VII. Ключевой показатель государственного контроля (надзора) и его целевое значение
(введен Постановлением Правительства РФ от 13.01.2022 N 2)
86. Ключевым показателем государственного контроля (надзора) является отношение объектов государственного контроля (надзора), по которым принято решение об их отнесении к более низкой категории риска, к объектам государственного контроля (надзора), по которым принято решение об их отнесении к более высокой категории риска.
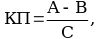
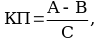
Целевым значением ключевого показателя государственного контроля (надзора) (КП), достижение которого обеспечивается контрольным (надзорным) органом, является положительное значение указанного показателя, который определяется по формуле:
A - количество объектов государственного контроля (надзора), в отношении которых в отчетном периоде принято решение об их отнесении к более низкой категории риска;
B - количество объектов государственного контроля (надзора), в отношении которых в отчетном периоде принято решение об их отнесении к более высокой категории риска;
C - общее количество объектов государственного контроля (надзора), которым присвоена категория риска, на дату окончания отчетного периода.
- Гражданский кодекс (ГК РФ)
- Жилищный кодекс (ЖК РФ)
- Налоговый кодекс (НК РФ)
- Трудовой кодекс (ТК РФ)
- Уголовный кодекс (УК РФ)
- Бюджетный кодекс (БК РФ)
- Арбитражный процессуальный кодекс
- Конституция РФ
- Земельный кодекс (ЗК РФ)
- Лесной кодекс (ЛК РФ)
- Семейный кодекс (СК РФ)
- Уголовно-исполнительный кодекс
- Уголовно-процессуальный кодекс
- Производственный календарь на 2025 год
- МРОТ 2025
- ФЗ «О банкротстве»
- О защите прав потребителей (ЗОЗПП)
- Об исполнительном производстве
- О персональных данных
- О налогах на имущество физических лиц
- О средствах массовой информации
- Производственный календарь на 2026 год
- Федеральный закон "О полиции" N 3-ФЗ
- Расходы организации ПБУ 10/99
- Минимальный размер оплаты труда (МРОТ)
- Календарь бухгалтера на 2025 год
- Частичная мобилизация: обзор новостей
- Постановление Правительства РФ N 1875
