20. В раскрываемой информации, указанной в подпункте "а" пункта 3 настоящего Стандарта, показатель "продолжительность деятельности" предусматривает продолжительность деятельности управляющей компании по управлению инвестиционными фондами, паевыми инвестиционными фондами и негосударственными пенсионными фондами.
Показатели "продолжительность деятельности" и "дата и номер лицензии на осуществление деятельности по управлению инвестиционными фондами, паевыми инвестиционными фондами и негосударственными пенсионными фондами" государственной управляющей компанией и государственной управляющей компанией средствами выплатного резерва не указываются.
21. В раскрываемой информации, указанной в подпункте "б" пункта 3 настоящего Стандарта:
а) показатель "величина собственных средств" рассчитывается согласно Указанию Банка России от 19 июля 2016 г. N 4075-У "О требованиях к собственным средствам управляющих компаний инвестиционных фондов, паевых инвестиционных фондов и негосударственных пенсионных фондов и соискателей лицензии управляющей компании" (зарегистрирован Министерством юстиции Российской Федерации 15 августа 2016 г., регистрационный N 43234) с изменениями, внесенными Указанием Банка России от 16 сентября 2019 г. N 5261-У (зарегистрирован Министерством юстиции Российской Федерации 13 декабря 2019 г., регистрационный N 56801);
б) показатель "стоимость чистых активов паевых инвестиционных фондов, акционерных инвестиционных фондов" определяется согласно Указанию Банка России от 25 августа 2015 г. N 3758-У "Об определении стоимости чистых активов инвестиционных фондов, в том числе о порядке расчета среднегодовой стоимости чистых активов паевого инвестиционного фонда и чистых активов акционерного инвестиционного фонда, расчетной стоимости инвестиционных паев паевых инвестиционных фондов, стоимости имущества, переданного в оплату инвестиционных паев" (зарегистрирован Министерством юстиции Российской Федерации 8 октября 2015 г., регистрационный N 39234) с изменениями, внесенными Указаниями Банка России от 12 декабря 2016 г. N 4233-У (зарегистрирован Министерством юстиции Российской Федерации 13 января 2017 г., регистрационный N 45188) и от 20 апреля 2020 г. N 5447-У (зарегистрирован Министерством юстиции Российской Федерации 26 мая 2020 г., регистрационный N 58470);
в) показатели "стоимость чистых активов, в которые инвестированы средства пенсионных накоплений по договорам с негосударственными пенсионными фондами" и "стоимость чистых активов, в которые инвестированы средства пенсионных накоплений по договорам с Фондом пенсионного и социального страхования Российской Федерации" рассчитываются в соответствии с внутренним документом управляющей компании, заключившей договор доверительного управления средствами пенсионных накоплений с Фондом по результатам конкурса, согласованным специализированным депозитарием (его исполнительным органом), заключившим договор с такой управляющей компанией и Фондом, раскрытым управляющей компанией, заключившей договор доверительного управления средствами пенсионных накоплений с Фондом по результатам конкурса, в соответствии с Указанием Банка России от 31 октября 2018 г. N 4954-У "О порядке расчета текущей стоимости активов и стоимости чистых активов, составляющих пенсионные накопления, порядке и сроках расчета стоимости активов, составляющих пенсионные резервы, и совокупной стоимости пенсионных резервов негосударственного пенсионного фонда" (зарегистрирован Министерством юстиции Российской Федерации 28 ноября 2018 г., регистрационный N 52816) с изменениями, внесенными Указанием Банка России от 20 апреля 2020 г. N 5446-У (зарегистрирован Министерством юстиции Российской Федерации 26 мая 2020 г., регистрационный N 58471) (далее - Указание Банка России N 4954-У), на своем официальном интернет-сайте;
(в ред. Приказа Минфина России от 22.12.2023 N 201н)
(см. текст в предыдущей редакции)
г) показатель "стоимость пенсионных резервов негосударственных пенсионных фондов" рассчитывается согласно Указанию Банка России N 4954-У.
22. В случае отсутствия или невозможности определения значения какого-либо показателя в раскрываемой информации, предусмотренной пунктом 3 настоящего Стандарта, в соответствующей графе ставится прочерк.
23. Раскрываемая информация, указанная в подпунктах "в" и "г" пункта 3 настоящего Стандарта, должна быть согласована специализированным депозитарием.
24. В раскрываемой информации, указанной в подпункте "и" пункта 3 настоящего Стандарта:
а) отчетной датой для расчета показателей доходности инвестирования средств пенсионных накоплений является последний календарный день каждого квартала;
б) расчетными периодами для показателя "доходность инвестирования средств пенсионных накоплений за период с начала текущего года" являются 3 месяца, 6 месяцев, 9 месяцев текущего календарного года, а также календарный год;
в) расчетным периодом для показателя "доходность инвестирования средств пенсионных накоплений за предшествующие 12 месяцев" являются 12 календарных месяцев, предшествующих отчетной дате. В доходности инвестирования средств пенсионных накоплений на последний день календарного года показатели "доходность инвестирования средств пенсионных накоплений за период с начала текущего года" и "доходность инвестирования средств пенсионных накоплений за предшествующие 12 месяцев" совпадают;
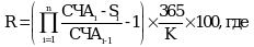
г) показатели "доходность инвестирования средств пенсионных накоплений за период с начала текущего года" и "доходность инвестирования средств пенсионных накоплений за предшествующие 12 месяцев" рассчитываются по формуле:
R - доходность инвестирования средств пенсионных накоплений за расчетный период в процентах годовых;
n - количество дней, в которые происходили поступления/изъятия средств пенсионных накоплений в расчетном периоде, плюс один день (дата конца расчетного периода);
СЧАn - стоимость чистых активов на последний календарный день расчетного периода;
СЧА0 - стоимость чистых активов на последний календарный день, предшествующий расчетному периоду;
СЧАi (0 < i < n) - стоимость чистых активов на дату поступления средств пенсионных накоплений в инвестиционный портфель или изъятия средств пенсионных накоплений из инвестиционного портфеля;
СЧАi-1 - стоимость чистых активов на дату предыдущего поступления или изъятия средств пенсионных накоплений;
Si (0 < i < n) - денежный поток, равный сумме всех поступивших средств минус сумма всех изъятых средств в i-й день поступления/изъятия средств;
К - количество календарных дней в расчетном периоде;
д) расчетным периодом для показателя "средняя доходность инвестирования средств пенсионных накоплений за предшествующие 3 года" являются 36 календарных месяцев, предшествующих отчетной дате;
е) показатель "средняя доходность инвестирования средств пенсионных накоплений за предшествующие 3 года" рассчитывается по формуле:
Rm - средняя доходность инвестирования средств пенсионных накоплений за предшествующие 3 года в процентах годовых;
R1, R2, R3 - доходности инвестирования средств пенсионных накоплений за подпериоды равные по 12 месяцев, рассчитанные в соответствии с Формулой 1, разделенные на 100;
ж) показатель "средняя доходность инвестирования средств пенсионных накоплений за период действия договора доверительного управления средствами пенсионных накоплений" рассчитывается по формуле:
Rm - средняя доходность инвестирования средств пенсионных накоплений за период действия договора доверительного управления средствами пенсионных накоплений в процентах годовых;
Ri - доходности инвестирования средств пенсионных накоплений за подпериоды, рассчитанные в соответствии с Формулой 1, разделенные на 100;
n - количество расчетных периодов;
з) расчетным периодом для показателя "средняя доходность инвестирования средств пенсионных накоплений за период действия договора доверительного управления средствами пенсионных накоплений" является количество подпериодов за период действия договора доверительного управления, заключенного Фондом с управляющей компанией, предшествующих отчетной дате. К подпериодам для показателя "средняя доходность инвестирования средств пенсионных накоплений за период действия договора доверительного управления средствами пенсионных накоплений" относятся 12 месяцев каждого календарного года периода действия договора доверительного управления, заключенного Фондом с управляющей компанией, а также 3 месяца, 6 месяцев и 9 месяцев в случае неполного календарного года;
и) доходность инвестирования средств пенсионных накоплений раскрывается управляющей компанией отдельно по каждому инвестиционному портфелю;
к) показатель "доходность инвестирования средств пенсионных накоплений за предшествующие 12 месяцев" не раскрывается, если срок доверительного управления средствами пенсионных накоплений управляющей компанией составляет менее 12 месяцев;
л) показатель "средняя доходность инвестирования средств пенсионных накоплений за предшествующие 3 года" не раскрывается, если срок доверительного управления средствами пенсионных накоплений управляющей компанией составляет менее 3 лет;
м) при раскрытии информации о доходности инвестирования средств пенсионных накоплений на любую отчетную дату должны раскрываться все четыре показателя (доходность инвестирования средств пенсионных накоплений за период с начала текущего года, доходность инвестирования средств пенсионных накоплений за предшествующие 12 месяцев, средняя доходность инвестирования средств пенсионных накоплений за предшествующие 3 года, средняя доходность инвестирования средств пенсионных накоплений за период действия договора доверительного управления средствами пенсионных накоплений) за исключением случаев, предусмотренных подпунктами "к" и "л" настоящего пункта.
25. В случае, если деятельность по доверительному управлению была начата или прекращена в период, за который раскрывается информация, предусмотренная подпунктом "и" пункта 3 настоящего Стандарта, отчетной датой, указанной в подпункте "а" пункта 24 настоящего Стандарта, считается дата последнего изъятия средств пенсионных накоплений из доверительного управления или последний календарный день квартала, в котором начата деятельность по доверительному управлению, а расчетным периодом, указанным в подпункте "б" пункта 24 настоящего Стандарта, - период с даты первого поступления средств пенсионных накоплений в доверительное управление до даты окончания расчетного периода или период с даты начала расчетного периода до даты последнего изъятия средств из доверительного управления, не включая даты первого поступления или последнего изъятия средств пенсионных накоплений из доверительного управления.
26. При раскрытии информации, предусмотренной подпунктом "и" пункта 3 настоящего Стандарта, необходимо указывать, что показатели доходности инвестирования средств пенсионных накоплений не применяются для отражения результатов инвестирования средств пенсионных накоплений в специальной части индивидуальных лицевых счетов застрахованных лиц.
27. Любая раскрываемая информация не должна содержать недостоверную, заведомо ложную информацию, в том числе информацию, которая не имеет документального подтверждения.
- Гражданский кодекс (ГК РФ)
- Жилищный кодекс (ЖК РФ)
- Налоговый кодекс (НК РФ)
- Трудовой кодекс (ТК РФ)
- Уголовный кодекс (УК РФ)
- Бюджетный кодекс (БК РФ)
- Арбитражный процессуальный кодекс
- Конституция РФ
- Земельный кодекс (ЗК РФ)
- Лесной кодекс (ЛК РФ)
- Семейный кодекс (СК РФ)
- Уголовно-исполнительный кодекс
- Уголовно-процессуальный кодекс
- Производственный календарь на 2025 год
- МРОТ 2025
- ФЗ «О банкротстве»
- О защите прав потребителей (ЗОЗПП)
- Об исполнительном производстве
- О персональных данных
- О налогах на имущество физических лиц
- О средствах массовой информации
- Производственный календарь на 2026 год
- Федеральный закон "О полиции" N 3-ФЗ
- Расходы организации ПБУ 10/99
- Минимальный размер оплаты труда (МРОТ)
- Календарь бухгалтера на 2025 год
- Частичная мобилизация: обзор новостей
- Постановление Правительства РФ N 1875


