Туристский поток по числу поездок

1

Туристский поток по Российской Федерации

Туристский поток по Российской Федерации определяется по формуле:

Рисунок 1

где:

Рисунок 2 - численность российских туристов, совершивших туристские поездки по территории Российской Федерации и размещенных в КСР за отчетный период (для квартального и годового расчета используются данные федеральных статистических наблюдений по квартальной форме N 1-КСР (краткая) и по годовой форме N 1-КСР);

Рисунок 3 - численность российских туристов, совершивших туристские поездки по территории Российской Федерации и размещенных в ИСР за отчетный период (данные федерального статистического наблюдения по форме N 1-В);

Ирф - число въездных туристских поездок иностранных туристов в Российскую Федерацию за отчетный период (на основе методологии, утвержденной приказом Росстата от 31.10.2019 N 640);

Рисунок 4

где:

n - количество субъектов (регионов) Российской Федерации (n = 85);

i - порядковый номер субъекта (региона) Российской Федерации, i = 1, ..., 85;

Рисунок 5 - численность российских туристов, совершивших туристские поездки по территории субъекта (региона) Российской Федерации и размещенных в КСР за отчетный период (для квартального и годового расчета используются данные федеральных статистических наблюдений по квартальной форме N 1-КСР (краткая) и по годовой форме N 1-КСР);

Рисунок 6

где:

n - количество субъектов (регионов) Российской Федерации (n = 85);

i - порядковый номер субъекта (региона) Российской Федерации, i = 1, ..., 85;

Рисунок 7 - численность российских туристов, совершивших туристские поездки по территории субъекта (региона) Российской Федерации и размещенных в ИСР за отчетный период (данные федерального статистического наблюдения по форме N 1-В).

Алгоритм расчета Рисунок 8 указан в п. 5 данной таблицы

Туристский поток по Российской Федерации (месячный) определяется по формуле:

Рисунок 9

где:

n - количество субъектов (регионов) Российской Федерации (n = 85);

i - порядковый номер субъекта (региона) Российской Федерации, i = 1, ..., 85;

Рисунок 10 - туристский поток по субъекту (региону) Российской Федерации (месячный) за отчетный период.

(в ред. Приказа Росстата от 01.03.2022 N 100)

2

Въездной туристский поток в Российскую Федерацию

Въездной туристский поток в Российскую Федерацию определяется по формуле:

Рисунок 11

где

Ирф - число въездных туристских поездок иностранных туристов в Российскую Федерацию за отчетный период (на основе методологии, утвержденной приказом Росстата от 31.10.2019 N 640)

3

Внутренний туристский поток по Российской Федерации

Внутренний туристский поток по Российской Федерации определяется по формуле:

Рисунок 12

где:

Рисунок 13 - численность российских туристов, совершивших туристские поездки по территории Российской Федерации и размещенных в КСР за отчетный период (для квартального и годового расчета используются данные федеральных статистических наблюдений по квартальной форме N 1-КСР (краткая) и по годовой форме N 1-КСР);

Рисунок 14 - численность российских туристов, совершивших туристские поездки по территории Российской Федерации и размещенных в ИСР за отчетный период (данные федерального статистического наблюдения по форме N 1-В);

Рисунок 15

где:

n - количество субъектов (регионов) Российской Федерации (n = 85);

i - порядковый номер субъекта (региона) Российской Федерации, i = 1, ..., 85;

Рисунок 16 - численность российских туристов, совершивших туристские поездки по территории субъекта (региона) Российской Федерации и размещенных в КСР за отчетный период (для квартального и годового расчета используются данные федеральных статистических наблюдений по квартальной форме N 1-КСР (краткая) и по годовой форме N 1-КСР);

Рисунок 17

где:

n - количество субъектов (регионов) Российской Федерации (n = 85);

i - порядковый номер субъекта (региона) Российской Федерации, i = 1, ..., 85;

Рисунок 18 - численность российских туристов, совершивших туристские поездки по территории субъекта (региона) Российской Федерации и размещенных в ИСР за отчетный период (данные федерального статистического наблюдения по форме N 1-В).

Алгоритм расчета Рисунок 19 указан в п. 5 данной таблицы

4

Выездной туристский поток из Российской Федерации

Выездной туристский поток из Российской Федерации определяется по формуле:

Рисунок 20

где

Ррф - число выездных туристских поездок российских туристов из Российской Федерации за отчетный период (на основе методологии, утвержденной приказом Росстата от 31.10.2019 N 640)

5

Туристский поток по субъекту (региону) Российской Федерации

Туристский поток по субъекту (региону) Российской Федерации определяется по формуле:

Рисунок 21

где:

Рисунок 22 - численность российских туристов, совершивших туристские поездки по территории субъекта (региона) Российской Федерации и размещенных в КСР за отчетный период (для квартального и годового расчета используются данные федеральных статистических наблюдений по квартальной форме N 1-КСР (краткая) и по годовой форме N 1-КСР);

Рисунок 23 - численность российских туристов, совершивших туристские поездки по территории субъекта (региона) Российской Федерации и размещенных в ИСР за отчетный период (данные федерального статистического наблюдения по форме N 1-В);

Рисунок 24 - численность иностранных туристов, совершивших туристские поездки по территории субъекта (региона) Российской Федерации и размещенных в КСР за отчетный период (для квартального и годового расчета используются данные федеральных статистических наблюдений по квартальной форме N 1-КСР (краткая) и по годовой форме N 1-КСР);

Рисунок 25 - численность иностранных туристов, совершивших туристские поездки по территории субъекта (региона) Российской Федерации и размещенных в ИСР за отчетный период (данные федерального статистического наблюдения по форме N 1-В, данные МВД России о миграционном учете);

Рисунок 26

где:

Рисунок 27 - численность российских туристов, совершивших туристские поездки по территории субъекта (региона) Российской Федерации и размещенных в ИСР за отчетный период (данные федерального статистического наблюдения по форме N 1-В);

Kиср - корректирующий коэффициент для российских туристов, совершивших туристские поездки по территории субъекта (региона) Российской Федерации и размещенных в ИСР за отчетный период (данные федерального статистического наблюдения по формам N 1-В, N 1-КСР (краткая), N 1-КСР);

Рисунок 28

где

Рисунок 29 - отношение численности российских туристов, совершивших туристские поездки по территории субъекта (региона) Российской Федерации и размещенных в КСР за отчетный период (данные федерального статистического наблюдения по форме N 1-В), к численности российских туристов, совершивших туристские поездки по территории субъекта (региона) Российской Федерации и размещенных в КСР за отчетный период (данные федерального статистического наблюдения по формам N 1-КСР (краткая), N 1-КСР);

Рисунок 30

где:

Рисунок 31 - численность российских туристов, совершивших туристские поездки по территории субъекта (региона) Российской Федерации и размещенных в КСР за отчетный период (данные федерального статистического наблюдения по форме N 1-В);

Рисунок 32 - численность российских туристов, совершивших туристские поездки по территории субъекта (региона) Российской Федерации и размещенных в КСР за отчетный период (для квартального и годового расчета используются данные федеральных статистических наблюдений по квартальной форме N 1-КСР (краткая) и по годовой форме N 1-КСР).

Если Рисунок 33 > 1, то Kиср = 0;

Рисунок 34

где:

Рисунок 35 - численность иностранных туристов, совершивших туристские поездки по территории Российской Федерации и размещенных в ИСР за отчетный период (на основе методологии, утвержденной приказом Росстата от 31.10.2019 N 640, для квартального и годового расчета используются данные федеральных статистических наблюдений по квартальной форме N 1-КСР (краткая) и по годовой форме N 1-КСР);

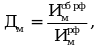
Дм - доля численности иностранных граждан, первично поставленных на миграционный учет с туристскими и частными целями на территории субъекта (региона) Российской Федерации, в общей численности иностранных граждан, первично поставленных на миграционный учет с туристскими и частными на территории Российской Федерации (данные МВД России о миграционном учете граждан);

Рисунок 36

где:

Ирф - число въездных туристских поездок иностранных туристов в Российскую Федерацию за отчетный период (на основе методологии, утвержденной приказом Росстата от 31.10.2019 N 640);

Рисунок 37 - численность иностранных туристов, совершивших туристские поездки по территории Российской Федерации и размещенных в КСР за отчетный период (для квартального и годового расчета используются данные федеральных статистических наблюдений по квартальной форме N 1-КСР (краткая) и по годовой форме N 1-КСР);

Рисунок 38

где:

Рисунок 39 - численность иностранных граждан, первично поставленных на миграционный учет с туристскими и частными целями на территории субъекта (региона) Российской Федерации (данные МВД России о миграционном учете граждан);

Рисунок 40 - численность иностранных граждан, первично поставленных на миграционный учет с туристскими и частными целями на территории Российской Федерации (данные МВД России о миграционном учете граждан)

Туристский поток по субъекту (региону) Российской Федерации (месячный) определяется по формуле:

Рисунок 41

где:

Рисунок 42 - численность туристов, совершивших туристские поездки по территории субъекта (региона) Российской Федерации и размещенных в КСР за отчетный месяц отчетного года (данные федерального статистического наблюдения по форме N 1-КСР (основные индикаторы);

Рисунок 43 - численность туристов, совершивших туристские поездки по территории субъекта (региона) Российской Федерации и размещенных в КСР за квартал, в который входит отчетный месяц, за год, предшествующий отчетному (для квартального и годового расчета используются данные федеральных статистических наблюдений по квартальной форме N 1-КСР (краткая) и по годовой форме N 1-КСР);

Рисунок 44 - туристский поток по субъекту (региону) Российской Федерации за квартал, в который входит отчетный месяц, за год, предшествующий отчетному.

(в ред. Приказа Росстата от 01.03.2022 N 100)

6

Въездной иностранный туристский поток в субъект (регион) Российской Федерации

Въездной иностранный туристский поток в субъект (регион) Российской Федерации определяется по формуле:

Рисунок 45

где:

Рисунок 46 - численность иностранных туристов, совершивших туристские поездки по территории субъекта (региона) Российской Федерации и размещенных в КСР за отчетный период (для квартального и годового расчета используются данные федеральных статистических наблюдений по квартальной форме N 1-КСР (краткая) и по годовой форме N 1-КСР);

Рисунок 47 - численность иностранных туристов, совершивших туристские поездки по территории субъекта (региона) Российской Федерации и размещенных в ИСР за отчетный период (данные федерального статистического наблюдения по форме N 1-В, данные МВД России о миграционном учете граждан).

Алгоритм расчета Рисунок 48 указан в п. 5 данной таблицы