8.2. Расчет индивидуальных и сводных индексов потребительских цен
49. Этапы расчета индекса потребительских цен.
Расчет ИПЦ на региональном и федеральном уровнях производится на основе единых методологических принципов и осуществляется в несколько этапов:
формирование весов для расчета ИПЦ на уровне субъекта Российской Федерации, федерального округа, России в целом;
расчет индивидуальных индексов цен на товар (услугу)-представитель на уровне города;
расчет агрегатных индексов на товар (услугу)-представитель на уровне субъекта Российской Федерации, федерального округа, России в целом;
расчет групповых и сводных индексов потребительских цен на уровне субъекта Российской Федерации, федерального округа, России в целом.
50. Расчет индивидуальных и сводных индексов потребительских цен по субъекту Российской Федерации.
Расчет индивидуальных индексов потребительских цен на товар (услугу)-представитель осуществляется на уровне городов, в которых организована регистрация потребительских цен.
Условием расчета этих показателей является полная сопоставимость ценовой информации в отчетном и базисном периодах. В расчет включается информация о ценах, зарегистрированных в двух смежных периодах в одной и той же организации торговли (сферы услуг) на один и тот же товар (услугу) с конкретными потребительскими свойствами, что позволяет исключить влияние структурных и ассортиментных сдвигов.
На первом этапе осуществляется расчет изменений цен (ценовых котировок), который определяется как отношение цены на товар (услугу) с конкретными потребительскими свойствами в отчетном периоде к цене в предыдущем периоде.
ic,t/t-1 = pc,t / pc,t-1 * 100, (21)
ic,t/t-1 - изменение цен на товар (услугу) с конкретными потребительскими свойствами (c) в отчетном периоде (t) по сравнению с предыдущим периодом (t-1);
pc - сопоставимая ценовая котировка;
c - товар с конкретными потребительскими свойствами;
На втором этапе, на уровне города определяется индивидуальный индекс цен на отдельный товар (услугу)-представитель по формуле Джевонса, как невзвешенное среднее геометрическое соотношений ценовых котировок на один и тот же товар (услугу) в двух смежных периодах.
Формула средней геометрической для определения индивидуальных индексов потребительских цен на товар (услугу)-представитель в городе (уровень элементарных агрегатов) имеет следующий вид:
Igj,t/t-1 = П(pcj,t / pcj,t-1 * 100)1/n = П(icj,t/t-1)1/n, (22)
Igj,t/t-1 - индекс цен (тарифов) на j-й товар (услугу)-представитель в g-м городе в отчетном месяце по сравнению с предыдущим месяцем;
icj,t/t-1 - изменения цен на товары (услуги) с конкретными потребительскими свойствами, зарегистрированных в различных организациях торговли (сферы услуг) города (ценовые котировки);
pcj - сопоставимая ценовая котировка на j товар (услугу)-представитель;
j - товар (услуга)-представитель;
c - товар с конкретными потребительскими свойствами;
n - количество ценовых котировок.
При расчете индивидуальных индексов цен должно соблюдаться условие одинакового количества сопоставимых ценовых котировок на товар (услугу)-представитель в городе в течение отчетного года. При несоблюдении этого правила будет нарушен принцип сопоставимости количества ценовых котировок.
На базе индивидуальных индексов цен на товары (услуги)-представители в отдельных городах и территориальных весов (долей численности населения) определяются агрегатные индексы цен на отдельные товары (услуги)-представители в целом по субъекту Российской Федерации.
Расчет осуществляется по формуле:
- индекс цен (тарифов) на j-й товар (услугу)-представитель по субъекту Российской Федерации r в январе отчетного года по сравнению с декабрем предыдущего года;
Irj,t/t-1 - индекс цен (тарифов) на j-й товар (услугу)-представитель в субъекту Российской Федерации r в отчетном месяце по сравнению с предыдущим месяцем;
- индекс цен (тарифов) на j-й товар (услугу)-представитель в городе g в январе отчетного года по сравнению с декабрем предыдущего года;
Igj,t/t-1 - индекс цен (тарифов) на j-й товар (услугу)-представитель в городе g в отчетном месяце по сравнению с предыдущим месяцем;
dg0 - доля численности населения города g в общей численности населения субъекта Российской Федерации r в базисном периоде;
- средняя цена (тариф) на j-й товар (услугу)-представитель в городе g в декабре предыдущего года;
- средняя цена (тариф) на j-й товар (услугу)-представитель в городе g в предыдущем месяце;
j - товар (услуга)-представитель;
r - субъект Российской Федерации;
t0 - декабрь предыдущего года.
Исходя из агрегатных индексов цен на отдельные виды товаров и услуг по субъекту Российской Федерации и доли расходов на их приобретение в общих потребительских расходах домашних хозяйств, определяются сводные индексы цен по отдельным подгруппам товаров и услуг, по укрупненным группам (например, продовольственные, непродовольственные товары и услуги), а также ИПЦ в целом по субъекту Российской Федерации.
Расчет ИПЦ к предыдущему месяцу осуществляется в соответствии с модифицированной формулой Ласпейреса: для января
(в ред. Приказа Росстата от 29.12.2025 N 764)
(см. текст в предыдущей редакции)
- сводный индекс потребительских цен и тарифов по группе товаров (услуг) по субъекту Российской Федерации r в январе отчетного года по сравнению с декабрем предыдущего года;
Irt/t-1 - сводный индекс потребительских цен и тарифов по группе товаров (услуг) по субъекту Российской Федерации r в отчетном месяце по сравнению с предыдущим месяцем;
prj,t0qrj,t0 - потребительские расходы на приобретение j-го товара (услуги)-представителя в базисном периоде;
prj,t-1qrj,t0 - потребительские расходы населения на приобретение j-го товара (услуги)-представителя населения по субъекту Российской Федерации r в базисном периоде в ценах предыдущего месяца;
- индекс цен (тарифов) на j-й товар (услугу)-представитель населения по субъекту Российской Федерации r в январе отчетного года по сравнению с декабрем предыдущего года;
Irj,t/t-1 - индекс цен (тарифов) на j-й товар (услугу)-представитель населения по субъекту Российской Федерации r в отчетном месяце по сравнению с предыдущим месяцем;
j - товар (услуга)-представитель;
l - количество товаров (услуг)-представителей;
r - субъект Российской Федерации;
t0 - декабрь предыдущего года.
51. Расчет индивидуальных и сводных индексов потребительских цен по Российской Федерации (федеральному округу).
Расчет индексов цен на товар (услугу)-представитель по Российской Федерации (федеральному округу) осуществляется по формуле:
(в ред. Приказа Росстата от 29.12.2025 N 764)
(см. текст в предыдущей редакции)
- индекс цен (тарифов) на j-й товар (услугу)-представитель по Российской Федерации (федеральному округу) в январе по сравнению с декабрем предыдущего года;
Ifj,t/t-1 - индекс цен (тарифов) на j-й товар (услугу)-представитель по Российской Федерации (федеральному округу) в отчетном месяце по сравнению с предыдущим месяцем;
prj,t0qrj,t0 - потребительские расходы субъекта Российской Федерации r на j-й товар (услугу)-представитель в базисном периоде (базисные потребительские расходы);
prj,t-1qrj,t0 - базисные потребительские расходы субъекта Российской Федерации r на j-й товар (услугу)-представитель в ценах предыдущего месяца;
- индекс цен (тарифов) на j-й товар (услугу)-представитель в субъекте Российской Федерации r в январе отчетного года по сравнению с декабрем предыдущего года;
- индекс цен (тарифов) на j-й товар (услугу)-представитель в субъекте Российской Федерации r в отчетном месяце по сравнению с предыдущим месяцем;
(в ред. Приказа Росстата от 29.12.2025 N 764)
(см. текст в предыдущей редакции)
j - товар (услуга)-представитель;
f - Российская Федерация (федеральный округ);
r - субъект Российской Федерации;
k - количество субъектов Российской Федерации (субъектов, входящих в состав федерального округа);
t0 - декабрь предыдущего года.
Исходя из агрегатных индексов цен на отдельные виды товаров и услуг по федеральному округу и Российской Федерации и расходов на их приобретение в общих потребительских расходах домашних хозяйств, определяются сводные индексы цен по отдельным подгруппам товаров и услуг, по укрупненным группам (например, продовольственные товары, непродовольственные товары и услуги), ИПЦ в целом по федеральному округу и Российской Федерации.
Расчет ИПЦ к предыдущему месяцу осуществляется в соответствии с модифицированной формулой Ласпейреса:
- сводный индекс потребительских цен и тарифов по группе товаров (услуг) по Российской Федерации (федеральному округу) в январе отчетного года по сравнению с декабрем предыдущего года;
Ift/t-1 - сводный индекс потребительских цен и тарифов по группе товаров (услуг) по Российской Федерации (федеральному округу) в отчетном месяце по сравнению с предыдущим месяцем;
pfj,t0qfj,t0 - потребительские расходы населения на j-й товар (услугу)-представитель по Российской Федерации (федеральному округу) в базисном периоде (базисные расходы);
pfj,t-1qfj,t0 - базисные потребительские расходы населения на j-й товар (услугу)-представитель по Российской Федерации (федеральному округу) в ценах предыдущего месяца;
- индекс цен (тарифов) на j-й товар (услугу)-представитель по Российской Федерации (федеральному округу) в январе отчетного года по сравнению с декабрем предыдущего года;
Ifj,t/t-1 - индекс цен (тарифов) на j-й товар (услугу)-представитель по Российской Федерации (федеральному округу) в отчетном месяце по сравнению с предыдущим месяцем;
f - Российская Федерация (федеральный округ);
r - субъект Российской Федерации;
j - товар (услуга)-представитель;
l - количество товаров (услуг)-представителей;
t0 - декабрь предыдущего года.
52. Расчет индексов потребительских цен к различным базисным периодам.
Ежемесячно помимо индекса цен к предыдущему месяцу исчисляются также индексы цен к декабрю предыдущего года, к соответствующему месяцу предыдущего года, за период с начала года к соответствующему периоду предыдущего года.
Для расчета указанных индексов используются следующие формулы:
- индекс цен и тарифов по виду (группе) товаров (услуг)-представителей отчетного месяца к декабрю предыдущего года;
- индекс цен и тарифов по виду (группе) товаров (услуг)-представителей предыдущего месяца к декабрю предыдущего года;
It/t-1 - индекс цен и тарифов по виду (группе) товаров (услуг)-представителей отчетного месяца к предыдущему месяцу;
t0 - декабрь предыдущего года.
к соответствующему месяцу предыдущего года:
- индекс цен декабря предыдущего года к декабрю года, предшествующего предыдущему;
- индекс цен отчетного месяца отчетного года к декабрю предыдущего года;
- индекс цен соответствующего месяца предыдущего года к декабрю года, предшествующего предыдущему;
T - 2 - год, предшествующий предыдущему.
за период с начала года к соответствующему периоду предыдущего года:
- индекс цен месяца (t) текущего года к декабрю года, предшествующего предыдущему;
- индекс цен месяца (t) предыдущего года к декабрю года, предшествующего предыдущему;
n - число месяцев (периодов) с начала года.
Ежеквартально определяются индексы цен на конец квартала к концу предыдущего квартала, квартал к предыдущему кварталу, квартал к IV кварталу предыдущего года, квартал к соответствующему кварталу предыдущего года.
Для расчета указанных индексов используются следующие формулы:
на конец квартала к концу предыдущего квартала:
IKtT = It/t-1 x It-1/t-2 / 100 x It-2/t-3 / 100, (34)
It/t-1 - индекс цен последнего месяца отчетного квартала к предыдущему месяцу;
It-1/t-2 - индекс цен предыдущего месяца (среднего месяца отчетного квартала) к месяцу, предшествующему предыдущему (первым месяцем отчетного квартала);
It-2/t-3 - индекс цен первого месяца отчетного квартала к последнему месяцу предыдущего квартала;
t - отчетный месяц (последний месяц отчетного квартала);
t - 1 - предыдущий месяц (средний месяц отчетного квартала);
t - 2 - месяц, предшествующий предыдущему (первый месяц отчетного квартала);
t - 3 - последний месяц квартала, предшествующего отчетному.
квартал к предыдущему кварталу:
- индекс цен третьего месяца отчетного квартала к декабрю года, предшествующего предыдущему;
- индекс цен второго месяца отчетного квартала к декабрю года, предшествующего предыдущему;
- индекс цен первого месяца отчетного квартала к декабрю года, предшествующего предыдущему;
- индекс цен третьего месяца предыдущего квартала к декабрю года, предшествующего предыдущему;
- индекс цен второго месяца предыдущего квартала к декабрю года, предшествующего предыдущему;
- индекс цен первого месяца предыдущего квартала к декабрю года, предшествующего предыдущему.
квартал к IV кварталу предыдущего года:
IK/IVK,T-1 = IK-1,T/IVK,T-1 * IK,T/K-1,T / 100, (36)
IK/IVK,T-1 - индекс цен отчетного квартала к IV кварталу предыдущего года;
IK-1,T/IVK,T-1 - индекс цен предыдущего квартала отчетного года к IV кварталу предыдущего года;
IK,T/K-1,T - индекс цен отчетного квартала к предыдущему кварталу отчетного года.
квартал к соответствующему кварталу предыдущего года:
- индекс цен третьего месяца отчетного квартала к декабрю года, предшествующего предыдущему;
- индекс цен второго месяца отчетного квартала к декабрю года, предшествующего предыдущему;
- индекс цен первого месяца отчетного квартала к декабрю года, предшествующего предыдущему;
- индекс цен третьего месяца соответствующего квартала предыдущего года к декабрю года, предшествующего предыдущему;
- индекс цен второго месяца соответствующего квартала предыдущего года к декабрю года, предшествующего предыдущему;
- индекс цен первого месяца соответствующего квартала предыдущего года к декабрю года, предшествующего предыдущему.
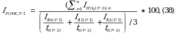
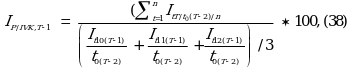
Также рассчитывается индекс цен средний за период отчетного года (полугодие, 9 месяцев, год) к IV кварталу предыдущего года:
(в ред. Приказа Росстата от 22.07.2022 N 512)
(см. текст в предыдущей редакции)
(в ред. Приказа Росстата от 22.07.2022 N 512)
(см. текст в предыдущей редакции)
IP/IVK,T-1 - индекс цен за период отчетного года (полугодие, 9 месяцев, год) к IV кварталу предыдущего года;
(в ред. Приказа Росстата от 22.07.2022 N 512)
(см. текст в предыдущей редакции)
- индекс цен за месяц отчетного года к декабрю года, предшествующего предыдущему;
(в ред. Приказа Росстата от 22.07.2022 N 512)
(см. текст в предыдущей редакции)
- индекс цен октября предыдущего года к декабрю года, предшествующего предыдущему;
(в ред. Приказа Росстата от 22.07.2022 N 512)
(см. текст в предыдущей редакции)
- индекс цен октября предыдущего года к декабрю года, предшествующего предыдущему;
(в ред. Приказа Росстата от 22.07.2022 N 512)
(см. текст в предыдущей редакции)
- индекс цен ноября предыдущего года к декабрю года, предшествующего предыдущему;
(в ред. Приказа Росстата от 22.07.2022 N 512)
(см. текст в предыдущей редакции)
- индекс цен декабря предыдущего года к декабрю года, предшествующего предыдущему;
(в ред. Приказа Росстата от 22.07.2022 N 512)
(см. текст в предыдущей редакции)
n - количество месяцев в периоде (для полугодия - 6, для 9 месяцев - 9, для года - 12).
(в ред. Приказа Росстата от 22.07.2022 N 512)
(см. текст в предыдущей редакции)
Индекс цен за отчетный квартал отчетного года к предыдущему году:
(абзац введен Приказом Росстата от 29.12.2025 N 764)
(абзац введен Приказом Росстата от 29.12.2025 N 764)
(абзац введен Приказом Росстата от 29.12.2025 N 764)
IKT/(T-1) - индекс цен за отчетный квартал отчетного года к предыдущему году, процентов;
(абзац введен Приказом Росстата от 29.12.2025 N 764)
ItT/t0(T-2) - индекс цен за последний месяц отчетного квартала к декабрю года, предшествующего предыдущему, процентов;
(абзац введен Приказом Росстата от 29.12.2025 N 764)
I(t-1)T/t0(T-2) - индекс цен за средний месяц отчетного квартала к декабрю года, предшествующего предыдущему, процентов;
(абзац введен Приказом Росстата от 29.12.2025 N 764)
I(t-2)T/t0(T-2) - индекс цен за первый месяц отчетного квартала к декабрю года, предшествующего предыдущему, процентов;
(абзац введен Приказом Росстата от 29.12.2025 N 764)
It(T-1)/t0(T-2) - индекс цен за месяц предыдущего года к декабрю года, предшествующего предыдущему, процентов.
(абзац введен Приказом Росстата от 29.12.2025 N 764)
По окончании отчетного года рассчитываются индексы цен за каждый квартал отчетного года к отчетному году:
(абзац введен Приказом Росстата от 29.12.2025 N 764)
(абзац введен Приказом Росстата от 29.12.2025 N 764)
(абзац введен Приказом Росстата от 29.12.2025 N 764)
IKT/T - индекс цен за квартал отчетного года к отчетному году, процентов;
(абзац введен Приказом Росстата от 29.12.2025 N 764)
ItT/t0(T-1) - индекс цен за последний месяц квартала отчетного года к декабрю предыдущего года, процентов;
(абзац введен Приказом Росстата от 29.12.2025 N 764)
I(t-1)T/t0(T-1) - индекс цен за средний месяц квартала отчетного года к декабрю предыдущего года, процентов;
(абзац введен Приказом Росстата от 29.12.2025 N 764)
I(t-2)T/t0(T-1) - индекс цен за первый месяц квартала отчетного года к декабрю предыдущего года, процентов;
(абзац введен Приказом Росстата от 29.12.2025 N 764)
ItT/t0(T-1) - индекс цен за месяц отчетного года к декабрю предыдущего года, процентов.
(абзац введен Приказом Росстата от 29.12.2025 N 764)
53. Базовый индекс потребительских цен.
Для целей экономического анализа используется базовый индекс потребительских цен (далее - БИПЦ).
БИПЦ - показатель, исключающий краткосрочные неравномерные изменения цен под влиянием отдельных факторов, которые носят административный или сезонный характер.
Целью расчета базового индекса потребительских цен является выявление наиболее устойчивой динамики цен, не подверженной воздействиям шоков предложения и спроса, сезонного фактора, а также административному воздействию федеральных и региональных органов власти на процессы ценообразования.
Исчисление базового индекса потребительских цен осуществляется в рамках федерального статистического наблюдения за уровнем и динамикой потребительских цен на основании набора товаров и услуг, используемого для расчета сводного ИПЦ.
БИПЦ является одной из составляющих индекса потребительских цен.
Основным подходом к исчислению базового индекса потребительских цен является исключение из расчета индекса потребительских цен изменения цен на отдельные входящие в него виды товаров и услуг, подверженные существенным колебаниям цен, не связанным с общим уровнем инфляции. При этом основным принципиальным условием расчета базового индекса потребительских цен является разработка постоянного перечня товаров и услуг, влияние изменения цен на которые ежемесячно исключается из официального индекса потребительских цен.
Перечень товаров и услуг остается неизменным в течение длительного времени (не менее года). Актуализация набора осуществляется с учетом изменений, вносимых в набор товаров и услуг, принятый для наблюдения за потребительскими ценами.
При определении перечня товаров и услуг, входящих в расчет БИПЦ, используются следующие подходы:
из общего перечня продовольственных товаров исключается в первую очередь плодоовощная продукция, так как колебания цен на нее имеют ярко выраженный сезонный характер и в течение всего года существенно влияют на индекс потребительских цен (ИПЦ) как в сторону его понижения, так и повышения. Кроме того, исключаются отдельные виды алкогольных напитков, формирование цен на которые регулируется на государственном уровне как в форме размера акциза, так и установленной минимальной цены;
из группы непродовольственных товаров в расчет базового индекса потребительских цен не включается топливо (бензин, газовое моторное топливо, дизельное топливо), так как динамика цен на его отдельные виды, помимо сезонного фактора, подвержена административному воздействию федеральных и региональных органов власти;
из группы услуг исключаются те виды, формирование цен на которые осуществляется, как правило, на федеральном или региональном уровнях по решению соответствующих органов власти (отдельные услуги пассажирского транспорта, услуги связи, практически все виды жилищно-коммунальных услуг, отдельные виды услуг правового характера и банков).
Исчисление базового индекса потребительских цен, как и расчет всей системы индексов потребительских цен, осуществляется по России в целом, федеральным округам, а также субъектам Российской Федерации по формулам, используемым для расчета ИПЦ.
54. Расчет еженедельной оценки индекса потребительских цен по Российской Федерации.
Расчет оценки ИПЦ осуществляется только по Российской Федерации по сокращенному перечню товаров (услуг)-представителей аналогично индексу потребительских цен в соответствии с модифицированной формулой Ласпейреса.
Для расчета оценки ИПЦ по Российской Федерации в качестве весов используются объемы потребления по субъектам Российской Федерации и структура потребительских расходов населения для расчета ежемесячных индексов потребительских цен.
Для расчета оценки ИПЦ применяется векторно-кластерная модель, предусматривающая распределение товаров и услуг из ежемесячного набора для наблюдения за ценами по группам (кластерам) со схожей динамикой цен. Каждая группа (кластер) должна включать как минимум один товар (услугу)-представитель из еженедельного наблюдения. Таким образом, среднее значение изменения цен на наблюдаемые еженедельно виды товаров и услуг интерполируется на динамику цен ненаблюдаемых еженедельно товаров, объединенных в одну группу (кластер).
Поскольку в еженедельном наблюдении участвует ограниченное количество видов товаров и услуг для расчета оценки ИПЦ осуществляется дооценка изменения цен на ненаблюдаемые еженедельно товары и услуги.
При этом учитывается воздействие различных факторов, влияющих на формирование потребительской цены. В частности, учитывается влияние административной и событийной составляющих. В этих целях используются информация, содержащаяся в принятых законодательных и нормативных актах органов власти, ведомств и организаций различного уровня, опубликованные данные о мероприятиях, проводимых субъектами естественных монополий, о курсе российского рубля по отношению к иностранным валютам и т.п. Осуществляется анализ затратной и сезонной составляющих. С этой целью используется информация об индексах цен производителей за предыдущий период и исторических данных статистики потребительских цен, а также других направлений статистики.
Помимо формирования оценки ИПЦ на товары и услуги по Российской Федерации на отчетную дату к предыдущей дате регистрации цен (за неделю), осуществляется расчет оценки ИПЦ к предыдущему месяцу (или с начала месяца), к декабрю предыдущего года (или с начала года), а также расчет среднесуточного прироста цен за период с начала месяца.
(абзац введен Приказом Росстата от 29.12.2025 N 764)
Оценка ИПЦ на отчетную дату отчетного месяца к предыдущему месяцу рассчитывается по формуле:
(абзац введен Приказом Росстата от 29.12.2025 N 764)
для первой даты регистрации цен отчетного месяца отчетного года
(абзац введен Приказом Росстата от 29.12.2025 N 764)
(абзац введен Приказом Росстата от 29.12.2025 N 764)
(абзац введен Приказом Росстата от 29.12.2025 N 764)
- еженедельная оценка ИПЦ на отчетную дату первой недели отчетного месяца к предыдущему месяцу, процентов;
(абзац введен Приказом Росстата от 29.12.2025 N 764)
- еженедельная оценка ИПЦ на отчетную дату первой недели отчетного месяца к предыдущей дате регистрации цен (последней отчетной дате предыдущего месяца), процентов;
(абзац введен Приказом Росстата от 29.12.2025 N 764)
p - количество дней между отчетной датой и предыдущей датой регистрации цен (семь дней, за исключением случаев сдвига между регистрациями цен в периоды праздников);
(абзац введен Приказом Росстата от 29.12.2025 N 764)
s - количество дней с начала месяца до отчетной даты первой недели месяца;
(абзац введен Приказом Росстата от 29.12.2025 N 764)
для последующих дат регистрации цен отчетного месяца отчетного года
(абзац введен Приказом Росстата от 29.12.2025 N 764)
(абзац введен Приказом Росстата от 29.12.2025 N 764)
(абзац введен Приказом Росстата от 29.12.2025 N 764)
Id,tT/(t-1)T - еженедельная оценка ИПЦ на отчетную дату отчетного месяца к предыдущему месяцу, процентов;
(абзац введен Приказом Росстата от 29.12.2025 N 764)
I(d-1),tT/(t-1)T - еженедельная оценка ИПЦ на предыдущую дату отчетного месяца к предыдущему месяцу, процентов;
(абзац введен Приказом Росстата от 29.12.2025 N 764)
Id,tT/(d-1),tT - еженедельная оценка ИПЦ на отчетную дату отчетного месяца к предыдущей дате регистрации цен отчетного месяца, процентов.
(абзац введен Приказом Росстата от 29.12.2025 N 764)
Оценка ИПЦ на отчетную дату отчетного месяца отчетного года к декабрю предыдущего года рассчитывается по формуле:
(абзац введен Приказом Росстата от 29.12.2025 N 764)
(абзац введен Приказом Росстата от 29.12.2025 N 764)
(абзац введен Приказом Росстата от 29.12.2025 N 764)
Id,tT/t0(T-1) - еженедельная оценка ИПЦ на отчетную дату отчетного месяца отчетного года к декабрю предыдущего года, процентов;
(абзац введен Приказом Росстата от 29.12.2025 N 764)
Id,tT/(t-1)T - еженедельная оценка ИПЦ на отчетную дату отчетного месяца к предыдущему месяцу, процентов;
(абзац введен Приказом Росстата от 29.12.2025 N 764)
I(d-1),tT/t0(T-1) - еженедельная оценка ИПЦ на предыдущую дату отчетного месяца к декабрю предыдущего года, процентов.
(абзац введен Приказом Росстата от 29.12.2025 N 764)
На момент опубликованного ИПЦ за предыдущий месяц отчетного года к декабрю предыдущего года в расчете оценки ИПЦ на отчетную дату отчетного месяца отчетного года к декабрю предыдущего года используются данные опубликованного ИПЦ и оценка ИПЦ на отчетную дату отчетного месяца к предыдущему месяцу.
(абзац введен Приказом Росстата от 29.12.2025 N 764)
Среднесуточный прирост цен на отчетную дату за период с начала месяца рассчитывается по формуле:
(абзац введен Приказом Росстата от 29.12.2025 N 764)
(абзац введен Приказом Росстата от 29.12.2025 N 764)
(абзац введен Приказом Росстата от 29.12.2025 N 764)
Sd,tT/(t-1)T - среднесуточный прирост цен на отчетную дату за период с начала месяца, процентных пунктов;
(абзац введен Приказом Росстата от 29.12.2025 N 764)
Id,tT/(t-1)T - еженедельная оценка ИПЦ на отчетную дату отчетного месяца к предыдущему месяцу, процентов;
(абзац введен Приказом Росстата от 29.12.2025 N 764)
p - количество дней с начала месяца до отчетной даты отчетного месяца.
(абзац введен Приказом Росстата от 29.12.2025 N 764)
- Гражданский кодекс (ГК РФ)
- Жилищный кодекс (ЖК РФ)
- Налоговый кодекс (НК РФ)
- Трудовой кодекс (ТК РФ)
- Уголовный кодекс (УК РФ)
- Бюджетный кодекс (БК РФ)
- Арбитражный процессуальный кодекс
- Конституция РФ
- Земельный кодекс (ЗК РФ)
- Лесной кодекс (ЛК РФ)
- Семейный кодекс (СК РФ)
- Уголовно-исполнительный кодекс
- Уголовно-процессуальный кодекс
- Производственный календарь на 2025 год
- МРОТ 2026
- ФЗ «О банкротстве»
- О защите прав потребителей (ЗОЗПП)
- Об исполнительном производстве
- О персональных данных
- О налогах на имущество физических лиц
- О средствах массовой информации
- Производственный календарь на 2026 год
- Федеральный закон "О полиции" N 3-ФЗ
- Расходы организации ПБУ 10/99
- Минимальный размер оплаты труда (МРОТ)
- Календарь бухгалтера на 2026 год
- Частичная мобилизация: обзор новостей
- Постановление Правительства РФ N 1875
, (23)
, (24)
, (25)
, (26)
, (27)
, (28)
, (29)
, (30)
, (31)
, (32)
, (33)
, (35)
, (37)
, (38/1)
, (38.2)
, (38.3)
, (38.4)
, (38.5)
, (38.6)