Документ утрачивает силу с 1 января 2026 года в связи с изданием Приказа Минфина России от 24.06.2025 N 79н, утвердившего новый Порядок.
Внимание! Данная редакция применяется при формировании и представлении обоснований бюджетных ассигнований в целях формирования проекта федерального закона о федеральном бюджете на 2025 год и на плановый период 2026 и 2027 годов. При формировании и представлении обоснований на 2024 год применяется предыдущая редакция.

3.1.1.4. Показатели, применяемые для расчета распределения общего объема субсидий на софинансирование расходных обязательств субъектов Российской Федерации между субъектами Российской Федерации в соответствии с правилами предоставления и распределения субсидий бюджетам субъектов Российской Федерации (на второй год планового периода)

3.1.1.4. Показатели, применяемые для расчета распределения общего объема

субсидий на софинансирование расходных обязательств субъектов Российской

Федерации между субъектами Российской Федерации в соответствии с правилами

предоставления и распределения субсидий бюджетам субъектов Российской

Федерации на 20__ год (на второй год планового периода)

Наименование субъекта Российской Федерации

Код строки

Показатели по субъектам Российской Федерации

Единые показатели для всех субъектов Российской Федерации

Объем бюджетных ассигнований

(Si)

численность постоянного населения субъекта Российской Федерации

(Hi)

предельный уровень софинансирования расходного обязательства субъекта Российской Федерации

(Li)

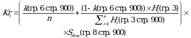
расчетный коэффициент

(Kri)

коэффициент выравнивания

(k)

Рисунок 112

общий объем бюджетных ассигнований, предусмотренный на предоставление субсидий

(Sобщ)

Рисунок 113

1

2

3

4

5

6

7

8

9

001

x

x

x

002

Итого

900

x

x