3.1. Банк определяет величину агрегированной надбавки для каждого ПФИ следующим образом.
Банк рассчитывает скорректированную номинальную стоимость ПФИ в соответствии с пунктом 3.2 настоящего Положения.
К рассчитанной скорректированной номинальной стоимости ПФИ банк применяет коэффициент фактора срока, определяемый в соответствии с пунктом 3.3 настоящего Положения.
Банк определяет эффективную номинальную стоимость ПФИ путем применения к скорректированной номинальной стоимости ПФИ коэффициента фактора срока и коэффициента дельта-корректировки, определяемого в соответствии с пунктом 3.4 настоящего Положения.
К рассчитанной скорректированной номинальной стоимости ПФИ банк применяет коэффициент фактора риска, определяемый в соответствии с приложением 3 к настоящему Положению. В отношении ПФИ, включенных в группу хеджирования, банк умножает коэффициент фактора риска на 0,5, если группу хеджирования составляют базисные ПФИ, и на 5, если группу хеджирования составляют волатильностные ПФИ.
Банк агрегирует полученные с применением коэффициента фактора риска величины эффективной номинальной стоимости ПФИ, входящих в каждую из групп хеджирования в рамках одной категории ПФИ, а затем агрегирует полученные значения по каждой из категорий ПФИ. При агрегировании полученных с применением коэффициента фактора риска величин эффективной номинальной стоимости кредитных, фондовых и товарных ПФИ банк применяет коэффициент корреляции, определяемый в соответствии с приложением 3 к настоящему Положению.
3.2. Банк определяет скорректированную номинальную стоимость i-го ПФИ, относящегося к одной из категорий ПФИ, определенных пунктом 1.2 настоящего Положения, на основании номинальной стоимости i-го ПФИ (для ПФИ, номинированного в иностранной валюте, - на основании рублевого эквивалента номинальной стоимости ПФИ по официальному курсу иностранной валюты, установленному Банком России в соответствии с пунктом 15 статьи 4 Федерального закона от 10 июля 2002 года N 86-ФЗ "О Центральном банке Российской Федерации (Банке России)" (Собрание законодательства Российской Федерации, 2002, N 28, ст. 2790; 2020, N 14, ст. 2036), на дату расчета банком величины кредитного риска по ПФИ (далее - рублевый эквивалент) следующим образом.
3.2.1. Для процентных и кредитных ПФИ банк рассчитывает скорректированную номинальную стоимость путем применения к рублевому эквиваленту номинальной стоимости i-го ПФИ, указанной в договоре, являющемся ПФИ, коэффициента дюрации (КДi), определяемого по формуле:
Днi - срок от даты расчета кредитного риска по ПФИ до даты начала временного периода, предусмотренного условиями i-го ПФИ (далее - Днi). В случае если базисным активом i-го ПФИ является другой финансовый инструмент, определенный в соответствии с Международным стандартом финансовой отчетности (IAS) 32 "Финансовые инструменты: представление", введенным в действие на территории Российской Федерации приказом Министерства финансов Российской Федерации от 28 декабря 2015 года N 217н "О введении Международных стандартов финансовой отчетности и Разъяснений Международных стандартов финансовой отчетности в действие на территории Российской Федерации и о признании утратившими силу некоторых приказов (отдельных положений приказов) Министерства финансов Российской Федерации", зарегистрированным Министерством юстиции Российской Федерации 2 февраля 2016 года N 40940, 1 августа 2016 года N 43044, с поправками, введенными в действие на территории Российской Федерации приказом Минфина России N 98н, приказом Минфина России N 111н, приказом Минфина России N 125н (в том числе другой ПФИ), Днi рассчитывается в отношении указанного финансового инструмента (ПФИ, являющегося базисным активом i-го ПФИ). В случае если дата начала временного периода, предусмотренного условиями i-го ПФИ, уже наступила на дату расчета КРС, банк принимает значение Днi равным 0 (нулю);
Дкi - срок от даты расчета кредитного риска по ПФИ до даты окончания временного периода, предусмотренного условиями i-го ПФИ (далее - Дкi). В случае если базисным активом i-го ПФИ является процентный или кредитный финансовый инструмент (в том числе другой процентный или кредитный ПФИ), Дкi рассчитывается в отношении процентного или кредитного финансового инструмента (другого процентного или кредитного ПФИ), являющегося базисным активом i-го ПФИ.
При расчете коэффициента дюрации банк принимает значение Днi и (или) Дкi не меньшим, чем 10 операционных дней в годовом исчислении, за исключением случая, когда значение Днi принимается равным 0 (нулю) (в случае если дата начала временного периода, предусмотренного условиями i-го ПФИ, уже наступила на дату расчета КРС).
3.2.2. Для валютных ПФИ банк рассчитывает скорректированную номинальную стоимость как рублевый эквивалент требований или обязательств сторон в соответствии с условиями валютного ПФИ, номинированных в иностранной валюте. В случае если и требования, и обязательства сторон валютного ПФИ номинированы в иностранной валюте (иностранных валютах), банк рассчитывает скорректированную номинальную стоимость валютного ПФИ как наибольшую из величин рублевого эквивалента требования или обязательства валютного ПФИ.
3.2.3. Для фондовых и товарных ПФИ банк принимает скорректированную номинальную стоимость равной номинальной стоимости ПФИ, указанной в договоре, являющемся ПФИ.
В случае если номинальная стоимость фондового и (или) товарного ПФИ не указана в договоре, являющемся ПФИ, банк определяет скорректированную номинальную стоимость фондового и (или) товарного ПФИ как произведение текущей стоимости одной ценной бумаги, единицы товара и количества ценных бумаг, товаров в рамках каждого договора, являющегося ПФИ, а в случае, если базисным активом ПФИ является индекс ценных бумаг, - как произведение текущей рыночной стоимости одного пункта индекса ценных бумаг и номинала ПФИ, выраженного в пунктах индекса ценных бумаг.
3.2.4. Для волатильностных ПФИ банк определяет скорректированную номинальную стоимость как произведение величины волатильности (дисперсии), на основании которой определяются требования и обязательства по ПФИ, и номинальной стоимости ПФИ согласно договору, являющемуся ПФИ.
3.2.5. В случае если номинальная стоимость ПФИ не является фиксированной величиной и (или) не может быть надежно определена, банк использует следующие подходы:
для опционов, по условиям которых покупатель опциона получает от продавца опциона фиксированную выплату (выплаты) при наступлении события, предусмотренного данным опционом, банк в качестве номинальной стоимости использует величину выплаты (наибольшую из величин выплат) в соответствии с данным опционом;
в случае если номинальная стоимость ПФИ рассчитывается банком на основе рыночных данных, банк использует рыночные данные при условии, что рынок в отношении ПФИ характеризуется активностью и ликвидностью, определяемыми в соответствии с пунктом 1.8 Положения Банка России N 511-П, а также при наличии у сторон ПФИ доступа к информации о текущих ценах на ПФИ. В случае если характерными особенностями рынка являются отсутствие активности совершения операций с данным ПФИ, увеличение разницы между ценами спроса и предложения, изменение цен за короткий период времени, а также отсутствие доступа к информации о текущих ценах, банк использует предоставляемую брокерами и иными субъектами рынка информацию о стоимости (котировках) ПФИ, сопоставимых с оцениваемым ПФИ, или применяет иные методы оценки;
для свопов с переменной величиной номинальной суммы банк использует средневзвешенное значение номинальной суммы (пропорционально периоду, в котором номинальная сумма изменяется в соответствии с условиями ПФИ) в течение оставшегося до исполнения ПФИ срока;
для ПФИ, требования и обязательства по которым определяются сторонами исходя из кратного изменения базисного актива, банк рассчитывает номинальную стоимость ПФИ путем кратного увеличения номинальной суммы ПФИ;
для валютных свопов и иных ПФИ, условиями которых предусмотрено более одного обмена номинальной суммой, для определения номинальной стоимости ПФИ банк умножает номинальную сумму ПФИ на количество оставшихся обменов до даты завершения ПФИ по состоянию на дату расчета КРС.
3.3. Банк определяет коэффициент фактора срока для i-го ПФИ следующим образом.
3.3.1. Для немаржируемых ПФИ банк рассчитывает коэффициент фактора срока (
) по формуле:
Дi - срок от даты расчета кредитного риска по ПФИ до даты исполнения i-го договора, являющегося ПФИ (далее - Дi). В случае если базисным активом i-го ПФИ является другой ПФИ и в результате исполнения i-го ПФИ у банка возникают права и (или) обязанности по первому ПФИ, банк определяет Дi как срок от даты расчета кредитного риска по ПФИ до даты исполнения ПФИ, являющегося базисным активом i-го ПФИ.
Для немаржируемого ПФИ, в отношении которого в установленные сроки предусмотрены частичное исполнение обязательств сторон и (или) пересмотр его условий таким образом, что справедливая стоимость ПФИ становится равной 0 (нулю), банк определяет Дi как срок от даты расчета кредитного риска по ПФИ до следующей даты частичного исполнения обязательств сторон и (или) пересмотра условий по этому ПФИ.
Для немаржируемого ПФИ, оставшийся срок до даты исполнения которого составляет менее 10 операционных дней, банк при расчете коэффициента фактора срока принимает значение Дi равным значению Дi для ПФИ, оставшийся срок до даты исполнения которого равен 10 операционным дням.
3.3.2. Для маржируемых ПФИ банк рассчитывает коэффициент фактора срока (
) по формуле:
T - количество операционных дней в году;
МПрi - маржинальный период риска для i-го ПФИ, составляющий:
10 операционных дней для ПФИ, условиями которых предусмотрено перечисление (внесение) маржи не реже, чем на ежедневной основе;
(9 + N) операционных дней (N - количество операционных дней, соответствующее периодичности перечисления (внесения) маржи) для ПФИ, условиями которых предусмотрено перечисление (внесение) маржи реже, чем на ежедневной основе;
20 операционных дней для ПФИ, входящих в группу неттинга, состоящую не менее чем из пяти тысяч ПФИ;
20 операционных дней для ПФИ, входящих в группу неттинга, в рамках которой как минимум по одному ПФИ получено (предоставлено) неликвидное обеспечение или как минимум один ПФИ является неликвидным внебиржевым ПФИ. В целях настоящего Положения банк принимает решение об отнесении обеспечения или внебиржевых ПФИ к неликвидным в соответствии с критериями, предусмотренными пунктом 1.8 Положения Банка России N 511-П.
3.3.3. Банк умножает величину маржинального периода риска в отношении маржируемых ПФИ, включенных в одну группу неттинга, на 2 в течение двух календарных кварталов, следующих за датой расчета кредитного риска по ПФИ, в случае если в течение двух календарных кварталов, предшествующих дате расчета кредитного риска по ПФИ, банком было зафиксировано не менее двух случаев досудебного оспаривания требований по перечислению (внесению) маржи в отношении данных ПФИ, споры по которым не были урегулированы до окончания маржинального периода риска по данным ПФИ, рассчитанного в соответствии с подпунктом 3.3.2 настоящего пункта без учета требований настоящего подпункта, в следующих случаях:
маржа не была перечислена (внесена) стороной (сторонами) по ПФИ, и (или);
маржа была частично перечислена (внесена) стороной (сторонами) по ПФИ, и (или);
маржа была перечислена (внесена) в полном объеме согласно договору, являющемуся ПФИ, и стороной (сторонами) по ПФИ оспорен ее размер.
3.4. Банк определяет коэффициент дельта-корректировки для i-го ПФИ следующим образом.
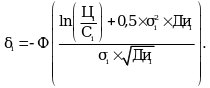
3.4.1. Для опциона, который дает банку - покупателю опциона право, но не обязанность купить базисный актив к определенной дате (на определенную дату) по определенной цене (далее - опцион типа call), банк рассчитывает коэффициент дельта-корректировки (
) по формуле:
Ф(x) - функция стандартного нормального интегрального распределения;
ln(x) - функция натурального логарифма;
Цi - цена базисного актива опциона;
- коэффициент волатильности опциона, определенный в соответствии с приложением 3 к настоящему Положению;
Диi - срок от даты расчета кредитного риска по ПФИ до последней возможной даты исполнения i-го опциона, предусмотренной условиями договора опциона.
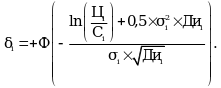
Банк - продавец опциона типа call рассчитывает коэффициент дельта-корректировки (
) по формуле:
Для опциона, который дает банку - покупателю опциона определенное право, но не обязанность продать базисный актив к определенной дате (на определенную дату) по определенной цене (далее - опцион типа put), банк рассчитывает коэффициент дельта-корректировки (
) по формуле:
Банк - продавец опциона типа put рассчитывает коэффициент дельта-корректировки (
) по формуле:
3.4.2. Банк рассчитывает коэффициент дельта-корректировки в соответствии с подпунктом 3.4.1 настоящего пункта в отношении:
опциона, покупатель которого вправе требовать его исполнения только в предусмотренную договором, являющимся ПФИ, дату исполнения опциона (европейский опцион);
опциона, покупатель которого вправе требовать его исполнения в любой день в течение срока осуществления права на его исполнение (американский опцион);
опциона, покупатель которого вправе требовать его исполнения в определенные договором, являющимся ПФИ, даты (бермудский опцион);
опциона, цена базисного актива и (или) цена исполнения которого в соответствии с договором, являющимся ПФИ, определяются в том числе как среднее значение цены базисного актива за период времени в течение срока осуществления права на исполнение опциона (азиатский опцион).
Для опционов, не указанных в абзацах втором - пятом настоящего подпункта, а также в случаях, когда для расчета коэффициента дельта-корректировки указанных в абзацах втором - пятом настоящего подпункта опционов формулы, предусмотренные подпунктом 3.4.1 настоящего пункта, неприменимы, банк вправе принять решение о расчете коэффициента дельта-корректировки в соответствии с подпунктами 1.8.3 и 1.8.5 пункта 1.8 Инструкции Банка России от 28 декабря 2016 года N 178-И "Об установлении размеров (лимитов) открытых валютных позиций, методике их расчета и особенностях осуществления надзора за их соблюдением кредитными организациями", зарегистрированной Министерством юстиции Российской Федерации 17 марта 2017 года N 46007, 3 ноября 2017 года N 48788, 31 марта 2020 года N 57915.
3.4.3. Для ПФИ, не указанных в подпунктах 3.4.1 и 3.4.2 настоящего пункта, банк принимает коэффициент дельта-корректировки равным +1 в случае, если справедливая стоимость ПФИ повышается при повышении цены (значения) базисного актива, и равным -1 в случае, если справедливая стоимость ПФИ повышается при снижении цены (значения) базисного актива.
Примеры определения временных параметров ПФИ приведены в приложении 4 к настоящему Положению.
- Гражданский кодекс (ГК РФ)
- Жилищный кодекс (ЖК РФ)
- Налоговый кодекс (НК РФ)
- Трудовой кодекс (ТК РФ)
- Уголовный кодекс (УК РФ)
- Бюджетный кодекс (БК РФ)
- Арбитражный процессуальный кодекс
- Конституция РФ
- Земельный кодекс (ЗК РФ)
- Лесной кодекс (ЛК РФ)
- Семейный кодекс (СК РФ)
- Уголовно-исполнительный кодекс
- Уголовно-процессуальный кодекс
- Производственный календарь на 2025 год
- МРОТ 2026
- ФЗ «О банкротстве»
- О защите прав потребителей (ЗОЗПП)
- Об исполнительном производстве
- О персональных данных
- О налогах на имущество физических лиц
- О средствах массовой информации
- Производственный календарь на 2026 год
- Федеральный закон "О полиции" N 3-ФЗ
- Расходы организации ПБУ 10/99
- Минимальный размер оплаты труда (МРОТ)
- Календарь бухгалтера на 2026 год
- Частичная мобилизация: обзор новостей
- Постановление Правительства РФ N 1875






