Документ утрачивает силу с 1 января 2026 года в связи с изданием Приказа Минфина России от 24.06.2025 N 79н, утвердившего новый Порядок.
Внимание! Данная редакция применяется при формировании и представлении обоснований бюджетных ассигнований в целях формирования проекта федерального закона о федеральном бюджете на 2025 год и на плановый период 2026 и 2027 годов. При формировании и представлении обоснований на 2024 год применяется предыдущая редакция.

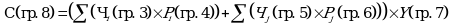
3.1. Алгоритм расчета распределения общего объема субсидий на софинансирование расходных обязательств субъектов Российской Федерации между субъектами Российской Федерации в соответствии с правилами предоставления и распределения субсидий бюджетам субъектов Российской Федерации

3.1. Алгоритм расчета распределения общего объема субсидий на

софинансирование расходных обязательств субъектов Российской Федерации

между субъектами Российской Федерации в соответствии с правилами

предоставления и распределения субсидий бюджетам субъектов Российской

Федерации

Рисунок 387