Документ утрачивает силу с 1 января 2026 года в связи с изданием Приказа Минфина России от 24.06.2025 N 79н, утвердившего новый Порядок.
Внимание! Данная редакция применяется при формировании и представлении обоснований бюджетных ассигнований в целях формирования проекта федерального закона о федеральном бюджете на 2025 год и на плановый период 2026 и 2027 годов. При формировании и представлении обоснований на 2024 год применяется предыдущая редакция.

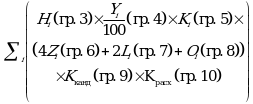
3.1.1.3. Показатели, применяемые для расчета распределения общего объема субсидий на софинансирование расходных обязательств субъектов Российской Федерации между субъектами Российской Федерации в соответствии с правилами предоставления и распределения субсидий бюджетам субъектов Российской Федерации (на первый год планового периода)

3.1.1.3. Показатели, применяемые для расчета распределения общего объема

субсидий на софинансирование расходных обязательств субъектов Российской

Федерации между субъектами Российской Федерации в соответствии с правилами

предоставления и распределения субсидий бюджетам субъектов Российской

Федерации на 20__ год (на первый год планового периода)

Наименование субъекта Российской Федерации

Код строки

Показатели по субъектам Российской Федерации

Единые показатели для всех субъектов Российской Федерации

Объем бюджетных ассигнований

(Si)

количество спортивных школ олимпийского резерва в субъекте Российской Федерации, ед

(Hi)

предельный уровень софинансирования расходного обязательства субъекта Российской Федерации

(Yi)

региональный коэффициент

(Ki)

среднее количество тренеров в спортивных школах олимпийского резерва субъекта Российской Федерации

коэффициент эффективности подготовки спортивного резерва для спортивных сборных команд Российской Федерации в спортивных школах олимпийского резерва субъекта Российской Федерации

(Kканд)

коэффициент расходов на материально-техническое обеспечение (спортивное оборудование, инвентарь, экипировку) из бюджета субъекта Российской Федерации, местного бюджета, внебюджетных источников в спортивных школах олимпийского резерва субъекта Российской Федерации

(Kрасх)

Рисунок 175

общий объем бюджетных ассигнований, предусмотренный на предоставление субсидий

(Афб)

имеющих высшую квалификационную категорию

(Zi)

имеющих первую квалификационную категорию

(Li)

имеющих вторую квалификационную категорию и не имеющих квалификационную категорию

(Oi)

1

2

3

4

5

6

7

8

9

10

11

12

13

001

x

x

002

Итого

900

x

x

x

x

x

x

x

x