности и малых городах, для которых приобретены оборудование, расходные материалы, средства обучения и воспитания;
б) в подпункте "б" пункта 2 настоящих Правил, - количество организаций, осуществляющих образовательную деятельность исключительно по адаптированным основным общеобразовательным программам, для которых приобретены оборудование, расходные материалы, средства обучения и воспитания в целях обновления материально-технической базы;
в) в подпункте "в" пункта 2 настоящих Правил, - количество новых мест в образовательных организациях различных типов, для которых приобретены оборудование, расходные материалы, средства обучения и воспитания в целях реализации дополнительных общеразвивающих программ всех направленностей;
г) в подпункте "г" пункта 2 настоящих Правил, - количество созданных детских технопарков "Кванториум", для которых приобретены оборудование, расходные материалы, средства обучения и воспитания;
д) в подпункте "д" пункта 2 настоящих Правил, - создание регионального центра выявления, поддержки и развития способностей и талантов у детей и молодежи, для которого приобретены оборудование, расходные материалы, средства обучения и воспитания, сопутствующие работы (услуги);
е) в подпункте "е" пункта 2 настоящих Правил, - внедрение целевой модели развития региональных систем дополнительного образования детей;
ж) в подпункте "ж" пункта 2 настоящих Правил, - количество образовательных организаций, для которых приобретены оборудование, расходные материалы, средства обучения и воспитания для обеспечения образовательных организаций материально-технической базой для внедрения цифровой образовательной среды;
з) в подпункте "з" пункта 2 настоящих Правил, - количество созданных центров цифрового образования детей, для которых приобретены оборудование, расходные материалы, средства обучения и воспитания;
и) в подпункте "и" пункта 2 настоящих Правил, - сформирована единая федеральная система научно-методического сопровождения педагогических работников и управленческих кадров, для которых приобретены товары (работы, услуги), и обеспечено ее функционирование;
к) в подпункте "к" пункта 2 настоящих Правил, - количество созданных центров опережающей профессиональной подготовки, для которых приобретены товары (работы, услуги);
л) в подпункте "л" пункта 2 настоящих Правил, - количество реализованных лучших практик в сфере добровольчества (волонтерства), утвержденных решением Экспертной комиссии по оценке заявок на участие во Всероссийском конкурсе лучших региональных практик поддержки волонтерства "Регион добрых дел";
м) в подпункте "м" пункта 2 настоящих Правил, - количество образовательных организаций, оснащенных компьютерным, мультимедийным, презентационным оборудованием и программным обеспечением в рамках эксперимента по модернизации начального общего, основного общего и среднего общего образования;
н) в подпункте "н" пункта 2 настоящих Правил, - количество мастерских образовательных организаций, реализующих образовательные программы среднего профессионального образования, оснащенных оборудованием, средствами обучения, средствами вычислительной техники и лицензионного программного обеспечения, интерактивного и презентационного оборудования, мебелью.
17. Субсидии, от получения которых субъект Российской Федерации отказался полностью или частично до заключения соглашения или в период его действия, подлежат перераспределению на реализацию региональных программ в текущем году между другими субъектами Российской Федерации, достигнувшими результатов использования субсидии в соответствии с соглашением на последнюю отчетную дату, в соответствии с настоящими Правилами и статьей 7 Федерального закона от 28 ноября 2018 г. N 457-ФЗ "О внесении изменений в Бюджетный кодекс Российской Федерации и отдельные законодательные акты Российской Федерации".
18. Уполномоченные высшим исполнительным органом государственной власти субъекта Российской Федерации и администрацией г. Байконура органы исполнительной власти субъекта Российской Федерации и г. Байконура размещают в сроки, установленные соглашением, в системе "Электронный бюджет" отчет о расходах, в целях софинансирования которых предоставляется субсидия, а также отчет о достижении значений результатов использования субсидии.
19. Перечисление субсидии осуществляется в установленном порядке на единые счета бюджетов, открытые финансовым органам субъектов Российской Федерации в территориальных органах Федерального казначейства.
Перечисление субсидии бюджету г. Байконура осуществляется в установленном порядке на счет, открытый финансовому органу администрации г. Байконура.
20. В случае нарушения субъектом Российской Федерации и г. Байконуром обязательств по достижению значений результатов использования субсидии, установленных соглашением, и в случае неустранения указанных нарушений до первой даты представления отчетности о достижении значений результатов использования субсидии объем средств, подлежащий возврату из бюджета субъекта Российской Федерации и бюджета г. Байконура в федеральный бюджет, рассчитывается в порядке, установленном пунктами 16 - 18 Правил формирования, предоставления и распределения субсидий.
Освобождение субъектов Российской Федерации и г. Байконура от применения мер ответственности, предусмотренных пунктом 16 Правил формирования, предоставления и распределения субсидий, в том числе от возврата средств в доход федерального бюджета, осуществляется в соответствии с пунктом 20 Правил формирования, предоставления и распределения субсидий.
21. Контроль за соблюдением субъектом Российской Федерации и г. Байконуром условий предоставления субсидии осуществляется:
Министерством просвещения Российской Федерации, а также уполномоченными органами государственного финансового контроля - в целях достижения результатов использования субсидии, предусмотренных подпунктами "а" - "к", "м" и "н" пункта 2 настоящих Правил;
Федеральным агентством по делам молодежи, а также уполномоченными органами государственного финансового контроля - в целях достижения результатов использования субсидии, предусмотренных подпунктом "л" пункта 2 настоящих Правил.".
4. В приложении N 9 к указанной Программе:
а) подпункт "б" пункта 5 изложить в следующей редакции:
"б) наличие обязательства субъекта Российской Федерации по обеспечению создания новых мест в общеобразовательных организациях, расположенных в сельских населенных пунктах в соответствии с прогнозируемой потребностью и современными условиями обучения, включая их оснащение средствами обучения и воспитания, в соответствии с санитарно-эпидемиологическими требованиями, строительными и противопожарными нормами, федеральными государственными образовательными стандартами начального общего, основного общего и среднего общего образования, а также в соответствии с перечнем средств обучения и воспитания, соответствующих современным условиям обучения, необходимых при оснащении общеобразовательных организаций в целях реализации мероприятий по содействию созданию в субъектах Российской Федерации (исходя из прогнозируемой потребности) новых мест в общеобразовательных организациях. Указанный перечень, критерии его формирования и требования к функциональному оснащению, а также норматив стоимости оснащения одного места обучающегося средствами обучения и воспитания утверждаются Министерством просвещения Российской Федерации.";
б) абзац второй пункта 21 изложить в следующей редакции:
"Субсидии, от получения которых субъект Российской Федерации отказался полностью или частично до заключения соглашения или в период его действия, подлежат перераспределению на реализацию региональных программ в текущем году между другими субъектами Российской Федерации, достигнувшими результатов использования субсидии в соответствии с соглашением на последнюю отчетную дату, в соответствии с настоящими Правилами и статьей 7 Федерального закона от 28 ноября 2018 г. N 457-ФЗ "О внесении изменений в Бюджетный кодекс Российской Федерации и отдельные законодательные акты Российской Федерации".";
в) в пункте 30 после слов "бюджета субъекта Российской Федерации," дополнить словами "в целях софинансирования которых предоставляется субсидия,".
5. В приложении N 10 к указанной Программе:
а) пункт 6 изложить в следующей редакции:
"6. Критерием отбора субъекта Российской Федерации для предоставления субсидии является наличие обязательства субъекта Российской Федерации по обеспечению создания новых мест в общеобразовательных организациях в соответствии с санитарно-эпидемиологическими требованиями, строительными и противопожарными нормами, федеральными государственными образовательными стандартами общего образования, а также в соответствии с перечнем средств обучения и воспитания, соответствующих современным условиям обучения, необходимых при оснащении общеобразовательных организаций. Указанный перечень, критерии его формирования и требования к функциональному оснащению, а также норматив стоимости оснащения одного места обучающегося средствами обучения и воспитания утверждаются Министерством просвещения Российской Федерации;";
б) пункт 19 изложить в следующей редакции:
"19. Субсидии, от которых субъект Российской Федерации отказался полностью или частично до заключения соглашения или в период его действия, подлежат перераспределению на реализацию региональных программ в текущем году между другими субъектами Российской Федерации, достигнувшими результатов использования субсидии в соответствии с соглашением на последнюю отчетную дату, в соответствии с настоящими Правилами и статьей 7 Федерального закона от 28 ноября 2018 г. N 457-ФЗ "О внесении изменений в Бюджетный кодекс Российской Федерации и отдельные законодательные акты Российской Федерации".";
в) в пункте 20 после слов "бюджета субъекта Российской Федерации," дополнить словами "в целях софинансирования которых предоставляется субсидия,".
6. Пункт 19 приложения N 14(2) к указанной Программе изложить в следующей редакции:
"19. Субсидии, от получения которых субъект Российской Федерации отказался полностью или частично до заключения соглашения или в период его действия, подлежат перераспределению на реализацию региональных программ в текущем году между другими субъектами Российской Федерации, достигнувшими результатов использования субсидии в соответствии с соглашением на последнюю отчетную дату, в соответствии с настоящими Правилами и статьей 7 Федерального закона от 28 ноября 2018 г. N 457-ФЗ "О внесении изменений в Бюджетный кодекс Российской Федерации и отдельные законодательные акты Российской Федерации".".
7. В приложении N 20 к указанной Программе:
а) наименование после слов "Республики Ингушетия" дополнить словами ", Республики Тыва";
б) пункт 1 после слов "Республики Ингушетия" дополнить словами ", Республики Тыва";
в) подпункт "б" пункта 6 изложить в следующей редакции:
"б) наличие обязательства субъекта Российской Федерации по обеспечению создания новых мест в общеобразовательных организациях, расположенных в субъектах Российской Федерации в соответствии с прогнозируемой потребностью и современными условиями обучения, включая их оснащение средствами обучения и воспитания, в соответствии с санитарно-эпидемиологическими требованиями, строительными и противопожарными нормами, федеральными государственными образовательными стандартами начального общего, основного общего и среднего общего образования, а также в соответствии с перечнем средств обучения и воспитания, соответствующих современным условиям обучения и необходимых при оснащении общеобразовательных организаций. Указанный перечень, критерии его формирования и требования к функциональному оснащению, а также норматив стоимости оснащения одного места обучающегося средствами обучения и воспитания утверждаются Министерством просвещения Российской Федерации.";
г) пункт 17 изложить в следующей редакции:
"17. Стоимость строительства зданий (пристройки к зданию), приобретения (выкупа) зданий (пристройки к зданию) общеобразовательной организации без учета их оснащения немонтируемыми средствами обучения и воспитания, в отношении которых имеется положительное заключение государственной экспертизы проектной документации и результатов инженерных изысканий, выполненных для подготовки такой проектной документации (в случае если проведение такой экспертизы в соответствии с законодательством Российской Федерации является обязательным), и положительное заключение о достоверности сметной стоимости объекта строительства, определяется в соответствии со сметной стоимостью объекта строительства, в отношении которой получено положительное заключение государственной экспертизы по проверке достоверности определения сметной стоимости.
Стоимость строительства зданий (пристройки к зданию), приобретения (выкупа) зданий (пристройки к зданию) общеобразовательной организации без учета их оснащения немонтируемыми средствами обучения и воспитания (Zmij), в отношении которых отсутствует положительное заключение государственной экспертизы проектной документации и результатов инженерных изысканий, выполненных для подготовки такой проектной документации (в случае если проведение такой экспертизы в соответствии с законодательством Российской Федерации является обязательным), и положительное заключение о достоверности сметной стоимости объекта строительства, определяется по формуле:
Mij - количество новых мест в общеобразовательных организациях;
НЦСij - укрупненный сметный норматив цены строительства в расчете на одно место обучающегося, установленный Министерством строительства и жилищно-коммунального хозяйства Российской Федерации.";
д) дополнить пунктом 23(1) следующего содержания:
"23(1). Размер субсидии, предоставляемой бюджету i-го субъекта Российской Федерации на реализацию региональных программ (региональных проектов), не может превышать объем расходного обязательства субъекта Российской Федерации, в целях софинансирования которого предоставляется субсидия с учетом установленного предельного уровня софинансирования, и (или) сумму, указанную субъектом Российской Федерации в заявке.";
е) абзац первый пункта 24 изложить в следующей редакции:
"24. Субсидии, от получения которых субъект Российской Федерации отказался полностью или частично до заключения соглашения или в период его действия, подлежат перераспределению на реализацию региональных программ (региональных проектов) в текущем году между другими субъектами Российской Федерации, достигнувшими результатов использования субсидии в соответствии с соглашением на последнюю отчетную дату, в соответствии с настоящими Правилами и статьей 7 Федерального закона от 28 ноября 2018 г. N 457-ФЗ "О внесении изменений в Бюджетный кодекс Российской Федерации и отдельные законодательные акты Российской Федерации".";
ж) пункт 30 после слов "бюджета субъекта Российской Федерации," дополнить словами "в целях софинансирования которых предоставляется субсидия,".
8. Пункт 21 приложения N 22 к указанной Программе изложить в следующей редакции:
"21. Субсидии, от получения которых субъект Российской Федерации отказался полностью или частично до заключения соглашения или в период его действия, подлежат перераспределению на реализацию региональных программ в текущем году между другими субъектами Российской Федерации, достигнувшими результатов использования субсидии в соответствии с соглашением на последнюю отчетную дату, в соответствии с настоящими Правилами и статьей 7 Федерального закона от 28 ноября 2018 г. N 457-ФЗ "О внесении изменений в Бюджетный кодекс Российской Федерации и отдельные законодательные акты Российской Федерации".".
9. Пункт 1 приложения N 23 к указанной Программе изложить в следующей редакции:
"1. Настоящие Правила устанавливают цели, условия и порядок предоставления и распределения субсидий из федерального бюджета бюджетам субъектов Российской Федерации в целях софинансирования расходных обязательств субъектов Российской Федерации по осуществлению единовременных компенсационных выплат учителям, прибывшим (переехавшим) на работу в сельские населенные пункты, либо рабочие поселки, либо поселки городского типа, либо города с населением до 50 тыс. человек, в целях достижения показателей и результатов федерального проекта "Современная школа", входящего в состав национального проекта "Образование", в рамках государственной программы Российской Федерации "Развитие образования" (далее соответственно - единовременные компенсационные выплаты, учителя, субсидии).".
10. Абзац девятый пункта 15 приложения N 25 к указанной Программе изложить в следующей редакции:
"Субсидии, от получения которых субъект Российской Федерации отказался полностью или частично до заключения соглашения или в период его действия, подлежат перераспределению на реализацию региональных программ в текущем году между другими субъектами Российской Федерации, достигнувшими результатов использования субсидии в соответствии с соглашением на последнюю отчетную дату, в соответствии с настоящими Правилами и статьей 7 Федерального закона от 28 ноября 2018 г. N 457-ФЗ "О внесении изменений в Бюджетный кодекс Российской Федерации и отдельные законодательные акты Российской Федерации".".
11. В приложении N 27 к указанной Программе:
а) абзац третий подпункта "б" пункта 9 признать утратившим силу;
б) абзац первый пункта 12 изложить в следующей редакции:
"12. Соглашение заключается с использованием государственной интегрированной информационной системы управления общественными финансами "Электронный бюджет" в соответствии с типовой формой, утвержденной Министерством финансов Российской Федерации, на срок реализации проекта, но не более чем на 15 лет. Срок реализации проекта исчисляется с даты заключения соглашения.";
в) пункт 19 дополнить абзацами следующего содержания:
"При этом для муниципальных образований i-го субъекта Российской Федерации, граничащих друг с другом, предельное значение числа дополнительных мест одного муниципального образования по предложению i-го субъекта Российской Федерации может быть увеличено, но не более чем на предельное значение числа дополнительных мест граничащего с ним другого муниципального образования i-го субъекта Российской Федерации. В этом случае предельное значение числа дополнительных мест второго муниципального образования в целях расчета размера субсидии подлежит уменьшению на число дополнительных мест, на которое увеличено предельное значение числа дополнительных мест первого муниципального образования.
Если в заявке i-го субъекта Российской Федерации число дополнительных мест j-го объекта муниципального образования i-го субъекта Российской Федерации превышает предельное значение числа дополнительных мест, в целях создания которых софинансируются расходные обязательства субъекта Российской Федерации из федерального бюджета, для i-го субъекта Российской Федерации расчет размера субсидии производится исходя из предельного значения числа дополнительных мест для этого муниципального образования i-го субъекта Российской Федерации.";
г) пункты 20 и 21 признать утратившими силу;
д) в пункте 22:
подпункт "в" изложить в следующей редакции:
"в) положительное заключение государственной экспертизы проектной документации и результатов инженерных изысканий, выполненных для подготовки такой проектной документации, и положительное заключение о достоверности сметной стоимости создаваемых (реконструируемых) в результате реализации проекта объектов капитального строительства (при наличии);";
подпункт "г" после абзаца первого дополнить абзацем следующего содержания:
"предполагаемый размер субсидии на текущий финансовый год и прогнозный период согласно пунктам 26 - 32 настоящих Правил;";
подпункты "д" и "е" признать утратившими силу;
е) в пункте 35:
в абзаце первом цифры "100" заменить цифрой "0";
в абзаце втором слова "и выразили готовность к освоению перераспределенных средств" исключить.
12. Дополнить приложением N 32 следующего содержания:
к государственной программе
Российской Федерации
"Развитие образования"
ПРЕДОСТАВЛЕНИЯ СУБСИДИЙ ИЗ ФЕДЕРАЛЬНОГО БЮДЖЕТА БЮДЖЕТАМ
СУБЪЕКТОВ РОССИЙСКОЙ ФЕДЕРАЦИИ НА ОБЕСПЕЧЕНИЕ ОТДЫХА
И ОЗДОРОВЛЕНИЯ ДЕТЕЙ, ПРОЖИВАЮЩИХ В АРКТИЧЕСКОЙ ЗОНЕ
РОССИЙСКОЙ ФЕДЕРАЦИИ
1. Настоящие Правила устанавливают порядок, цели и условия предоставления субсидий из федерального бюджета бюджетам субъектов Российской Федерации, территории которых относятся к Арктической зоне Российской Федерации в соответствии с Федеральным законом "О государственной поддержке предпринимательской деятельности в Арктической зоне Российской Федерации" (далее - субъекты Российской Федерации), в целях софинансирования расходных обязательств субъектов Российской Федерации, возникающих при реализации мероприятий, связанных с отдыхом и оздоровлением детей, обучающихся с 5 по 8 класс по общеобразовательным программам и проживающих на территории субъектов Российской Федерации (далее - дети), в организациях отдыха детей и их оздоровления, расположенных на Черноморском побережье Краснодарского края, Республики Крым и г. Севастополя, на побережьях Азовского, Каспийского и Японского морей, а также в Республике Адыгея, на курортах Кавказских Минеральных Вод (далее - организации отдыха), предусматривающих оплату стоимости путевки в организации отдыха и проезда детей до места отдыха и обратно (далее - субсидии).
2. Субсидии предоставляются в пределах лимитов бюджетных обязательств, доведенных до Министерства Российской Федерации по развитию Дальнего Востока и Арктики как получателя средств федерального бюджета на предоставление субсидий на цели, указанные в пункте 1 настоящих Правил.
3. Софинансирование расходных обязательств субъектов Российской Федерации из федерального бюджета, указанных в пункте 1 настоящих Правил, производится исходя из обеспечения ежегодным отдыхом и оздоровлением детей, но не более одного раза в течение одного года на ребенка.
4. Порядок оплаты путевок и стоимости проезда детей в организации отдыха и обратно устанавливаются субъектами Российской Федерации.
5. Расходы по оплате стоимости проезда детей в организации отдыха и обратно рассчитываются по следующим нормативам:
воздушным транспортом - по тарифу экономического класса;
морским и речным транспортом - по тарифам, устанавливаемым перевозчиком, но не выше стоимости проезда в четырехместной каюте;
железнодорожным транспортом - в вагоне экономического класса.
Расходы по проезду до станции, пристани, аэропорта осуществляются по тарифам экономического класса.
6. Размещение детей предусматривается в организациях отдыха (сезонного или круглогодичного действия), включенных в реестры организаций отдыха детей и их оздоровления в субъектах Российской Федерации, осуществляющих деятельность на объектах стационарного действия с круглосуточным пребыванием детей и обеспечением питания в течение лагерной смены.
7. Определение количества детей, нуждающихся в отдыхе и оздоровлении, начиная с 2023 года осуществляется на основании информации, представленной высшим исполнительным органом государственной власти субъекта Российской Федерации (или лицом, исполняющим его обязанности) по состоянию на 1 сентября года, предшествующего году предоставления субсидии.
В 2022 году количество детей, нуждающихся в отдыхе и оздоровлении, определено в соответствии с информацией, представленной органом исполнительной власти субъекта Российской Федерации, уполномоченным высшим исполнительным органом государственной власти субъекта Российской Федерации, по состоянию на июль 2021 г.
8. Длительность путевки составляет не менее 7 дней и не более 21 дня.
9. Условиями предоставления субсидий являются:
а) наличие в бюджете субъекта Российской Федерации бюджетных ассигнований на исполнение расходных обязательств субъекта Российской Федерации, софинансирование которых осуществляется из федерального бюджета, в объеме, необходимом для его исполнения;
б) наличие правовых актов субъекта Российской Федерации, утверждающих перечень мероприятий, при реализации которых возникают расходные обязательства субъекта Российской Федерации, в целях софинансирования которых предоставляется субсидия;
в) заключение соглашения в соответствии с пунктом 10 Правил формирования, предоставления и распределения субсидий из федерального бюджета бюджетам субъектов Российской Федерации, утвержденных постановлением Правительства Российской Федерации от 30 сентября 2014 г. N 999 "О формировании, предоставлении и распределении субсидий из федерального бюджета бюджетам субъектов Российской Федерации" (далее - Правила формирования, предоставления и распределения субсидий).
10. Критерием отбора субъектов Российской Федерации для предоставления субсидии является наличие потребности субъекта Российской Федерации в обеспечении организации отдыха и оздоровления детей.
11. Размер субсидии, предоставляемой бюджету i-го субъекта Российской Федерации (Vi), определяется по формуле:
Vобщ. - общий объем бюджетных ассигнований, предусмотренных в федеральном бюджете на предоставление субсидии на соответствующий финансовый год;
Qi - количество детей, проживающих в i-ом субъекте Российской Федерации, определенное в соответствии с пунктом 7 настоящих Правил;
Yi - предельный уровень софинансирования расходного обязательства i-го субъекта Российской Федерации из федерального бюджета на очередной финансовый год (в процентах), определенный в соответствии с пунктом 13 Правил формирования, предоставления и распределения субсидий;
n - количество субъектов Российской Федерации - получателей субсидии.
12. Результатом использования субсидии является количество детей, направленных на отдых и оздоровление.
13. Оценка эффективности использования субсидии осуществляется Министерством Российской Федерации по развитию Дальнего Востока и Арктики на основании сравнения достигнутого значения результата использования субсидии и планируемого значения такого результата, установленного соглашением, - количества детей, направленных на отдых и оздоровление.
14. Перечисление субсидии осуществляется в установленном порядке на единые счета бюджетов, открытые финансовым органам субъектов Российской Федерации, в территориальных органах Федерального казначейства.
15. Предоставление субсидии осуществляется на основании соглашения между Министерством Российской Федерации по развитию Дальнего Востока и Арктики и высшим исполнительным органом государственной власти субъекта Российской Федерации, заключенного с использованием государственной интегрированной информационной системы управления общественными финансами "Электронный бюджет" по типовой форме, утвержденной Министерством финансов Российской Федерации.
16. В целях достижения результата использования субсидии может быть предусмотрено предоставление межбюджетных трансфертов из бюджета субъекта Российской Федерации местным бюджетам.
17. Высшие исполнительные органы государственной власти субъектов Российской Федерации представляют в Министерство Российской Федерации по развитию Дальнего Востока и Арктики отчет о достижении значений результата использования субсидии и отчет об осуществлении расходов бюджета субъекта Российской Федерации, в целях софинансирования которых предоставляется субсидия, подписанные руководителем высшего исполнительного органа государственной власти субъекта Российской Федерации, в порядке и сроки, установленные соглашением.
18. В случае если субъектом Российской Федерации допущены нарушения обязательств по достижению значений результата использования субсидии, предусмотренных соглашением в соответствии с подпунктом б(1) пункта 10 Правил формирования, предоставления и распределения субсидий, ответственность за недостижение результатов использования субсидии возлагается на руководителя высшего исполнительного органа государственной власти субъекта Российской Федерации.
19. Порядок и условия возврата средств из бюджета субъекта Российской Федерации в федеральный бюджет в случае нарушения субъектом Российской Федерации обязательств, предусмотренных соглашением, установлены пунктами 16 - 18 Правил формирования, предоставления и распределения субсидий.
20. В случае нарушения субъектами Российской Федерации целей, установленных при предоставлении субсидии, применяются бюджетные меры принуждения в соответствии с бюджетным законодательством Российской Федерации.
21. Основанием для освобождения субъектов Российской Федерации от применения мер ответственности, предусмотренных пунктом 19 настоящих Правил, является документально подтвержденное наступление следующих обстоятельств непреодолимой силы, препятствующих исполнению соответствующих обязательств:
а) установление регионального (межмуниципального) и (или) местного уровня реагирования на чрезвычайную ситуацию, подтвержденное правовым актом органа государственной власти субъекта Российской Федерации и (или) органа местного самоуправления;
б) установление карантина и (или) иных ограничений, направленных на предотвращение распространения и ликвидацию очагов заразных и иных болезней животных, подтвержденное правовым актом органа государственной власти субъекта Российской Федерации;
в) аномальные погодные условия на территории субъектов Российской Федерации или на Черноморском побережье Краснодарского края, Республики Крым и г. Севастополя, на побережьях Азовского, Каспийского и Японского морей, а также в Республике Адыгея, курортах Кавказских Минеральных Вод, подтвержденные справкой территориального органа Федеральной службы по гидрометеорологии и мониторингу окружающей среды.
22. Контроль за соблюдением субъектами Российской Федерации условий предоставления субсидий осуществляется Министерством Российской Федерации по развитию Дальнего Востока и Арктики и уполномоченными органами государственного финансового контроля.".
- Гражданский кодекс (ГК РФ)
- Жилищный кодекс (ЖК РФ)
- Налоговый кодекс (НК РФ)
- Трудовой кодекс (ТК РФ)
- Уголовный кодекс (УК РФ)
- Бюджетный кодекс (БК РФ)
- Арбитражный процессуальный кодекс
- Конституция РФ
- Земельный кодекс (ЗК РФ)
- Лесной кодекс (ЛК РФ)
- Семейный кодекс (СК РФ)
- Уголовно-исполнительный кодекс
- Уголовно-процессуальный кодекс
- Производственный календарь на 2025 год
- МРОТ 2026
- ФЗ «О банкротстве»
- О защите прав потребителей (ЗОЗПП)
- Об исполнительном производстве
- О персональных данных
- О налогах на имущество физических лиц
- О средствах массовой информации
- Производственный календарь на 2026 год
- Федеральный закон "О полиции" N 3-ФЗ
- Расходы организации ПБУ 10/99
- Минимальный размер оплаты труда (МРОТ)
- Календарь бухгалтера на 2026 год
- Частичная мобилизация: обзор новостей
- Постановление Правительства РФ N 1875




















