Документ утратил силу или отменен. Подробнее см. Справку
3.1. Алгоритм расчета распределения общего объема субсидий на софинансирование расходных обязательств субъектов Российской Федерации и г. Байконура между субъектами Российской Федерации и г. Байконуром в соответствии с правилами предоставления и распределения субсидий бюджетам субъектов Российской Федерации и бюджету г. Байконура
3.1. Алгоритм расчета распределения общего объема субсидий на
софинансирование расходных обязательств субъектов Российской Федерации и г.
Байконура между субъектами Российской Федерации и г. Байконуром в
соответствии с правилами предоставления и распределения субсидий бюджетам
субъектов Российской Федерации и бюджету г. Байконура
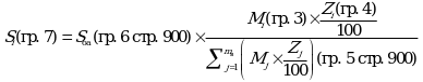
3. Расчет распределения общего объема субсидий на софинансирование расходных обязательств субъектов Российской Федерации и г. Байконура между субъектами Российской Федерации и г. Байконуром
3.1.1. Показатели, применяемые для расчета распределения общего объема субсидий на софинансирование расходных обязательств субъектов Российской Федерации и г. Байконура между субъектами Российской Федерации и г. Байконуром, в соответствии с правилами предоставления и распределения субсидий бюджетам субъектов Российской Федерации и бюджету г. Байконура
- Гражданский кодекс (ГК РФ)
- Жилищный кодекс (ЖК РФ)
- Налоговый кодекс (НК РФ)
- Трудовой кодекс (ТК РФ)
- Уголовный кодекс (УК РФ)
- Бюджетный кодекс (БК РФ)
- Арбитражный процессуальный кодекс
- Конституция РФ
- Земельный кодекс (ЗК РФ)
- Лесной кодекс (ЛК РФ)
- Семейный кодекс (СК РФ)
- Уголовно-исполнительный кодекс
- Уголовно-процессуальный кодекс
- Производственный календарь на 2025 год
- МРОТ 2026
- ФЗ «О банкротстве»
- О защите прав потребителей (ЗОЗПП)
- Об исполнительном производстве
- О персональных данных
- О налогах на имущество физических лиц
- О средствах массовой информации
- Производственный календарь на 2026 год
- Федеральный закон "О полиции" N 3-ФЗ
- Расходы организации ПБУ 10/99
- Минимальный размер оплаты труда (МРОТ)
- Календарь бухгалтера на 2026 год
- Частичная мобилизация: обзор новостей
- Постановление Правительства РФ N 1875
