Внимание! Данная редакция применяется при формировании и представлении обоснований бюджетных ассигнований в целях формирования проекта федерального закона о федеральном бюджете на 2025 год и на плановый период 2026 и 2027 годов. При формировании и представлении обоснований на 2024 год применяется предыдущая редакция.
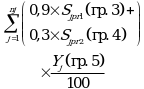
3.1.1.2. Показатели, применяемые для расчета распределения общего объема субсидий на софинансирование расходных обязательств субъектов Российской Федерации между субъектами Российской Федерации в соответствии с правилами предоставления и распределения субсидий бюджетам субъектов Российской Федерации (на очередной финансовый год)
3.1.1.2. Показатели, применяемые для расчета распределения общего объема
субсидий на софинансирование расходных обязательств субъектов Российской
Федерации между субъектами Российской Федерации в соответствии с правилами
предоставления и распределения субсидий бюджетам субъектов Российской
Федерации на 20__ год (на очередной финансовый год)
|
(Sj) |
Объем бюджетных ассигнований с учетом перераспределения высвободившихся средств |
||||||||||
|
понесенные в году, предшествующему году предоставления субсидии, и (или) планируемые в соответствующем финансовом году затраты сельскохозяйственных товаропроизводителей на оплату труда и проживание обучающихся, привлеченных для прохождения практики, в том числе производственной практики, и практической подготовки или осуществляющих трудовую деятельность не более 6 месяцев |
предельный уровень софинансирования расходного обязательства субъекта Российской Федерации, % (Yj) |
размер средств, предусмотренный заявкой субъекта Российской Федерации на предоставление субсидии (Sзаявка) |
расчетный размер субсидии бюджету субъекта Российской Федерации (Sрасч j) |
общий объем бюджетных ассигнований, предусмотренный на предоставление субсидий (S) |
|||||||
|
(если Sрасч j (гр. 7) > Sзаявка (гр. 6), то Sj = Sзаявка (гр. 6); |
|||||||||||
|
если Sрасч j (гр. 7) < Sзаявка (гр. 6), то Sj = Sрасч j (гр. 7)) |
|||||||||||
|
в образовательных организациях Министерства сельского хозяйства Российской Федерации (Sjpr1) |
в иных образовательных организациях (Sjpr2) |
||||||||||
- Гражданский кодекс (ГК РФ)
- Жилищный кодекс (ЖК РФ)
- Налоговый кодекс (НК РФ)
- Трудовой кодекс (ТК РФ)
- Уголовный кодекс (УК РФ)
- Бюджетный кодекс (БК РФ)
- Арбитражный процессуальный кодекс
- Конституция РФ
- Земельный кодекс (ЗК РФ)
- Лесной кодекс (ЛК РФ)
- Семейный кодекс (СК РФ)
- Уголовно-исполнительный кодекс
- Уголовно-процессуальный кодекс
- Производственный календарь на 2025 год
- МРОТ 2025
- ФЗ «О банкротстве»
- О защите прав потребителей (ЗОЗПП)
- Об исполнительном производстве
- О персональных данных
- О налогах на имущество физических лиц
- О средствах массовой информации
- Производственный календарь на 2026 год
- Федеральный закон "О полиции" N 3-ФЗ
- Расходы организации ПБУ 10/99
- Минимальный размер оплаты труда (МРОТ)
- Календарь бухгалтера на 2025 год
- Частичная мобилизация: обзор новостей
- Постановление Правительства РФ N 1875
