Таблица 9. Шкала диапазонов значений степени тяжести совокупного причиненного вреда здоровью
3.6.9. Совокупный причиненный вред считают значимым при выполнении условия: установленное значение степени тяжести совокупного причиненного вреда принадлежит диапазону шкалы значений, оцениваемому как "низкий" и выше (ранг 2 и выше).
Для эффективной митигации совокупного вреда здоровью населения в зоне под экспозицией формируют перечень загрязняющих веществ, подлежащих обязательному регулированию, у которых ранг степени тяжести совокупного вреда составляет 2 и выше.
3.6.10. Оценку вклада каждого вещества в величину совокупного причиненного вреда здоровью проводят по формуле:
где Qi - вклад каждого вещества в величину совокупного причиненного вреда здоровью;
- середина каждого диапазона шкалы значений степени тяжести совокупного причиненного вреда здоровью;
Gi - вес каждого вещества, формирующего аэрогенную экспозицию и связанный с ней совокупный негативный ответ;
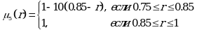
- значение функции принадлежности хронической средней суточной дозы каждого вещества, отнесенное к соответствующему диапазону шкалы значений среднесуточных доз веществ, потенциально опасных по причинению вреда.
3.6.11. Формирование таблицы согласованных значений данных по установленному вкладу веществ в величину совокупного вреда здоровью проводят по шаблону, представленному в таблице 10.
- Гражданский кодекс (ГК РФ)
- Жилищный кодекс (ЖК РФ)
- Налоговый кодекс (НК РФ)
- Трудовой кодекс (ТК РФ)
- Уголовный кодекс (УК РФ)
- Бюджетный кодекс (БК РФ)
- Арбитражный процессуальный кодекс
- Конституция РФ
- Земельный кодекс (ЗК РФ)
- Лесной кодекс (ЛК РФ)
- Семейный кодекс (СК РФ)
- Уголовно-исполнительный кодекс
- Уголовно-процессуальный кодекс
- Производственный календарь на 2025 год
- МРОТ 2025
- ФЗ «О банкротстве»
- О защите прав потребителей (ЗОЗПП)
- Об исполнительном производстве
- О персональных данных
- О налогах на имущество физических лиц
- О средствах массовой информации
- Производственный календарь на 2026 год
- Федеральный закон "О полиции" N 3-ФЗ
- Расходы организации ПБУ 10/99
- Минимальный размер оплаты труда (МРОТ)
- Календарь бухгалтера на 2025 год
- Частичная мобилизация: обзор новостей
- Постановление Правительства РФ N 1875










