постановлением Правительства
Российской Федерации
от 22 февраля 2021 г. N 246
Правила предоставления субсидий из федерального бюджета российским организациям на компенсацию части затрат на производство и реализацию пилотных партий средств производства потребителям изложить в следующей редакции:
постановлением Правительства
Российской Федерации
от 25 мая 2017 г. N 634
(в редакции постановления
Правительства Российской Федерации
от 22 февраля 2021 г. N 246)
ПРЕДОСТАВЛЕНИЯ СУБСИДИЙ ИЗ ФЕДЕРАЛЬНОГО БЮДЖЕТА РОССИЙСКИМ
ОРГАНИЗАЦИЯМ НА КОМПЕНСАЦИЮ ЧАСТИ ЗАТРАТ НА ПРОИЗВОДСТВО
И РЕАЛИЗАЦИЮ ПИЛОТНЫХ ПАРТИЙ СРЕДСТВ
ПРОИЗВОДСТВА ПОТРЕБИТЕЛЯМ
1. Настоящие Правила устанавливают цели, порядок и условия предоставления субсидий из федерального бюджета российским организациям - субъектам деятельности в сфере промышленности на компенсацию части затрат на производство и реализацию пилотных партий средств производства потребителям (далее соответственно - организации, субсидии).
Субсидии предоставляются Министерством промышленности и торговли Российской Федерации в рамках подпрограммы "Развитие производства средств производства" государственной программы Российской Федерации "Развитие промышленности и повышение ее конкурентоспособности" и подпрограмм "Развитие производства телекоммуникационного оборудования", "Развитие производства вычислительной техники", "Развитие производства специального технологического оборудования", "Развитие производства систем интеллектуального управления" государственной программы Российской Федерации "Развитие электронной и радиоэлектронной промышленности" в целях повышения конкурентоспособности средств производства, произведенных на территории Российской Федерации, и стимулирования спроса на новые образцы современных высокотехнологичных средств производства.
Сведения о субсидии размещаются на едином портале бюджетной системы Российской Федерации в информационно-телекоммуникационной сети "Интернет" в разделе "Бюджет" (далее - единый портал) при формировании проекта федерального закона о федеральном бюджете (проекта федерального закона о внесении изменений в федеральный закон о федеральном бюджете).
2. Для целей настоящих Правил в качестве средств производства признаются машины, оборудование, радиоэлектронные комплексы, системы и аппаратура, материалы, используемые для добычи и переработки сырья, производства товарной продукции, а также узлы и агрегаты, электронные компоненты и модули, являющиеся неотъемлемой частью указанных машин и оборудования (далее - продукция), относящиеся к кодам Общероссийского классификатора продукции по видам экономической деятельности (ОКПД 2) по перечню согласно приложению, в случае если выполняется одно из следующих условий:
а) продукция изготовлена в соответствии с рабочей документацией, которая принадлежит организации и разработана ею в течение 1 года до дня подачи указанной в пункте 10 настоящих Правил заявки на участие в отборе (далее - заявка на участие в отборе) или исключительные права на которую организация получила не ранее чем за 1 год до дня подачи заявки на участие в отборе;
б) продукция создана на основании результата интеллектуальной деятельности в виде изобретения, полезной модели, промышленного образца или топологии интегральной микросхемы, заявление на регистрацию исключительных прав на который организация подала не ранее чем за 3 года до дня подачи заявки на участие в отборе или исключительные права на который организация получила не ранее чем за 3 года до дня подачи заявки на участие в отборе;
в) продукция создана на основании результата интеллектуальной деятельности в виде изобретения, полезной модели, промышленного образца или топологии интегральной микросхемы, правовая охрана которому предоставлена не ранее чем за 3 года до дня подачи заявки на участие в отборе и права на использование которого организация получила на основании лицензионного договора, заключенного не ранее чем за 3 года до дня подачи заявки на участие в отборе.
3. Для целей настоящих Правил пилотной признается партия продукции (за исключением образцов продукции, произведенных для осуществления испытаний и сертификации), ранее не производимой на территории Российской Федерации, не реализуемой организацией с аналогичными основными техническими характеристиками и состоящей:
а) из средств производства в количестве не более 15 штук при себестоимости единицы продукции от 1 до 10 млн. рублей, либо в количестве не более 10 штук при себестоимости единицы продукции от 10 до 25 млн. рублей, либо в количестве не более 5 штук при себестоимости единицы продукции свыше 25 млн. рублей;
б) из средств производства, относящихся к кодам Общероссийского классификатора продукции по видам экономической деятельности (ОКПД 2) 20.59.56 для катализаторов каталитического крекинга и катализаторов для процессов Клауса и Сульфрен, 20.41.20 для веществ органических поверхностно-активных (ПАВ), в объеме не менее 200 тонн и не более 1500 тонн, 20.59.59 в объеме не менее 10 тонн и не более 500 тонн, для иных катализаторов в объеме не менее 10 тонн и не более 100 тонн;
в) из средств производства, относящихся к кодам Общероссийского классификатора продукции по видам экономической деятельности (ОКПД 2) 27.31.12, 27.32.13 и 27.32.14, в количестве не менее 1000 метров и не более 100000 метров;
г) из средств производства, относящихся к кодам Общероссийского классификатора продукции по видам экономической деятельности (ОКПД 2) 25.73.4, 25.73.60.120 и 28.24.11.000, в совокупной номенклатуре и количестве не менее 100 единиц и не более 10000 единиц при себестоимости партии не менее 2 млн. рублей;
д) из средств производства, относящихся к кодам Общероссийского классификатора продукции по видам экономической деятельности (ОКПД 2) 26.1, 26.20, 26.30, 26.40, 26.51, 28.23.1, 27.90, 28.99.20, 28.99.5 с субпозициями, в количестве не менее 5 единиц и не более 1000 единиц при себестоимости партии не менее 25 млн. рублей и не более 300 млн. рублей и включенных в единый реестр российской радиоэлектронной продукции в соответствии с постановлением Правительства Российской Федерации от 10 июля 2019 г. N 878 "О мерах стимулирования производства радиоэлектронной продукции на территории Российской Федерации при осуществлении закупок товаров, работ, услуг для обеспечения государственных и муниципальных нужд, о внесении изменений в постановление Правительства Российской Федерации от 16 сентября 2016 г. N 925 и признании утратившими силу некоторых актов Правительства Российской Федерации";
е) из средств производства, относящихся к коду Общероссийского классификатора продукции по видам экономической деятельности (ОКПД 2) 28.99.39.190 (в части переводников буровой колонны), в совокупной номенклатуре и количестве не менее 5 единиц и не более 20 единиц при себестоимости партии не менее 1,5 млн. рублей;
ж) из средств производства, относящихся к коду Общероссийского классификатора продукции по видам экономической деятельности (ОКПД 2) 25.29.12.190, в совокупной номенклатуре и количестве не менее 500 куб. метров и не более 20000 куб. метров при себестоимости партии не менее 2 млн. рублей.
4. Субсидии предоставляются в пределах лимитов бюджетных обязательств, доведенных в установленном порядке до Министерства промышленности и торговли Российской Федерации как получателя средств федерального бюджета на цели, указанные в пункте 1 настоящих Правил, организациям, прошедшим отбор.
Отбор осуществляется путем запроса предложений на основании заявок на участие в отборе, направленных организациями, исходя из соответствия организации - участника отбора требованиям и условиям, установленным пунктами 2, 3 и 9 настоящих Правил, и очередности поступления заявок на участие в отборе (далее - отбор).
Отбор проводится межведомственной комиссией по отбору получателей субсидий, создаваемой Министерством промышленности и торговли Российской Федерации (далее - межведомственная комиссия).
Министерство промышленности и торговли Российской Федерации утверждает положение о межведомственной комиссии.
Объявление о проведении отбора публикуется на едином портале и на официальном сайте Министерства промышленности и торговли Российской Федерации в информационно-телекоммуникационной сети "Интернет" (minpromtorg.gov.ru) не позднее 5 календарных дней до начала срока проведения отбора.
Объявление о проведении отбора содержит информацию о:
датах начала и окончания приема заявок на участие в отборе. Срок приема заявок на участие в отборе составляет не менее 30 календарных дней со дня размещения объявления о проведении отбора;
наименовании, месте нахождения, почтовом адресе, телефоне организатора отбора;
целях, результатах и показателях результативности предоставления субсидии;
сайте в информационно-телекоммуникационной сети "Интернет", на котором обеспечивается проведение отбора;
адресе электронной почты, телефоне контактного лица, представляющего организатора отбора;
требованиях к организациям и документам, представляемым ими для подтверждения их соответствия указанным требованиям;
требованиях к заявке на участие в отборе и документам, предусмотренным пунктом 10 настоящих Правил;
порядке подачи организацией заявки на участие в отборе и документов, предусмотренных пунктом 10 настоящих Правил;
порядке отзыва заявок на участие в отборе, порядке возврата заявок на участие в отборе, порядке внесения изменений в заявки на участие в отборе;
правилах рассмотрения заявок на участие в отборе;
порядке предоставления организациям разъяснений положений объявления о проведении отбора и положений настоящих Правил, а также датах начала и окончания срока такого предоставления;
сроке, в течение которого организации, признанные прошедшими отбор, должны подписать соглашение о предоставлении субсидии;
условиях признания организаций, признанных прошедшими отбор, уклонившимися от заключения соглашения о предоставлении субсидии;
дате размещения результатов отбора на едином портале и на официальном сайте Министерства промышленности и торговли Российской Федерации в информационно-телекоммуникационной сети "Интернет".
5. Субсидии предоставляются на возмещение части документально подтвержденных затрат, направленных на производство и реализацию пилотных партий средств производства потребителям, фактически понесенных организациями в течение 12 месяцев до дня подачи заявления о предоставлении субсидии.
6. Субсидии предоставляются организациям при выполнении в совокупности следующих условий:
а) договор о реализации пилотной партии (в том числе в форме утвержденной спецификации) между организацией и потребителем (далее - договор о реализации пилотной партии (спецификация) заключен в течение 12 месяцев до дня подачи заявки на участие в отборе или предварительный договор между организацией и потребителем (далее - предварительный договор) заключен в течение 12 месяцев до дня подачи заявки на участие в отборе и содержит обязательство сторон по заключению основного договора о реализации пилотной партии в течение 60 календарных дней со дня заключения соглашения о предоставлении субсидии (в отношении одной пилотной партии предусматривается заключение нескольких договоров о реализации пилотной партии (спецификаций) или предварительных договоров);
б) договор о реализации пилотной партии (спецификация) содержит обязательства организации осуществить поставку пилотной партии:
в течение 1,5 лет (18 месяцев) по истечении года, в котором заключено соглашение о предоставлении субсидии (либо предварительный договор содержит обязательство сторон включить в основной договор о реализации пилотной партии обязательство организации осуществить поставку пилотной партии в течение 1,5 лет (18 месяцев) по истечении года, в котором заключено соглашение о предоставлении субсидии, для продукции, относящейся к кодам Общероссийского классификатора продукции по видам экономической деятельности (ОКПД 2) 25.29.1 (в части емкостей металлических для сжатых или сжиженных газов прочих, не включенных в другие группировки, в том числе части емкости (металлические мембраны - элементы первичного барьера защитного контура резервуара СПГ), 28.13.2 (в части криогенных насосов перекачки сжиженного природного газа производительностью более 1000 куб. метров в час, в части криогенных насосов и насосов откачки хладагентов малой и средней мощности (до 250 кВт), в части газораздаточных колонок сжиженного природного газа с узлом коммерческого учета продукции, в части автомобильных газонаполнительных компрессорных станций), 28.25.11 (в части спиральновитых многопоточных теплообменников, включая главный криогенный теплообменник сжиженного природного газа (DN больше 2 м, PN больше 1 МПа, масса более 50 тонн), в части многоступенчатых центробежных компрессоров смешанного хладагента (потребляемая мощность более 50 МВт), в части газовых турбин мощностью более 60 МВт для использования в качестве механического привода компрессорных агрегатов, в части турбодетандерных агрегатов (P больше 5 МВт, работа на влагонасыщенном газе (100 процентов), до 3 - 5 процентов жидкости во входном потоке), в части турбин расширения сжиженного природного газа), 28.11.2 (турбины), 28.41.1 (станки для обработки металлов лазером и станки аналогичного типа; обрабатывающие центры и станки аналогичного типа), 28.41.2 (станки токарные, расточные и фрезерные металлорежущие), 28.41.3 (станки металлообрабатывающие прочие), 28.41.4 (части и принадлежности станков для обработки металлов), 28.49.1 (станки для обработки камня, дерева и аналогичных твердых материалов), 28.92.12.121 (комбайны проходческие);
не позднее 31 декабря года, следующего за годом, в котором заключено соглашение о предоставлении субсидии (или предварительный договор содержит обязательство сторон включить в основной договор обязательство организации осуществить поставку пилотной партии не позднее 31 декабря года, следующего за годом, в котором заключено соглашение о предоставлении субсидии, для продукции, относящейся к кодам Общероссийского классификатора продукции по видам экономической деятельности (ОКПД 2), предусмотренным приложением к настоящим Правилам, не указанным в абзаце втором настоящего подпункта);
в) потребитель и организация не являются аффилированными лицами, признанными таковыми в соответствии с антимонопольным законодательством Российской Федерации;
г) выписка из Единого государственного реестра юридических лиц, представление которой предусмотрено подпунктом "б" пункта 10 настоящих Правил, содержащая сведения о видах экономической деятельности по Общероссийскому классификатору видов экономической деятельности (ОКВЭД 2), в соответствии с которыми осуществляется производство продукции, составляющей пилотную партию;
д) цена пилотной партии (без налога на добавленную стоимость), установленная в соответствии с договором о реализации пилотной партии (спецификацией) или предварительным договором, не превышает себестоимость соответствующих средств производства, определенную в соответствии с учетной политикой организации, уменьшенную на размер запрашиваемой субсидии и увеличенную на размер прибыли, но не более 5 процентов себестоимости соответствующих средств производства. В случае если договор о реализации пилотной партии (спецификация) или предварительный договор заключен в иностранной валюте, цена пилотной партии рассчитывается в рублях по курсу Центрального банка Российской Федерации на день заключения договора о реализации пилотной партии (спецификации) или предварительного договора.
Предоставление организацией предварительного договора возможно только в случае участия в отборе, объявленном до 1 июля текущего финансового года.
7. Субсидии предоставляются в размере не более 50 процентов общего размера следующих фактически понесенных затрат (всех или отдельных видов), входящих в определенную в соответствии с учетной политикой себестоимость пилотной партии:
а) затраты на оплату сырья, материалов и комплектующих, необходимых для производства пилотной партии;
б) затраты на оплату изготовления и (или) приобретения оснастки, используемой для производства пилотной партии (не более 20 процентов размера предоставляемой субсидии);
в) затраты на оплату труда работников, занятых в производстве пилотной партии, в размере, не превышающем уровня средней заработной платы в регионе, в котором производится пилотная партия;
г) затраты на приобретение расходного инструмента для производства пилотной партии (не более 10 процентов размера предоставляемой субсидии);
д) затраты на топливо и электрическую энергию для технологических операций, осуществляемых при производстве пилотной партии (не более 5 процентов размера предоставляемой субсидии);
е) логистические затраты на поставку пилотной партии (не более 10 процентов размера предоставляемой субсидии).
8. Затраты учитываются без налогов, сборов, страховых взносов и иных обязательных платежей, подлежащих уплате в бюджеты бюджетной системы Российской Федерации и внебюджетные фонды в соответствии с законодательством Российской Федерации о налогах и сборах. В части налога на добавленную стоимость исключение составляют организации, освобожденные от его уплаты в соответствии с законодательством Российской Федерации.
9. Право на получение субсидии имеет организация, соответствующая по состоянию на дату не ранее чем 15-е число месяца, предшествующего месяцу, в котором подана заявка на участие в отборе, следующим требованиям:
а) у организации отсутствует неисполненная обязанность по уплате налогов, сборов, страховых взносов, пеней, штрафов, процентов, подлежащих уплате в соответствии с законодательством Российской Федерации о налогах и сборах;
б) организация не получает средства из федерального бюджета на основании иных нормативных правовых актов на цели, указанные в пункте 1 настоящих Правил;
в) у организации отсутствуют просроченная задолженность по возврату в федеральный бюджет субсидий, бюджетных инвестиций, предоставленных в том числе в соответствии с иными правовыми актами, и иная просроченная (неурегулированная) задолженность по денежным обязательствам перед Российской Федерацией;
г) организация не является иностранным юридическим лицом, а также российским юридическим лицом, в уставном (складочном) капитале которого доля участия иностранных юридических лиц, местом регистрации которых являются государство или территория, включенные в утвержденный Министерством финансов Российской Федерации перечень государств и территорий, предоставляющих льготный налоговый режим налогообложения и (или) не предусматривающих раскрытия и предоставления информации при проведении финансовых операций (офшорные зоны) в отношении таких юридических лиц, в совокупности превышает 50 процентов;
д) организация не находится в процессе реорганизации, ликвидации, в отношении нее не введена процедура банкротства, ее деятельность не приостановлена в порядке, предусмотренном законодательством Российской Федерации;
е) в реестре дисквалифицированных лиц отсутствуют сведения о дисквалифицированных руководителе, членах коллегиального исполнительного органа, лице, исполняющем функции единоличного исполнительного органа, или главном бухгалтере (при наличии) организации;
ж) в государственной информационной системе промышленности содержится информация об организации, предусмотренная и предоставляемая в порядке, установленном постановлением Правительства Российской Федерации от 21 декабря 2017 г. N 1604 "О предоставлении субъектами деятельности в сфере промышленности, органами государственной власти и органами местного самоуправления информации для включения в государственную информационную систему промышленности и размещении информации государственной информационной системы промышленности в открытом доступе в информационно-телекоммуникационной сети "Интернет".
10. Для участия в отборе организация в срок, указанный в объявлении о проведении отбора, представляет в Министерство промышленности и торговли Российской Федерации заявку на участие в отборе (в произвольной форме) с указанием наименования организации, места нахождения и юридического адреса организации, подписанную руководителем организации, и следующие документы (в том числе на электронном носителе в форме электронного документа в виде цветного изображения формата PDF):
а) сопроводительное письмо (в произвольной форме), подписанное руководителем организации, с указанием размера запрашиваемой субсидии, наименования средства производства, кода Общероссийского классификатора продукции по видам экономической деятельности (ОКПД 2) и перечня технических характеристик для продукции, в отношении которой запрашивается субсидия, цикла производства, вида прав на результаты интеллектуальной деятельности, используемые для производства продукции, с указанием реквизитов документа, подтверждающего такие права, размера фактической себестоимости (либо плановой себестоимости) единицы средства производства, составляющих пилотную партию (без налога на добавленную стоимость с учетом исключения, установленного пунктом 8 настоящих Правил), определенной в соответствии с учетной политикой организации, количества единиц в пилотной партии;
б) выписка из Единого государственного реестра юридических лиц, заверенная в установленном порядке, либо сведения о юридическом лице, полученные с официального сайта Федеральной налоговой службы, не позднее одного месяца до дня подачи заявки на участие в отборе (в случае непредставления организацией такого документа Министерство промышленности и торговли Российской Федерации запрашивает его самостоятельно);
в) справка налогового органа, подтверждающая отсутствие у организации по состоянию на дату не ранее чем 15-е число месяца, предшествующего месяцу, в котором подается заявка на участие в отборе, неисполненной обязанности по уплате налогов, сборов, страховых взносов, пеней, штрафов, процентов, подлежащих уплате в соответствии с законодательством Российской Федерации о налогах и сборах (в случае непредставления организацией такого документа Министерство промышленности и торговли Российской Федерации запрашивает его самостоятельно);
г) справка, подписанная руководителем и главным бухгалтером организации (при наличии), подтверждающая соответствие организации по состоянию на дату не ранее чем 15-е число месяца, предшествующего месяцу, в котором подается заявка на участие в отборе, требованиям, установленным подпунктами "б" - "ж" пункта 9 настоящих Правил;
д) копия договора о реализации пилотной партии (спецификации) или копия предварительного договора в отношении пилотной партии, заверенная подписью руководителя и печатью организации (при наличии);
е) подписанное руководителем организации заявление (в произвольной форме) о том, что потребитель и организация не являются аффилированными лицами, признанными таковыми в соответствии с антимонопольным законодательством Российской Федерации;
ж) копии документов, подтверждающих наличие прав на результаты интеллектуальной деятельности, используемые для производства продукции, на возмещение части затрат на производство и реализацию пилотной партии которой планируется получение субсидии (действующие в течение периода времени, необходимого для исполнения обязательств по соглашению о представлении субсидии), либо копии документов, подтверждающих наличие прав на рабочую документацию, используемую для производства продукции, в отношении которой запрашивается субсидия (действующие в течение периода времени, необходимого для исполнения обязательств по соглашению о представлении субсидии). В качестве документов, подтверждающих наличие прав на результаты интеллектуальной деятельности, исключительное право на которые возникло в соответствии с законодательством Российской Федерации, представляются заверенные подписью руководителя и печатью организации (при наличии) копии патента, свидетельства о регистрации, лицензионных договоров, поданных заявлений о выдаче патента на изобретение, полезную модель или промышленный образец или заявлений о государственной регистрации топологии интегральной микросхемы и иных документов. В качестве документов, подтверждающих наличие прав на результаты интеллектуальной деятельности, исключительное право на которые возникло в соответствии с законодательством иностранного государства, представляются апостилированные копии документов, подтверждающих наличие исключительных прав или прав использования результата интеллектуальной деятельности (патент, свидетельство о регистрации, лицензионный договор и иные документы), переведенные на русский язык (верность перевода и подлинность подписи переводчика должны быть нотариально засвидетельствованы). В качестве документов, подтверждающих наличие прав на рабочую документацию, представляются заверенные подписью руководителя и печатью организации (при наличии) копии документов, на основании которых организацией было получено право на рабочую документацию, а также копии карточек учета рабочей документации в качестве инвентарного объекта (нематериального актива);
з) расчет фактической себестоимости (либо плановой себестоимости) пилотной партии, определенной в соответствии с учетной политикой организации, с выделением статей затрат, на которые в соответствии с пунктом 7 настоящих Правил предоставляется субсидия, подписанный руководителем и главным бухгалтером организации (при наличии);
и) копия документа об утверждении учетной политики организации, заверенная руководителем и главным бухгалтером организации (при наличии) и скрепленная печатью организации (при наличии);
к) копии первичных бухгалтерских документов, свидетельствующих о передаче пилотной партии потребителю (счетов-фактур, актов приема-передачи (при наличии), товарных накладных, универсальных передаточных документов), заверенные руководителем и главным бухгалтером организации (при наличии) и скрепленные печатью организации (при наличии), - в случае если на момент подачи заявки на участие в отборе пилотная партия была реализована;
л) согласие (в произвольной форме) на публикацию (размещение) в информационно-телекоммуникационной сети "Интернет" информации об организации, о подаваемой организацией заявке на участие в отборе, иной информации об организации, связанной с соответствующим отбором, подписанное руководителем организации.
11. В рамках отбора одна организация может подать не более 10 заявок на участие в отборе на общую сумму субсидии, не превышающую предельные размеры, установленные пунктом 23 настоящих Правил.
12. Министерство промышленности и торговли Российской Федерации регистрирует в установленном порядке документы, указанные в пункте 10 настоящих Правил, и в течение 10 календарных дней со дня окончания приема заявок на участие в отборе, указанного в объявлении о проведении отбора, передает их в межведомственную комиссию.
13. Межведомственная комиссия в течение 20 рабочих дней со дня получения документов, указанных в пункте 10 настоящих Правил, проводит отбор и принимает решение о прохождении организацией отбора или об отклонении заявки на участие в отборе.
14. Решение об отклонении заявки на участие в отборе принимается в следующих случаях:
а) несоответствие организации требованиям, установленным пунктом 9 настоящих Правил;
б) документы, представленные организацией, не соответствуют требованиям и условиям, установленным пунктами 1 - 3, 6, 9 и 10 настоящих Правил и объявлением о проведении отбора;
в) документы, представленные организацией в соответствии с пунктом 10 настоящих Правил, содержат недостоверную информацию, в том числе информацию о месте нахождения и адресе организации;
г) документы, предусмотренные пунктом 10 настоящих Правил, не представлены (представлены не в полном объеме);
д) документы, предусмотренные пунктом 10 настоящих Правил, поданы после даты и (или) времени, определенных для подачи заявок на участие в отборе.
15. В случае принятия решения об отклонении заявки на участие в отборе Министерство промышленности и торговли Российской Федерации в течение 5 рабочих дней со дня принятия решения, указанного в пункте 13 настоящих Правил, уведомляет организацию о принятом решении в письменной форме с указанием причин отклонения заявки на участие в отборе и с приложением представленных организацией документов.
16. Министерство промышленности и торговли Российской Федерации в течение 14 календарных дней со дня принятия решения, указанного в пункте 13 настоящих Правил, обеспечивает размещение информации о результатах отбора на едином портале и на официальном сайте Министерства промышленности и торговли Российской Федерации в информационно-телекоммуникационной сети "Интернет" с указанием даты, времени и места проведения рассмотрения заявок на участие в отборе, информации об организациях, подавших заявки на участие в отборе, информации об организациях, заявки на участие в отборе которых были отклонены (с указанием причин отклонения заявки со ссылкой на соответствующее положение настоящих Правил), информации об организациях, с которыми планируется заключение соглашений (с указанием сумм запрашиваемой субсидии, указанных в заявках на участие в отборе).
17. Министерство промышленности и торговли Российской Федерации в течение 15 рабочих дней со дня опубликования результатов отбора заключает с организацией, прошедшей отбор, соглашение о предоставлении субсидии в соответствии с типовой формой, установленной Министерством финансов Российской Федерации, в котором предусматриваются в том числе:
а) наименование и код Общероссийского классификатора продукции по видам экономической деятельности (ОКПД 2) соответствующей продукции, пилотная партия которой была передана или планируется к передаче потребителям;
б) показатель, необходимый для достижения результата предоставления субсидии, и показатели результативности предоставления субсидии, определенные в соответствии с пунктами 25 и 26 настоящих Правил, а также ответственность за их недостижение;
в) согласие организации на осуществление Министерством промышленности и торговли Российской Федерации и органами государственного финансового контроля проверок соблюдения организацией целей, порядка и условий предоставления субсидии, которые установлены соглашением о предоставлении субсидии и настоящими Правилами;
г) обязанность организации возвратить субсидию в доход федерального бюджета в случае установления факта нарушения организацией целей, порядка и условий предоставления субсидии, сумма субсидии, подлежащая возврату в доход федерального бюджета, и сроки осуществления возврата соответствующих денежных средств;
д) обязанность организации, которая представила для прохождения отбора предварительный договор, направить в Министерство промышленности и торговли Российской Федерации заверенную подписью руководителя и печатью организации (при наличии) копию основного договора на реализацию пилотной партии, заключенного во исполнение соответствующего предварительного договора, в составе документов, предусмотренных пунктом 19 настоящих Правил. В случае непредставления указанного документа субсидия не может быть предоставлена;
е) обязанность организации в случае получения субсидии на основании поданного заявления о выдаче патента на изобретение, полезную модель или промышленный образец или заявления о государственной регистрации топологии интегральной микросхемы представить в Министерство промышленности и торговли Российской Федерации заверенную подписью руководителя и печатью организации (при наличии) копию соответствующего охранного документа в течение 10 рабочих дней со дня его получения организацией. В случае неполучения охранного документа в течение 3 лет со дня получения субсидии организация обязана вернуть предоставленную субсидию в доход федерального бюджета;
ж) право Министерства промышленности и торговли Российской Федерации в случае неисполнения организацией обязательства, указанного в подпункте "е" настоящего пункта, в одностороннем порядке расторгнуть соглашение о предоставлении субсидии и направить организации требование о возврате полученной субсидии;
з) обязанность организации, прошедшей отбор, объявленный до 1 июля текущего финансового года, направить в Министерство промышленности и торговли Российской Федерации до 1 сентября текущего финансового года подписанный руководителем и главным бухгалтером организации (при наличии) предварительный расчет (в произвольной форме) размера запрашиваемой субсидии (далее - предварительный расчет) с указанием даты подачи заявления о предоставления субсидии (не позднее срока, указанного в абзаце первом пункта 19 настоящих Правил), размера и вида фактически понесенных и оплаченных затрат (по состоянию на дату предоставления предварительного расчета), а также размера и вида затрат, которые еще будут понесены и оплачены организацией до дня подачи заявления о предоставлении субсидии. В случае сокращения потребности организации в субсидии Министерство промышленности и торговли Российской Федерации до 15 сентября текущего финансового года заключает с ней дополнительное соглашение к соглашению о предоставлении субсидии с указанием уменьшенного размера субсидии, приведенного в предварительном расчете;
и) условия и порядок согласования новых условий соглашения о предоставлении субсидии или расторжения соглашения о предоставлении субсидии при недостижении согласия в отношении новых условий в случае невозможности предоставления субсидии в размере, определенном в соглашении, по причине уменьшения лимитов бюджетных обязательств, доведенных в установленном порядке до Министерства промышленности и торговли Российской Федерации как получателя средств федерального бюджета на цели, указанные в пункте 1 настоящих Правил;
к) расчетный счет организации, открытый в российской кредитной организации, на который перечисляется субсидия;
л) условия и порядок расторжения соглашения о предоставлении субсидии и заключения дополнительного соглашения к соглашению о предоставлении субсидии, в том числе дополнительного соглашения о расторжении соглашения.
18. Соглашение о предоставлении субсидии (дополнительное соглашение к соглашению о предоставлении субсидии, в том числе дополнительное соглашение о расторжении соглашения о предоставлении субсидии) с соблюдением требований о защите государственной тайны заключается в форме электронного документа в государственной интегрированной информационной системе управления общественными финансами "Электронный бюджет" и подписывается усиленной квалифицированной электронной подписью лиц, имеющих право действовать от имени каждой из сторон.
В случае если по истечении срока, указанного в абзаце первом пункта 17 настоящих Правил, организация не подписала усиленной квалифицированной электронной подписью соглашение о предоставлении субсидии, направленное ей Министерством промышленности и торговли Российской Федерации в форме электронного документа в государственной интегрированной информационной системе управления общественными финансами "Электронный бюджет", она считается уклонившейся от заключения соглашения. В течение 5 рабочих дней по истечении срока, указанного в абзаце первом пункта 17 настоящих Правил, Министерство промышленности и торговли Российской Федерации уведомляет в письменной форме такую организацию о невозможности заключения с ней соглашения о предоставлении субсидии.
19. Для получения субсидии организация, прошедшая отбор, объявленный до 1 июля текущего финансового года, направляет в Министерство промышленности и торговли Российской Федерации не позднее 15 октября текущего финансового года заявление о предоставлении субсидии и следующие документы (в том числе на электронном носителе в форме электронного документа в виде цветного изображения формата PDF):
а) расчет размера субсидии в произвольной форме, подписанный руководителем и главным бухгалтером организации (при наличии) и заверенный печатью организации (при наличии);
б) копии первичных бухгалтерских документов (универсальных передаточных документов, счетов-фактур, актов сдачи-приемки выполненных работ, товарных накладных, платежных ведомостей, документов, подтверждающих численность основного и привлеченного персонала, копий платежных поручений, реестров платежных поручений), заверенные руководителем и главным бухгалтером организации (при наличии) и скрепленные печатью организации (при наличии), подтверждающие указанные в пункте 7 настоящих Правил фактически понесенные затраты;
в) копии платежных документов, заверенные кредитной организацией, в которой открыт счет организации, с которого производились платежи, подтверждающие затраты, указанные в пункте 7 настоящих Правил;
г) копия технических условий на продукцию пилотной партии (при наличии), копии конструкторских документов, разработанных в соответствии с ГОСТ 2.102-2013 "Межгосударственный стандарт. Единая система конструкторской документации. Виды и комплектность конструкторских документов" (копия чертежа общего вида на продукцию пилотной партии, копии спецификаций, копия ведомости покупных изделий), копии технологической документации, разработанной в соответствии с ГОСТ 3.1102-2011 "Межгосударственный стандарт. Единая система технологической документации. Стадии разработки и виды документов. Общие положения" (копия ведомости оснастки, копия ведомости оборудования, копия ведомости материалов), и копии иных документов, содержащих в том числе информацию об используемых материалах и комплектующих, заверенные руководителем организации и скрепленные печатью организации (при наличии);
д) копии первичных бухгалтерских документов, свидетельствующих о передаче пилотной партии потребителю (счетов-фактур, актов приема-передачи (при наличии), товарных накладных, универсальных передаточных документов), заверенные руководителем и главным бухгалтером организации (при наличии) и скрепленные печатью организации (при наличии), - в случае если на момент подачи заявления о предоставлении субсидии пилотная партия была реализована и эти документы не представлялись ранее;
е) копия основного договора на реализацию пилотной партии, заключенного во исполнение соответствующего предварительного договора, заверенная подписью руководителя и печатью организации (при наличии), - в случае если в заявке на участие в отборе организацией был представлен предварительный договор.
20. Для получения субсидии организация, прошедшая отбор, объявленный после 1 июля текущего финансового года, представляет в Министерство промышленности и торговли Российской Федерации в течение 15 рабочих дней со дня заключения соглашения о предоставлении субсидии заявление о представлении субсидии и документы, указанные в пункте 19 настоящих Правил.
21. Министерство промышленности и торговли Российской Федерации в установленном порядке регистрирует заявление о предоставлении субсидии и документы, указанные в пункте 19 настоящих Правил, в порядке их поступления.
22. Министерство промышленности и торговли Российской Федерации в течение 20 рабочих дней со дня регистрации представленных заявления и документов, указанных в пункте 19 настоящих Правил, рассматривает их в порядке поступления, проверяет полноту и достоверность сведений, содержащихся в них, и принимает решение о предоставлении субсидии или об отказе в ее предоставлении.
В случае принятия решения о предоставлении организации субсидии, но невозможности ее предоставления в размере, подтвержденном на основании документов, указанных в пункте 19 настоящих Правил, в текущем финансовом году в связи с недостатком лимитов бюджетных обязательств, доведенных в установленном порядке в текущем финансовом году до Министерства промышленности и торговли Российской Федерации как получателя средств федерального бюджета на цели, указанные в пункте 1 настоящих Правил, Министерство промышленности и торговли Российской Федерации в течение 10 рабочих дней со дня принятия указанного решения уведомляет такую организацию об отказе в предоставлении субсидии в текущем финансовом году и о возможности перечисления субсидии в следующем финансовом году без повторного прохождения отбора в течение 1 месяца со дня доведения до Министерства промышленности и торговли Российской Федерации как получателя средств федерального бюджета на цели, указанные в пункте 1 настоящих Правил, соответствующих лимитов бюджетных обязательств.
Основаниями для отказа в предоставлении субсидии являются:
несоответствие представленных документов положениям, предусмотренным пунктами 5, 7 и 19 настоящих Правил;
непредставление (представление не в полном объеме) указанных документов;
установление факта недостоверности представленной организацией информации.
В случае принятия решения об отказе организации в предоставлении субсидии Министерство промышленности и торговли Российской Федерации уведомляет организацию о принятом решении в письменной форме с указанием причин отказа и с приложением представленных организацией документов.
23. Размер субсидии, предоставляемой одной организации, прошедшей отбор, не может превышать 150 млн. рублей. В случае производства и реализации пилотной партии, состоящей из продукции, относящейся к кодам Общероссийского классификатора продукции по видам экономической деятельности (ОКПД 2) 28.11.2, 28.92.12.121, 27.11.32 (в части автономных СПГ энергетических комплексов на базе газопоршневых агрегатов), 26.1, 26.20, 26.30, 26.40, 26.51, 28.23.1, 28.99.20 и 28.99.5, размер субсидии, предоставляемой одной организации, прошедшей отбор, не может превышать 300 млн. рублей.
Размер субсидии определяется по формуле:
S = (a1 + a2 + a3 + a4 + a5 + a6) x Q x 0,5,
a1 - затраты на оплату сырья, материалов и комплектующих, необходимых для производства единицы продукции пилотной партии;
a2 - затраты на оплату изготовления и (или) приобретения оснастки, используемой для производства единицы продукции пилотной партии (размер не должен превышать предела, установленного пунктом 7 настоящих Правил);
a3 - затраты на оплату труда работников, занятых в производстве пилотной партии, в размере, не превышающем уровня средней заработной платы в регионе, в котором производится пилотная партия;
a4 - затраты на приобретение расходного инструмента для производства единицы продукции пилотной партии (размер не должен превышать предела, установленного пунктом 7 настоящих Правил);
a5 - затраты на топливо и электрическую энергию для технологических операций, осуществляемых при производстве единицы продукции пилотной партии (размер не должен превышать предела, установленного пунктом 7 настоящих Правил);
a6 - логистические затраты на поставку единицы продукции пилотной партии (размер не должен превышать предела, установленного пунктом 7 настоящих Правил);
Q - количество единиц в пилотной партии.
В случае если затраты, включенные в расчет размера субсидии, не соответствуют требованиям, предусмотренным пунктами 5 и 7 настоящих Правил, а также в случае отсутствия документов, подтверждающих фактически произведенные затраты, субсидия предоставляется в размере, уменьшенном на сумму таких затрат.
24. Перечисление субсидии осуществляется не позднее 10 рабочих дней со дня принятия решения о предоставлении субсидии, указанного в пункте 22 настоящих Правил, в установленном порядке на расчетный счет организации, открытый в российской кредитной организации.
25. Результатом предоставления субсидии является стоимостный объем реализации продукции, на возмещение части затрат на производство и реализацию пилотной партии которой предоставляется субсидия, в сроки, установленные в соответствии с подпунктом "б" пункта 6 настоящих Правил.
Показатель, необходимый для достижения результата предоставления субсидии, определяется по формуле:
Z - фактическая себестоимость (либо плановая себестоимость) пилотной партии, представленная организацией в составе заявки на отбор;
S - размер предоставленной субсидии.
26. Показателями результативности предоставления субсидии являются:
а) превышение в течение 3 лет начиная с года, следующего за годом получения субсидии, стоимостным объемом реализации продукции, на производство и реализацию пилотной партии которой предоставлена субсидия, размера полученной субсидии не менее чем в 10 раз;
б) реализация в течение 3 лет начиная с года, следующего за годом получения субсидии, продукции, на возмещение части затрат на производство и реализацию пилотных партий которой предоставляется субсидия, относящейся к следующим кодам Общероссийского классификатора продукции по видам экономической деятельности (ОКПД 2):
28.11.2, 28.41.33 и 28.25.11 (в части спиральновитых многопоточных теплообменников, включая главный криогенный теплообменник сжиженного природного газа (DN больше 2 метров, PN больше 1 МПа, масса более 50 тонн), в части многоступенчатых центробежных компрессоров смешанного хладагента (потребляемая мощность более 50 МВт), в части газовых турбин мощностью более 60 МВт для использования в качестве механического привода компрессорных агрегатов, в части турбодетандерных агрегатов (Р больше 5 МВт, работа на влагонасыщенном газе (100 процентов), до 3 - 5 процентов жидкости во входном потоке), в части турбин расширения сжиженного природного газа), 28.29 (в части многоступенчатых центробежных компрессоров монохладагента (этан, пропан) холодильного цикла (потребляемая мощность более 50 МВт), 28.13.2 (в части криогенных насосов перекачки сжиженного природного газа производительностью более 1000 куб. метров в час, в части криогенных насосов и насосов откачки хладагентов малой и средней мощности (до 250 кВт), в части газораздаточных колонок сжиженного природного газа с узлом коммерческого учета продукции, в части автомобильных газонаполнительных компрессорных станций) - в количестве не менее 2 единиц;
25.29.1, 28.29.12, 25.30.12.115, 25.30.22.124, 28.25.11 и 28.92.12.121 - в количестве не менее 4 единиц;
25.73.4 и 27.11.32 (в части автономных СПГ энергетических комплексов на базе газопоршневых агрегатов), 27.90.31, 28.24.11, 28.49.2 - в количестве, не менее чем в 4 раза превышающем объем пилотной партии;
28.22.14.110, 28.22.14.121, 28.22.14.122, 28.22.14.123, 28.22.14.125, 28.22.14.126, 28.22.14.129, 28.22.14.140, 28.22.14.159, 28.29.11.130 и 28.99.39.190 - в количестве не менее 5 единиц;
28.13.14.110 (в части криогенных насосов перекачки сжиженного природного газа и криогенных насосов откачки хладагентов) - в количестве, не менее чем в 2 раза превышающем объем пилотной партии;
20.41.20, 20.59.59, 20.59.56, 27.31.12, 27.32.13 и 27.32.14 - в количестве, не менее чем в 5 раз превышающем объем пилотной партии;
26.1, 26.20, 26.30, 26.40, 26.51, 26.60, 26.70, 26.80, 27.40, 28.22.14.129, 28.23.1, 27.51, 27.90, 28.99.20, 28.99.5 и 32.50.21 - в количестве, не менее чем в 3 раза превышающем объем пилотной партии;
иные коды, предусмотренные приложением к настоящим Правилам, не указанные в настоящем подпункте, - в количестве, не менее чем в 10 раз превышающем объем пилотной партии.
27. Организация обязана в течение 4 лет начиная с года, следующего за годом получения субсидии, ежегодно, до 15 февраля, представлять в Министерство промышленности и торговли Российской Федерации отчет о достижении организацией показателя, необходимого для достижения результата предоставления субсидии, установленного в соответствии с пунктом 25 настоящих Правил, и показателей результативности предоставления субсидии, установленных в соответствии с пунктом 26 настоящих Правил, по форме, определенной типовой формой соглашения, утвержденной Министерством финансов Российской Федерации.
28. Организация обязана представить в Министерство промышленности и торговли Российской Федерации однократно до 1 мая года, следующего за годом передачи пилотной партии потребителю (в случае передачи пилотной партии в течение года получения субсидии либо года, следующего за годом получения субсидии), следующие документы:
копия действующего на дату представления документов, предусмотренных настоящим пунктом, заключения о подтверждении производства промышленной продукции на территории Российской Федерации, выданного в соответствии с Правилами выдачи заключения о подтверждении производства промышленной продукции на территории Российской Федерации, утвержденными постановлением Правительства Российской Федерации от 17 июля 2015 г. N 719 "О подтверждении производства промышленной продукции на территории Российской Федерации", в отношении субсидируемой продукции;
расчет фактической себестоимости пилотной партии по данным автоматизированной программы для ведения бухгалтерского учета, использование которой предусмотрено учетной политикой организации, подписанный руководителем и главным бухгалтером организации (при наличии), подтвержденный первичными бухгалтерскими документами, заверенными руководителем и главным бухгалтером организации (при наличии) и скрепленными печатью организации (при наличии);
копии первичных бухгалтерских документов, свидетельствующих о передаче пилотной партии потребителю (счетов-фактур, актов приема-передачи (при наличии), товарных накладных, универсальных передаточных документов), заверенные руководителем и главным бухгалтером организации (при наличии) и скрепленные печатью организации (при наличии), а также подтверждение оплаты в соответствии с договором о реализации пилотной партии (спецификацией) (в случае если указанные документы не представлялись ранее).
В случае получения субсидии на основании поданного заявления о выдаче патента на изобретение, полезную модель или промышленный образец или заявления о государственной регистрации топологии интегральной микросхемы организация обязана представить в Министерство промышленности и торговли Российской Федерации заверенную подписью руководителя и печатью организации (при наличии) копию соответствующего охранного документа в год его получения организацией.
В случае передачи пилотной партии потребителю в период, выходящий за рамки года, следующего за годом получения субсидии, но не превышающий срок, установленный подпунктом "б" пункта 6 настоящих Правил, организация обязана представить в Министерство промышленности и торговли Российской Федерации документы, указанные в абзацах втором - четвертом настоящего пункта, до 1 августа года реализации пилотной партии потребителю.
29. В случае недостижения показателя, необходимого для достижения результата предоставления субсидии, установленного пунктом 25 настоящих Правил, сумма субсидии, подлежащая возврату в доход федерального бюджета (V), определяется по формуле:
S - размер предоставленной субсидии;
k - дополнительный коэффициент возврата, учитывающий средний размер ключевой ставки, устанавливаемой Центральным банком Российской Федерации, расчет которого осуществляется следующим образом:
s - количество лет с момента заключения организацией соглашения о предоставлении субсидии (дробное значение с округлением до десятой доли при наличии неполных лет);
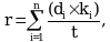
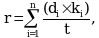
r - средний размер ключевой ставки, устанавливаемой Центральным банком Российской Федерации, рассчитываемый по формуле:
n - количество периодов, в которых действовали различные уровни ключевой ставки, устанавливаемые Центральным банком Российской Федерации;
di - количество календарных дней действия i-й ключевой ставки, установленной Центральным банком Российской Федерации (в пределах периода со дня заключения организацией соглашения о предоставлении субсидии);
ki - значения уровней ключевой ставки, устанавливаемые Центральным банком Российской Федерации;
t - суммарное количество календарных дней со дня заключения организацией соглашения о предоставлении субсидии.
30. В случае недостижения показателей результативности предоставления субсидии, установленных пунктом 26 настоящих Правил, сумма субсидии, подлежащая возврату в доход федерального бюджета (P), определяется по формуле:
Vf - фактическое значение стоимостного объема реализации продукции, на производство и реализацию пилотной партии которой предоставлена субсидия;
Vp - плановое значение показателя результативности предоставления субсидии, установленного в соответствии с подпунктом "а" пункта 26 настоящих Правил;
Qf - фактическое значение количественного объема реализованных средств производства, относящихся к определенному коду Общероссийского классификатора продукции по видам экономической деятельности (ОКПД 2);
Qp - плановое значение показателя результативности предоставления субсидии, установленного в соответствии с подпунктом "б" пункта 26 настоящих Правил.
В случае если фактическое значение результата предоставления субсидии превышает плановое, его размер для целей настоящего расчета приравнивается к плановому значению.
В случае если фактическое значение показателей результативности предоставления субсидии не превышает 60 процентов планового, то сумма субсидии, подлежащая возврату в доход федерального бюджета (P), определяется по формуле:
31. В отношении соглашений о предоставлении субсидии, заключенных до 1 марта 2020 г., сроки исполнения обязательств по которым оканчиваются после 1 марта 2020 г., в случае невозможности достижения значений показателей результативности, установленных в соглашениях о предоставлении субсидии, в сроки, установленные в соглашениях о предоставлении субсидии на 2020 год, по независящим от организации - получателя субсидии обстоятельствам в связи с распространением новой коронавирусной инфекции на территории Российской Федерации допускается продление таких сроков до 12 месяцев без возврата средств субсидии в доход федерального бюджета в соответствии с настоящими Правилами на основании заявления в письменной форме с приложением документов, подтверждающих наступление таких обстоятельств, поступившего от организации - получателя субсидии в Министерство промышленности и торговли Российской Федерации до 1 февраля 2021 г.
32. В случае установления по итогам проверок, проведенных Министерством промышленности и торговли Российской Федерации и органами государственного финансового контроля, факта нарушения целей, порядка и условий предоставления субсидии, предусмотренных настоящими Правилами, соответствующие средства подлежат возврату в доход федерального бюджета:
на основании требований Министерства промышленности и торговли Российской Федерации - не позднее 15-го рабочего дня со дня получения организацией указанного требования;
на основании представления и (или) предписания органа государственного финансового контроля - в сроки, установленные в соответствии с бюджетным законодательством Российской Федерации.
к Правилам предоставления субсидий
из федерального бюджета российским
организациям на компенсацию части
затрат на производство и реализацию
пилотных партий средств
производства потребителям
|
Код Общероссийского классификатора продукции по видам экономической деятельности (ОКПД 2) |
||
|
из 20.59.59 |
синтетические цеолиты (молекулярные сита); высоко кремнеземные цеолиты |
|
|
из 20.59.59 |
||
|
из 20.59.59 |
||
|
из 20.59.56 |
||
|
из 20.41.20 |
||
|
из 24.10.11.136 |
мелющие шары из высокохромистого чугуна для цементной промышленности |
|
|
из 24.51.1 |
чугунные отливки частей и принадлежностей станков для обработки металлов, дизелей тепловозных, дизелей судовых |
|
|
котлы водогрейные центрального отопления для производства горячей воды или пара низкого давления |
||
|
Из 25.29.12.190 |
емкости металлические для сжатых или сжиженных газов прочие, не включенные в другие группировки, в том числе части емкости (металлические мембраны - элементы первичного барьера защитного контура резервуара СПГ) |
|
|
котлы паровые и котлы паропроизводящие прочие; котлы, работающие с высокотемпературными органическими теплоносителями (ВОТ) |
||
|
оборудование вспомогательное для использования вместе с паровыми котлами |
||
|
из 25.30.22 |
||
|
из 25.30.22.124 |
||
|
из 25.30.22.145 |
||
|
инструменты рабочие сменные для станков или для ручного инструмента (с механическим приводом или без него) |
||
|
Из 25.73.60.120 |
инструменты для бурения скальных пород или грунтов, в том числе поликристаллические алмазные резцы для бурового инструмента |
|
|
цистерны, бочки, барабаны, канистры, ящики и аналогичные емкости для любых веществ (кроме газов) из железа, чугуна или стали, вместимостью от 50 до 300 л, не оснащенные механическим или тепловым оборудованием |
||
|
компьютеры портативные массой не более 10 кг, такие как ноутбуки, планшетные компьютеры, карманные компьютеры, в том числе совмещающие функции мобильного телефонного аппарата, электронные записные книжки и аналогичная компьютерная техника |
||
|
терминалы кассовые, банкоматы и аналогичное оборудование, подключаемое к компьютеру или сети передачи данных |
||
|
машины вычислительные электронные цифровые, содержащие в одном корпусе центральный процессор и устройство ввода и вывода, объединенные или нет, для автоматической обработки данных |
||
|
устройства запоминающие полупроводниковые, сохраняющие информацию при выключении питания |
||
|
аппаратура коммуникационная передающая с приемными устройствами |
||
|
аппаратура коммуникационная передающая без приемных устройств |
||
|
аппараты телефонные для сотовых сетей связи или для прочих беспроводных сетей |
||
|
аппараты телефонные прочие, устройства и аппаратура для передачи и приема речи, изображений или других данных, включая оборудование коммуникационное для работы в проводных или беспроводных сетях связи (например, локальных и глобальных сетях) |
||
|
антенны и антенные отражатели всех видов и их части; части передающей радио- и телевизионной аппаратуры и телевизионных камер |
||
|
устройства охранной или пожарной сигнализации и аналогичная аппаратура |
||
|
части устройств охранной или пожарной сигнализации и аналогичной аппаратуры |
||
|
компасы для определения направления; прочие навигационные инструменты и приборы. Эта группировка включает навигационные инструменты и приборы для служб, такие как глобальная система позиционирования (GPS) и "Галилео", ГЛОНАСС или ГЛОНАСС/GPS) |
||
|
дальномеры, теодолиты и тахиметры (тахеометры); прочие геодезические, гидрографические, океанографические, гидрологические, метеорологические или геофизические инструменты и приборы |
||
|
аппаратура радиолокационная, радионавигационная и радиоаппаратура дистанционного управления |
||
|
приборы и аппаратура для измерения или обнаружения ионизирующих излучений |
||
|
приборы для измерения электрических величин без записывающего устройства |
||
|
приборы и аппаратура для измерения или контроля электрических величин, не включенные в другие группировки |
||
|
установки генераторные с двигателями с искровым зажиганием; прочие генераторные установки; электрические вращающиеся преобразователи |
||
|
из 27.11.32 |
автономные СПГ энергетические комплексы на базе газопоршневых агрегатов |
|
|
волокна оптические и жгуты волоконно-оптические; кабели волоконно-оптические, кроме составленных из волокон с индивидуальными оболочками |
||
|
машины электрические и аппараты для пайки мягким и твердым припоем или сварки; электрические машины и аппараты для газотермического напыления металлов или спеченных карбидов металла |
||
|
части электрических машин и аппаратов для пайки мягким и твердым припоем или сварки; электрических машин и аппаратов для газотермического напыления металлов или спеченных карбидов металла |
||
|
насосы возвратно-поступательные объемного действия прочие для перекачки жидкостей |
||
|
насосы воздушные или вакуумные; воздушные или прочие газовые компрессоры |
||
|
из 28.13.2 |
криогенный насос перекачки СПГ производительностью более 1000 куб. м/час |
|
|
из 28.13.2 |
криогенные насосы и насосы откачки хладагентов малой и средней мощности (до 250 кВт) |
|
|
из 28.13.2 |
газораздаточная колонка СПГ с узлом коммерческого учета продукции |
|
|
из 28.13.2 |
||
|
комплектующие (запасные части) воздушных или вакуумных насосов, не имеющие самостоятельных группировок |
||
|
комплектующие (запасные части) воздушных или газовых компрессоров, не имеющие самостоятельных группировок |
||
|
комплектующие (запасные части) вентиляторов, не имеющие самостоятельных группировок |
||
|
комплектующие (запасные части) вытяжных шкафов, не имеющие самостоятельных группировок |
||
|
арматура (краны, клапаны и другая аналогичная арматура) для трубопроводов, сосудов, котлов, цистерн, баков и аналогичных емкостей |
||
|
из 28.14.11 |
клапаны редукционные, регулирующие, обратные и предохранительные |
|
|
из 28.14.13 |
клапаны управления процессом, задвижки, краны и клапаны шаровые |
|
|
комплектующие (запасные части) кранов и клапанов и аналогичной арматуры, не имеющие самостоятельных группировок |
||
|
из 28.14.2 |
||
|
Из 28.21.12 |
печи и камеры промышленные или лабораторные неэлектрические, включая мусоросжигательные печи, кроме хлебопекарных печей |
|
|
из 28.21.12 |
оборудование по одностадийной переработке отходов деревообрабатывающих производств в технический углерод и активированные угли |
|
|
печи и камеры промышленные или лабораторные электрические; индукционное или диэлектрическое нагревательное оборудование |
||
|
из 28.22.14.129 |
||
|
из 28.22.14.159 |
||
|
из 28.22.17.110 |
||
|
подъемники и конвейеры пневматические и прочие непрерывного действия для товаров или материалов, не включенные в другие группировки |
||
|
из 28.22.18 |
||
|
вагоноопрокидыватели и аналогичное оборудование для манипулирования железнодорожными вагонами |
||
|
машины пишущие, устройства для обработки текста, калькуляторы и счетные машины |
||
|
из 28.25.1 |
агрегатированные вентиляционные установки, центральные кондиционеры, климатическая техника - чиллеры, вентиляторы, руфтопы, VRF, фанкойлы, теплонасосы |
|
|
теплообменники и машины для сжижения воздуха или прочих газов |
||
|
из 28.25.11 |
спиральновитые многопоточные теплообменники, включая главный криогенный теплообменник СПГ (DN > 2 м, PN > 1 МПа, масса более 50 тонн) |
|
|
из 28.25.11 |
многоступенчатый центробежный компрессор смешанного хладагента; потребляемая мощность более 50 МВт |
|
|
из 28.25.11 |
газовые турбины мощностью более 60 МВт для использования в качестве механического привода компрессорных агрегатов |
|
|
из 28.25.11 |
турбодетандерные агрегаты, P > 5 МВт, работа на 100% влагонасыщенном газе, до 3 - 5% жидкости во входном потоке |
|
|
из 28.25.11 |
||
|
из 28.25.12 |
турбодетандерные агрегаты (ТДА) для установок по сжижению и комплексной подготовке природного газа мощностью от 0,2 до 10 МВт |
|
|
из 28.25.3 |
компрессоры герметичные, спиральные и винтовые, автоматика к вентиляции |
|
|
из 28.29 |
||
|
из 28.29 |
гамма-нейтронные анализаторы элементного состава сырья и готовой продукции |
|
|
из 28.29 |
комплексы для обработки, утилизации, обезвреживания отходов производства и потребления |
|
|
из 28.29.11.130 |
||
|
из 28.29.12 |
оборудование для поточного реагентного способа очистки промышленных сточных вод |
|
|
из 28.29.12 |
||
|
из 28.29.6 |
||
|
из 28.29.6 |
установки для упрочнения и восстановления тел вращения электроконтактным способом |
|
|
из 28.29.6 |
установки для упрочнения и восстановления плоских поверхностей электроконтактным способом |
|
|
оборудование и инструменты неэлектрические для пайки мягким и твердым припоем или сварки и их части; машины и аппараты для газотермического напыления |
||
|
части неэлектрического оборудования и инструментов для пайки мягким и твердым припоем или сварки; машин и аппаратов для газотермического напыления |
||
|
из 28.30 |
машины валочные, валочно-пакетирующие многооперационные для лесного хозяйства |
|
|
из 28.30 |
погрузчики лесоматериалов фронтальные и трелевочные тракторы (скиддеры) для лесного хозяйства |
|
|
станки для обработки металлов лазером и станки аналогичного типа; обрабатывающие центры и станки аналогичного типа |
||
|
станки для обработки камня, дерева и аналогичных твердых материалов |
||
|
из 28.91.1 |
машины непрерывного литья заготовок (сортовые и блюмовые) и запасные части к ним; машины непрерывного литья заготовок (слябовые); прокатное оборудование; изостатическое оборудование |
|
|
из 28.91.1 |
||
|
из 28.91.1 |
трубопрокатные станы; гильзы кристаллизаторов машин непрерывного литья заготовок |
|
|
конвертеры, ковши, чаши, изложницы и литейные машины; прокатные станы |
||
|
из 28.91.1 |
||
|
из 28.92 |
||
|
из 28.92 |
||
|
из 28.92 |
||
|
из 28.92 |
модульная (мобильная) установка подготовки нефти, газа и воды |
|
|
из 28.92.1 |
||
|
подъемники и конвейеры непрерывного действия для подземных работ |
||
|
из 28.92.27 |
||
|
машины для выемки грунта и строительства прочие, не включенные в другие группировки |
||
|
машины для дробления грунта, камня, руды и прочих минеральных веществ |
||
|
комплектующие (запасные части) бурильных и проходческих машин, не имеющие самостоятельных группировок |
||
|
оборудование для текстильного, швейного и кожевенного производства |
||
|
оборудование и аппаратура, исключительно или в основном используемые для производства полупроводниковых слитков или пластин, полупроводниковых устройств, электронных интегральных микросхем или плоскопанельных дисплеев |
||
|
части оборудования и аппаратуры, исключительно или в основном используемой для производства полупроводниковых слитков или пластин, полупроводниковых устройств, электронных интегральных микросхем или плоскопанельных дисплеев; части прочего оборудования специального назначения |
||
|
из 28.99.39.190 |
роторы, установки роторные с индивидуальным приводом и приводы к ним |
|
|
из 28.99.39.190 |
||
|
из 28.99.39.190 |
||
|
средства транспортные для обслуживания нефтяных и газовых скважин |
||
|
из 42.99.11.130 |
||
- Гражданский кодекс (ГК РФ)
- Жилищный кодекс (ЖК РФ)
- Налоговый кодекс (НК РФ)
- Трудовой кодекс (ТК РФ)
- Уголовный кодекс (УК РФ)
- Бюджетный кодекс (БК РФ)
- Арбитражный процессуальный кодекс
- Конституция РФ
- Земельный кодекс (ЗК РФ)
- Лесной кодекс (ЛК РФ)
- Семейный кодекс (СК РФ)
- Уголовно-исполнительный кодекс
- Уголовно-процессуальный кодекс
- Производственный календарь на 2025 год
- МРОТ 2025
- ФЗ «О банкротстве»
- О защите прав потребителей (ЗОЗПП)
- Об исполнительном производстве
- О персональных данных
- О налогах на имущество физических лиц
- О средствах массовой информации
- Производственный календарь на 2026 год
- Федеральный закон "О полиции" N 3-ФЗ
- Расходы организации ПБУ 10/99
- Минимальный размер оплаты труда (МРОТ)
- Календарь бухгалтера на 2025 год
- Частичная мобилизация: обзор новостей
- Постановление Правительства РФ N 1875

