к Правилам предоставления субсидий
из федерального бюджета российским
организациям на финансовое обеспечение
части затрат на разработку
конкурентоспособных нишевых
аппаратно-программных комплексов
для целей искусственного интеллекта
РАСЧЕТ
РАЗМЕРА СУБСИДИИ, ПРЕДОСТАВЛЕННОЙ ИЗ ФЕДЕРАЛЬНОГО БЮДЖЕТА
РОССИЙСКОЙ ОРГАНИЗАЦИИ НА ФИНАНСОВОЕ ОБЕСПЕЧЕНИЕ ЧАСТИ
ЗАТРАТ НА РАЗРАБОТКУ КОНКУРЕНТОСПОСОБНЫХ НИШЕВЫХ
АППАРАТНО-ПРОГРАММНЫХ КОМПЛЕКСОВ ДЛЯ ЦЕЛЕЙ ИСКУССТВЕННОГО
ИНТЕЛЛЕКТА, ПОДЛЕЖАЩЕЙ ВОЗВРАТУ В ДОХОД ФЕДЕРАЛЬНОГО
БЮДЖЕТА В СЛУЧАЕ НЕДОСТИЖЕНИЯ РОССИЙСКОЙ ОРГАНИЗАЦИЕЙ
РЕЗУЛЬТАТА ПРЕДОСТАВЛЕНИЯ СУБСИДИИ
РАСЧЕТ
РАЗМЕРА СУБСИДИИ, ПРЕДОСТАВЛЕННОЙ ИЗ ФЕДЕРАЛЬНОГО БЮДЖЕТА
РОССИЙСКОЙ ОРГАНИЗАЦИИ НА ФИНАНСОВОЕ ОБЕСПЕЧЕНИЕ ЧАСТИ
ЗАТРАТ НА РАЗРАБОТКУ КОНКУРЕНТОСПОСОБНЫХ НИШЕВЫХ
АППАРАТНО-ПРОГРАММНЫХ КОМПЛЕКСОВ ДЛЯ ЦЕЛЕЙ ИСКУССТВЕННОГО
ИНТЕЛЛЕКТА, ПОДЛЕЖАЩЕЙ ВОЗВРАТУ В ДОХОД ФЕДЕРАЛЬНОГО
БЮДЖЕТА В СЛУЧАЕ НЕДОСТИЖЕНИЯ РОССИЙСКОЙ ОРГАНИЗАЦИЕЙ
РЕЗУЛЬТАТА ПРЕДОСТАВЛЕНИЯ СУБСИДИИ
Размер субсидии, предоставленной из федерального бюджета российской организации на финансовое обеспечение части затрат на разработку конкурентоспособных нишевых аппаратно-программных комплексов для целей искусственного интеллекта, подлежащей возврату в доход федерального бюджета (тыс. рублей) (A), рассчитывается по формуле:
dv - достигнутое значение результата предоставления субсидии "Разработка российской организацией в рамках реализации комплексного проекта не менее одного конкурентоспособного нишевого аппаратно-программного комплекса для целей искусственного интеллекта, единиц";
Dv - плановое значение результата предоставления субсидии "Разработка российской организацией в рамках реализации комплексного проекта не менее одного конкурентоспособного нишевого аппаратно-программного комплекса для целей искусственного интеллекта, единиц", указанное в соглашении о предоставлении субсидии;
Xv - удельный вес результата предоставления субсидии "Разработка российской организацией в рамках реализации комплексного проекта не менее одного конкурентоспособного нишевого аппаратно-программного комплекса для целей искусственного интеллекта, единиц", значимость которого составляет 50 процентов;
dm - достигнутое значение показателя, необходимого для достижения результата предоставления субсидии "Количество создаваемых и модернизируемых высокотехнологичных рабочих мест в рамках реализации комплексного проекта, единиц";
Dm - плановое значение показателя, необходимого для достижения результата предоставления субсидии "Количество создаваемых и модернизируемых высокотехнологичных рабочих мест в рамках реализации комплексного проекта, единиц", указанное в соглашении о предоставлении субсидии;
Xm - удельный вес показателя, необходимого для достижения результата предоставления субсидии "Количество создаваемых и модернизируемых высокотехнологичных рабочих мест в рамках реализации комплексного проекта, единиц", значимость которого составляет 15 процентов;
dg - достигнутое значение показателя, необходимого для достижения результата предоставления субсидии "Соотношение размера субсидии, запрашиваемой на разработку конкурентоспособных нишевых аппаратно-программных комплексов для целей искусственного интеллекта в рамках реализации комплексного проекта, и размера собственных и (или) заемных средств, планируемых к привлечению для реализации комплексного проекта";
Dg - плановое значение показателя, необходимого для достижения результата предоставления субсидии "Соотношение размера субсидии, запрашиваемой на разработку конкурентоспособных нишевых аппаратно-программных комплексов для целей искусственного интеллекта в рамках реализации комплексного проекта, и размера собственных и (или) заемных средств, планируемых к привлечению для реализации комплексного проекта", указанное в соглашении о предоставлении субсидии;
Xg - удельный вес показателя, необходимого для достижения результата предоставления субсидии "Соотношение размера субсидии, запрашиваемой на разработку конкурентоспособных нишевых аппаратно-программных комплексов для целей искусственного интеллекта в рамках реализации комплексного проекта, и размера собственных и (или) заемных средств, планируемых к привлечению для реализации комплексного проекта", значимость которого составляет 20 процентов;
dp - достигнутое значение показателя, необходимого для достижения результата предоставления субсидии "Количество созданных результатов интеллектуальной деятельности, охраняемых патентами и (или) удовлетворяющих условиям патентоспособности (с подтверждением результатами проведенных в соответствии с ГОСТ Р 15.011-96 патентных исследований), а также охраняемых в качестве секретов производства (ноу-хау), в том числе ключевых технических решений, единиц";
Dp - плановое значение показателя, необходимого для достижения результата предоставления субсидии "Количество созданных результатов интеллектуальной деятельности, охраняемых патентами и (или) удовлетворяющих условиям патентоспособности (с подтверждением результатами проведенных в соответствии с ГОСТ Р 15.011-96 патентных исследований), а также охраняемых в качестве секретов производства (ноу-хау), в том числе ключевых технических решений, единиц", указанное в соглашении о предоставлении субсидии;
Xp - удельный вес показателя, необходимого для достижения результата предоставления субсидии "Количество созданных результатов интеллектуальной деятельности, охраняемых патентами и (или) удовлетворяющих условиям патентоспособности (с подтверждением результатами проведенных в соответствии с ГОСТ Р 15.011-96 патентных исследований), а также охраняемых в качестве секретов производства (ноу-хау), в том числе ключевых технических решений, единиц", значимость которого составляет 15 процентов;
k - коэффициент, учитывающий средний размер ключевой ставки, устанавливаемой Центральным банком Российской Федерации, рассчитываемый по формуле:
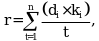
r - средний размер ключевой ставки, устанавливаемой Центральным банком Российской Федерации, рассчитываемый по формуле:
n - количество периодов реализации, в которых действовали различные уровни ключевой ставки Центрального банка Российской Федерации;
t - суммарное количество календарных дней со дня заключения российской организацией соглашения о предоставлении субсидии;
di - количество календарных дней действия i-й ключевой ставки Центрального банка Российской Федерации (в пределах периода реализации со дня заключения российской организацией соглашения о предоставлении субсидии);
ki - значения уровней ключевой ставки Центрального банка Российской Федерации;
s - количество лет со дня заключения российской организацией соглашения о предоставлении субсидии (дробное значение с округлением до 10-й доли при наличии неполных лет);
V - размер средств федерального бюджета, использованный российской организацией в рамках реализации комплексного проекта на день окончания срока его реализации или на день окончания периода реализации, в котором принято решение о расторжении соглашения о предоставлении субсидии, в том числе его одностороннем расторжении Министерством промышленности и торговли Российской Федерации в соответствии с пунктом 43 Правил предоставления субсидий из федерального бюджета российским организациям на финансовое обеспечение части затрат на разработку конкурентоспособных нишевых аппаратно-программных комплексов для целей искусственного интеллекта, утвержденных постановлением Правительства Российской Федерации от 23 августа 2021 г. N 1380 "Об утверждении Правил предоставления субсидий из федерального бюджета российским организациям на финансовое обеспечение части затрат на разработку конкурентоспособных нишевых аппаратно-программных комплексов для целей искусственного интеллекта" (тыс. рублей).
Достигнутые значения показателей, необходимых для достижения результата предоставления субсидии, учитываются на день окончания срока реализации комплексного проекта.
В случае если достигнутое значение показателя, необходимого для достижения результатов предоставления субсидии (dv, dm, dp), превышает плановое значение этого показателя (Dv, Dm, Dp), отношение достигнутого значения показателя к плановому значению показателя считается равным 1.
В случае если достигнутое значение показателя, необходимого для достижения результатов предоставления субсидии (dg), меньше планового значения этого показателя (Dg), отношение достигнутого значения показателя к плановому значению показателя считается равным 1.
- Гражданский кодекс (ГК РФ)
- Жилищный кодекс (ЖК РФ)
- Налоговый кодекс (НК РФ)
- Трудовой кодекс (ТК РФ)
- Уголовный кодекс (УК РФ)
- Бюджетный кодекс (БК РФ)
- Арбитражный процессуальный кодекс
- Конституция РФ
- Земельный кодекс (ЗК РФ)
- Лесной кодекс (ЛК РФ)
- Семейный кодекс (СК РФ)
- Уголовно-исполнительный кодекс
- Уголовно-процессуальный кодекс
- Производственный календарь на 2025 год
- МРОТ 2026
- ФЗ «О банкротстве»
- О защите прав потребителей (ЗОЗПП)
- Об исполнительном производстве
- О персональных данных
- О налогах на имущество физических лиц
- О средствах массовой информации
- Производственный календарь на 2026 год
- Федеральный закон "О полиции" N 3-ФЗ
- Расходы организации ПБУ 10/99
- Минимальный размер оплаты труда (МРОТ)
- Календарь бухгалтера на 2026 год
- Частичная мобилизация: обзор новостей
- Постановление Правительства РФ N 1875

