постановлением Правительства
Российской Федерации
от 18 февраля 2021 г. N 213
Правила предоставления субсидий из федерального бюджета организациям на формирование и ведение Федерального информационного фонда стандартов изложить в следующей редакции:
постановлением Правительства
Российской Федерации
от 20 апреля 2017 г. N 479
(в редакции постановления
Правительства Российской Федерации
от 18 февраля 2021 г. N 213)
ПРЕДОСТАВЛЕНИЯ СУБСИДИЙ ИЗ ФЕДЕРАЛЬНОГО БЮДЖЕТА
ОРГАНИЗАЦИЯМ НА ФОРМИРОВАНИЕ И ВЕДЕНИЕ ФЕДЕРАЛЬНОГО
ИНФОРМАЦИОННОГО ФОНДА СТАНДАРТОВ
1. Настоящие Правила устанавливают цели, условия и порядок предоставления субсидий из федерального бюджета организациям на формирование и ведение Федерального информационного фонда стандартов (далее соответственно - Фонд, субсидии).
Субсидии предоставляются в рамках реализации подпрограммы "Развитие системы технического регулирования, стандартизации и обеспечение единства измерений" государственной программы Российской Федерации "Развитие промышленности и повышение ее конкурентоспособности" в целях обеспечения заинтересованных лиц информацией о документах национальной системы стандартизации.
2. Субсидия предоставляется организации, определяемой Федеральным агентством по техническому регулированию и метрологии в соответствии с Положением о порядке формирования и ведения Федерального информационного фонда стандартов и правилах пользования им, утвержденным постановлением Правительства Российской Федерации от 28 июня 2016 г. N 589 "О Федеральном информационном фонде стандартов" (далее - оператор Фонда).
3. Понятия, используемые в настоящих Правилах, означают следующее:
"документ Архивного фонда Российской Федерации" - архивный документ, прошедший экспертизу ценности документов, поставленный на государственный учет и подлежащий постоянному хранению в соответствии с Федеральным законом "Об архивном деле в Российской Федерации";
"документы Фонда" - документы по стандартизации, входящие в состав Фонда в соответствии с постановлением Правительства Российской Федерации от 28 июня 2016 г. N 589 "О Федеральном информационном фонде стандартов".
4. Субсидия предоставляется на возмещение фактически понесенных и документально подтвержденных затрат оператора Фонда, связанных с осуществлением следующих видов работ по созданию, ведению Фонда и пользованию им:
а) централизованный учет (система учета поступающих документов, предусматривающая их прием и обработку, проведение справочно-информационной работы, систематизацию), регистрация, комплектование, хранение и актуализация Фонда;
б) депозитарное хранение в течение 10 лет отмененных, утративших силу и подлежащих передаче на государственное хранение документов, Фонда;
в) обмен документами Фонда между федеральным органом исполнительной власти в сфере стандартизации и международными органами по стандартизации, а также между региональными органами по стандартизации и национальными органами по стандартизации иностранных государств;
г) предоставление по запросам органов государственной власти, органов местного самоуправления, юридических лиц и физических лиц информации о документах Фонда, а также выдача в установленном порядке копий таких документов на бумажном носителе и (или) в форме электронного документа, подписанного усиленной квалифицированной электронной подписью и передаваемого заявителю с использованием инфраструктуры, обеспечивающей информационно-технологическое взаимодействие информационных систем, используемых для предоставления государственных и муниципальных услуг и исполнения государственных и муниципальных функций в электронной форме;
д) предоставление информации о документах Фонда, копий документов национальной системы стандартизации в соответствии с принятыми международными обязательствами Российской Федерации в сфере стандартизации в порядке, установленном лицензионными договорами, международными соглашениями и иными нормами международного права.
5. Предоставление субсидий осуществляется Федеральным агентством по техническому регулированию и метрологии как главным распорядителем бюджетных средств в пределах лимитов бюджетных обязательств, доведенных в установленном порядке до Агентства как получателя средств федерального бюджета на цели, указанные в пункте 1 настоящих Правил.
Сведения о субсидиях в установленном порядке размещаются на едином портале бюджетной системы Российской Федерации в информационно-телекоммуникационной сети "Интернет" (далее соответственно - сеть "Интернет", единый портал) в разделе "Бюджет" при формировании проекта федерального закона о федеральном бюджете (проекта федерального закона о внесении изменений в федеральный закон о федеральном бюджете).
6. Субсидии предоставляются оператору Фонда при соблюдении им на 1-е число месяца, предшествующего месяцу, в котором подается заявление о заключении соглашения о предоставлении субсидии между Федеральным агентством по техническому регулированию и метрологии и оператором Фонда в государственной интегрированной информационной системе управления общественными финансами "Электронный бюджет" в соответствии с типовой формой, установленной Министерством финансов Российской Федерации (далее соответственно - соглашение о предоставлении субсидии, заявление), следующих требований:
а) наличие у оператора Фонда государственных обязательных экземпляров документов в сфере стандартизации в соответствии с Федеральным законом "Об обязательном экземпляре документов" и Федеральным законом "О стандартизации в Российской Федерации";
б) осуществление оператором Фонда информационного обеспечения национальной системы стандартизации посредством ведения Федерального фонда и эксплуатации федеральных информационных систем, обеспечивающих его функционирование;
в) осуществление оператором Фонда официального опубликования, издания и распространения документов Фонда;
г) осуществление оператором Фонда депозитарного хранения документов Архивного фонда Российской Федерации, находящихся в федеральной собственности в соответствии с Федеральным законом "Об архивном деле в Российской Федерации" и постановлением Правительства Российской Федерации от 27 декабря 2006 г. N 808 "Об утверждении перечня федеральных органов исполнительной власти и организаций, осуществляющих депозитарное хранение документов Архивного фонда Российской Федерации, находящихся в федеральной собственности";
д) у оператора Фонда отсутствует неисполненная обязанность по уплате налогов, сборов, страховых взносов, пеней, штрафов и процентов, подлежащих уплате в соответствии с законодательством Российской Федерации о налогах и сборах;
е) у оператора Фонда отсутствуют просроченная задолженность по возврату в федеральный бюджет субсидий, бюджетных инвестиций, предоставленных в том числе в соответствии с иными правовыми актами, и иная просроченная (неурегулированная) задолженность перед Российской Федерацией;
ж) оператор Фонда не является иностранным юридическим лицом, а также российским юридическим лицом, в уставном (складочном) капитале которого доля участия иностранных юридических лиц, местом регистрации которых является государство (территория), включенное в утверждаемый Министерством финансов Российской Федерации перечень государств и территорий, предоставляющих льготный налоговый режим налогообложения и (или) не предусматривающих раскрытия и предоставления информации при проведении финансовых операций (офшорные зоны), в совокупности превышает 50 процентов;
з) оператор Фонда не должен получать средства из федерального бюджета на основании иных нормативных правовых актов Российской Федерации на цели, указанные в пункте 4 настоящих Правил;
и) оператор Фонда не находится в процессе реорганизации (за исключением реорганизации в форме присоединения к оператору Фонда другого юридического лица), ликвидации, в отношении оператора Фонда не введена процедура банкротства, его деятельность не приостановлена в порядке, предусмотренном законодательством Российской Федерации;
к) в реестре дисквалифицированных лиц отсутствуют сведения о дисквалифицированных руководителе, лице, исполняющем обязанности руководителя, и главном бухгалтере оператора Фонда.
7. Субсидия предоставляется оператору Фонда на основании соглашения о предоставлении субсидии, предусматривающего в том числе:
а) согласие оператора Фонда на осуществление Федеральным агентством по техническому регулированию и метрологии и органом государственного финансового контроля обязательных проверок соблюдения целей, условий и порядка предоставления субсидии, а также обязательство оператора Фонда по включению в договоры (соглашения), заключенные в целях исполнения обязательств по соглашению о предоставлении субсидии, положений о согласии лиц, являющихся поставщиками (подрядчиками, исполнителями), на проведение указанных проверок;
б) перечень затрат, на возмещение которых предоставляется субсидия, а также перечень документов, представляемых для получения субсидии, в том числе документов, подтверждающих фактическое осуществление указанных затрат;
в) значения результата предоставления субсидии и показателей, необходимых для достижения результатов предоставления субсидии, в соответствии с пунктами 25 и 26 настоящих Правил, и ответственность за их недостижение;
г) обязанность представления отчетности о достижении значений результата предоставления субсидии, а также показателей, необходимых для достижения результата предоставления субсидии, отчета об осуществлении расходов, на возмещение которых предоставляется субсидия, и иной дополнительной отчетности в соответствии с пунктом 16 настоящих Правил, а также формы и сроки представления таких отчетов;
д) порядок и сроки возврата субсидии, использованной оператором Фонда, в случае установления по итогам проверок, проведенных Федеральным агентством по техническому регулированию и метрологии и (или) органом государственного финансового контроля, факта несоблюдения целей, условий и порядка предоставления субсидии;
е) техническое задание на выполнение работ по созданию и ведению Фонда, включая календарный план выполнения этих работ;
ж) обязанность ведения раздельного учета затрат по работам, выполненным за счет субсидии;
з) порядок применения штрафных санкций и их размер при установлении случаев недостижения результата предоставления субсидии;
и) условия расторжения соглашения о предоставлении субсидии, в том числе в одностороннем порядке со стороны Федерального агентства по техническому регулированию и метрологии;
к) порядок согласования новых условий соглашения о предоставлении субсидии или расторжения соглашения о предоставлении субсидии при недостижении согласия по новым условиям в случае уменьшения Федеральному агентству по техническому регулированию и метрологии как получателю средств федерального бюджета ранее доведенных лимитов бюджетных обязательств, указанных в пункте 5 настоящих Правил, приводящего к невозможности предоставления субсидии в размере, определенном в соглашении о предоставлении субсидии.
8. Соглашение о предоставлении субсидии заключается в форме электронного документа и подписывается усиленной квалифицированной электронной подписью лиц, имеющих право действовать от имени каждой из сторон.
9. Для заключения соглашения о предоставлении субсидии оператор Фонда представляет в Федеральное агентство по техническому регулированию и метрологии заявление (в произвольной форме) с приложением следующих документов:
а) подписанная руководителем оператора Фонда справка, подтверждающая, что оператор Фонда на 1-е число месяца, предшествующего месяцу, в котором подается заявление, не находится в процессе реорганизации (за исключением реорганизации в форме присоединения к оператору Фонда другого юридического лица), ликвидации, в отношении оператора Фонда не введена процедура банкротства, его деятельность не приостановлена в порядке, предусмотренном законодательством Российской Федерации;
б) справка из налогового органа об отсутствии у оператора Фонда на 1-е число месяца, предшествующего месяцу, в котором подается заявление, неисполненной обязанности по уплате налогов, сборов, страховых взносов, пеней, штрафов и процентов, подлежащих уплате в соответствии с законодательством Российской Федерации о налогах и сборах (в случае непредставления оператором Фонда такого документа Федеральное агентство по техническому регулированию и метрологии запрашивает его самостоятельно);
в) подписанная руководителем оператора Фонда справка об отсутствии у оператора Фонда на 1-е число месяца, предшествующего месяцу, в котором подается заявление, просроченной задолженности по возврату в федеральный бюджет субсидий, бюджетных инвестиций, предоставленных в том числе в соответствии с иными правовыми актами и иной просроченной (неурегулированной) задолженности перед Российской Федерацией;
г) подписанная руководителем оператора Фонда справка, подтверждающая, что оператор Фонда не является иностранным юридическим лицом, а также российским юридическим лицом, в уставном (складочном) капитале которого доля участия иностранных юридических лиц, местом регистрации которых является государство (территория), включенное в утверждаемый Министерством финансов Российской Федерации перечень государств и территорий, предоставляющих льготный налоговый режим налогообложения и (или) не предусматривающих раскрытия и предоставления информации при проведении финансовых операций (офшорные зоны), в совокупности превышает 50 процентов;
д) подписанная главным бухгалтером оператора Фонда (иным уполномоченным лицом, на которое возложено ведение бухгалтерского учета) и скрепленная печатью оператора Фонда (при наличии печати) справка с указанием банковских реквизитов и расчетного счета оператора Фонда, на который перечисляется субсидия;
е) копии финансовой отчетности за последний отчетный период, подписанные руководителем и главным бухгалтером (иным уполномоченным лицом, на которое возложено ведение бухгалтерского учета) оператора Фонда, скрепленные печатью оператора Фонда (при наличии печати);
ж) подписанная руководителем и главным бухгалтером (иным уполномоченным лицом, на которое возложено ведение бухгалтерского учета) оператора Фонда справка, подтверждающая, что оператор Фонда не получает средства из федерального бюджета в соответствии с иными нормативными правовыми актами на создание и ведение Фонда;
з) справка, подписанная руководителем оператора Фонда, о том, что в реестре дисквалифицированных лиц отсутствуют сведения о дисквалифицированных руководителе и главном бухгалтере (при наличии) оператора Фонда;
и) обоснования общего размера субсидии, необходимого для реализации всех видов работ в соответствии с пунктом 4 настоящих Правил, с приложением расчета в соответствии с пунктом 14 настоящих Правил;
к) проект технического задания на выполнение работ по созданию и ведению Федерального фонда на плановый период;
л) согласие на публикацию (размещение) в сети "Интернет" информации об операторе Фонда, подписанное руководителем оператора Фонда.
10. Ответственность за достоверность представляемых в Федеральное агентство по техническому регулированию и метрологии документов, указанных в пункте 9 настоящих Правил, несет оператор Фонда в соответствии с законодательством Российской Федерации.
11. Федеральное агентство по техническому регулированию и метрологии в течение 10 рабочих дней рассматривает документы, указанные в пункте 9 настоящих Правил, проверяет полноту и достоверность сведений, содержащихся в них, осуществляет проверку их соответствия положениям, предусмотренным пунктами 6 и 9 настоящих Правил, и принимает решение о заключении соглашения о предоставлении субсидии либо мотивированное решение об отказе в заключении соглашения о предоставлении субсидии.
Федеральное агентство по техническому регулированию и метрологии обеспечивает размещение информации о принятом решении на едином портале.
Датой представления документов считается дата их поступления в Федеральное агентство по техническому регулированию и метрологии, с которой начинает исчисляться срок рассмотрения документов.
12. Федеральное агентство по техническому регулированию и метрологии принимает решение об отказе оператору Фонда в заключении соглашения о предоставлении субсидии в следующих случаях:
а) прилагаемые к заявлению документы не соответствуют положениям пунктов 6 и 9 настоящих Правил или представлены не в полном объеме;
б) установление факта недостоверности представленной в заявлении и (или) прилагаемых к нему документах информации, в том числе информации о месте нахождения и адресе оператора Фонда.
13. В случае принятия решения об отказе в заключении соглашения о предоставлении субсидии Федеральное агентство по техническому регулированию и метрологии в рабочий день, следующий за днем принятия такого решения, возвращает оператору Фонда заявление и документы, указанные в пункте 9 настоящих Правил, с указанием причин, послуживших основанием для принятия такого решения, посредством почтового отправления или в форме электронного документа, подписанного усиленной квалифицированной электронной подписью.
После устранения замечаний, явившихся основанием для возврата заявления и документов, указанных в пункте 9 настоящих Правил, оператор Фонда вправе повторно представить в Федеральное агентство по техническому регулированию и метрологии заявление и указанные документы.
14. Размер субсидии (Nw) определяется по формуле:
- затраты на оплату труда работников, непосредственно связанных с выполнением работ, указанных в пункте 4 настоящих Правил (в размере, не превышающем средней заработной платы по субъекту Российской Федерации за предыдущий квартал);
- затраты на приобретение основных средств (включая аренду), материальных запасов и лицензий на программное обеспечение, используемых в процессе выполнения работ (с учетом срока полезного использования), указанных в пункте 4 настоящих Правил;
- расходы исполнителей (подрядчиков), выполняющих работы по гражданско-правовым договорам, которые произведены ими в связи с формированием и ведением Фонда, в том числе расходы на эксплуатацию и развитие информационно-технологической инфраструктуры, обеспечивающей функционирование Фонда;
- затраты на оплату коммунальных услуг;
- затраты на содержание объектов недвижимого имущества, необходимого для обеспечения функционирования Фонда;
- затраты на содержание особо ценного движимого имущества, необходимого для обеспечения функционирования Фонда;
- затраты на приобретение услуг связи;
- затраты на приобретение транспортных услуг;
- затраты на оплату труда работников, включая административно-управленческий персонал, которые непосредственно не связаны с выполнением работ, указанных в пункте 4 настоящих Правил (в размере, не превышающем средней заработной платы по субъекту Российской Федерации), определяемые пропорционально затратам, предусмотренным показателем
, но не более 35 процентов показателя
;
- общехозяйственные расходы, включая затраты на полное восстановление состава объектов основных средств (сумм резерва), формируемые в установленном порядке в размере начисленной годовой суммы амортизации.
15. Предоставление субсидий осуществляется Федеральным агентством по техническому регулированию и метрологии ежеквартально (за отчетный период) по результатам выполнения соответствующих работ по формированию и ведению Фонда.
16. Для получения субсидии оператор Фонда в течение 5 рабочих дней после окончания отчетного квартала, но не позднее 20 декабря текущего финансового года, представляет в Федеральное агентство по техническому регулированию и метрологии в 2 экземплярах следующие документы:
а) отчет об осуществлении расходов, на возмещение которых предоставляется субсидия, по форме, определенной типовой формой соглашения, установленной Министерством финансов Российской Федерации, а также копии документов, подтверждающих размер фактически понесенных затрат;
б) отчет о выполнении технического задания на формирование и ведение Фонда;
в) отчет о достижении значений результата предоставления субсидии, а также показателей, необходимых для достижения результата предоставления субсидии, по форме, определенной типовой формой соглашения, установленной Министерством финансов Российской Федерации.
17. Форма отчета, предусмотренного подпунктом "б" пункта 16 настоящих Правил, и порядок ее заполнения устанавливаются Федеральным агентством по техническому регулированию и метрологии в соглашении о предоставлении субсидии и размещаются на официальном сайте Агентства в сети "Интернет".
18. Федеральное агентство по техническому регулированию и метрологии в течение 5 рабочих дней рассматривает документы, указанные в пункте 16 настоящих Правил, и утверждает эти документы и принимает решение о предоставлении субсидии либо отказывает в их утверждении и представляет мотивированное решение об отказе в предоставлении субсидии по основаниям, предусмотренным пунктом 19 настоящих Правил.
Утверждение отчета об осуществлении расходов, на возмещение которых предоставляется субсидия, отчета о выполнении технического задания и отчета о достижении значений результата предоставления субсидии, а также показателей, необходимых для достижения результата предоставления субсидии, осуществляет заместитель руководителя Федерального агентства по техническому регулированию и метрологии.
19. Федеральное агентство по техническому регулированию и метрологии отказывает оператору Фонда в предоставлении субсидии в случаях, если оператор Фонда не представил в полном объеме документы, указанные в пункте 16 настоящих Правил, либо в них содержатся неполные и (или) недостоверные сведения, либо такие документы оформлены с нарушением требований, установленных пунктом 17 настоящих Правил, а также в случае, если у оператора Фонда имеется просроченная задолженность по денежным обязательствам перед Российской Федерацией, предусмотренным статьей 93.4 Бюджетного кодекса Российской Федерации.
В случае принятия решения об отказе в предоставлении субсидии документы, оформленные ненадлежащим образом, возвращаются на доработку оператору Фонда в течение одного рабочего дня со дня принятия соответствующего решения Федеральным агентством по техническому регулированию и метрологии с указанием причин возврата (замечаний).
20. Оператор Фонда при условии устранения замечаний, указанных в абзаце втором пункта 19 настоящих Правил, не позднее 5-го рабочего дня со дня получения замечаний повторно представляет в Федеральное агентство по техническому регулированию и метрологии документы, указанные в пункте 16 настоящих Правил.
Повторное рассмотрение представленных оператором Фонда документов осуществляется Федеральным агентством по техническому регулированию и метрологии в порядке, установленном пунктами 18 и 19 настоящих Правил.
21. Перечисление субсидии осуществляется не позднее 10-го рабочего дня после принятия решения о предоставлении субсидии, предусмотренного пунктом 18 настоящих Правил, и утверждения Федеральным агентством по техническому регулированию и метрологии отчетности, установленной пунктом 16 настоящих Правил, на расчетный счет оператора Фонда, открытый в кредитной организации.
22. Информация о размерах и сроках перечисления субсидии учитывается Федеральным агентством по техническому регулированию и метрологии при формировании прогноза кассовых выплат из федерального бюджета, необходимого для составления в установленном порядке кассового плана исполнения федерального бюджета.
23. Федеральное агентство по техническому регулированию и метрологии как получатель средств федерального бюджета устанавливает в соглашении о предоставлении субсидии на весь срок его действия значения результата предоставления субсидии и показателей, необходимых для достижения результата предоставления субсидии, предусмотренных в соответственно пунктами 25 и 26 настоящих Правил, которые не подлежат изменению путем заключения дополнительных соглашений к соглашению о предоставлении субсидии.
24. Оценка результата предоставления субсидии осуществляется Федеральным агентством по техническому регулированию и метрологии не позднее 15 февраля года, следующего за отчетным, исходя из степени достижения значений результата предоставления субсидии и показателей, необходимых для достижения результата предоставления субсидии.
25. Результатом предоставления субсидии является обеспечение достижения значения показателя "количество единиц хранения документов по стандартизации на бумажном носителе" по состоянию на 31 декабря года предоставления субсидии.
В случае если результат предоставления субсидии достигнут после даты представления отчетности, установленной пунктом 16 настоящих Правил, оператор Фонда представляет отчет, предусмотренный подпунктом "в" пункта 16 настоящих Правил, по состоянию на 31 декабря отчетного года, не позднее 1 февраля года, следующего за годом предоставления субсидий.
26. Показателями, необходимыми для достижения результата предоставления субсидии, являются:
а) количество единиц хранения документов по стандартизации на бумажном носителе - ежеквартально;
б) предоставление информации по запросам заинтересованных лиц, поступившим оператору Фонда (100-процентное удовлетворение всех запросов заинтересованных лиц).
27. В случае если по итогам выполнения соглашения о предоставлении субсидии хотя бы один из предусмотренных показателей достижения результата предоставления субсидий составит менее 100 процентов, к оператору Фонда применяются штрафные санкции.
28. Штрафные санкции за нарушение условий использования субсидий или недостижение установленных соглашением о предоставлении субсидии значений показателей, необходимых для достижения результата предоставления субсидии, определяются в соответствии с расчетом размера штрафных санкций, рассчитанных согласно приложению, на дату окончания срока реализации соглашения о предоставлении субсидии. В таких случаях субсидия перечисляется оператору Фонда в размере, уменьшенном на сумму штрафа, рассчитанного в соответствии с настоящими Правилами.
29. Федеральным агентством по техническому регулированию и метрологии и органом государственного финансового контроля проводятся обязательные проверки соблюдения оператором Фонда целей, условий и порядка предоставления субсидии, предусмотренных настоящими Правилами и соглашением о предоставлении субсидии.
30. В случае установления по итогам обязательных проверок, проведенных Федеральным агентством по техническому регулированию и метрологии и (или) органом государственного финансового контроля, факта несоблюдения целей, условий и порядка предоставления субсидий, а также в случае недостижения значения результата предоставления субсидии и любого из значений показателей, необходимых для достижения результата предоставления субсидии, полученные средства подлежат возврату в размере выявленных нарушений в доход федерального бюджета в порядке, установленном бюджетным законодательством Российской Федерации, на основании:
а) соответствующего требования Федерального агентства по техническому регулированию и метрологии - в течение 30 календарных дней со дня получения оператором Фонда указанного требования;
б) представления и (или) предписания органа государственного финансового контроля - в сроки, установленные в соответствии с бюджетным законодательством Российской Федерации.
к Правилам предоставления субсидий
из федерального бюджета организациям
на формирование и ведение Федерального
информационного фонда стандартов
РАСЧЕТ РАЗМЕРА ШТРАФНЫХ САНКЦИЙ
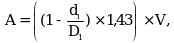
Размер штрафных санкций, применяемых к оператору Федерального информационного фонда стандартов, получившему субсидию из федерального бюджета на формирование и ведение Федерального информационного фонда стандартов (далее - субсидия), связанных с формированием и ведением Федерального информационного фонда стандартов (A), определяется по формуле:
di - достигнутое значение i-го показателя результата предоставления субсидии на дату окончания срока реализации соглашения о предоставлении субсидии;
Di - плановое значение i-го показателя результата предоставления субсидии, указанное в соглашении о предоставлении субсидии, на дату окончания срока реализации указанного соглашения;
V - объем средств федерального бюджета, использованный оператором Федерального информационного фонда стандартов в рамках реализации соглашения о предоставлении субсидии, на дату окончания срока реализации указанного соглашения (тыс. рублей).".
- Гражданский кодекс (ГК РФ)
- Жилищный кодекс (ЖК РФ)
- Налоговый кодекс (НК РФ)
- Трудовой кодекс (ТК РФ)
- Уголовный кодекс (УК РФ)
- Бюджетный кодекс (БК РФ)
- Арбитражный процессуальный кодекс
- Конституция РФ
- Земельный кодекс (ЗК РФ)
- Лесной кодекс (ЛК РФ)
- Семейный кодекс (СК РФ)
- Уголовно-исполнительный кодекс
- Уголовно-процессуальный кодекс
- Производственный календарь на 2025 год
- МРОТ 2026
- ФЗ «О банкротстве»
- О защите прав потребителей (ЗОЗПП)
- Об исполнительном производстве
- О персональных данных
- О налогах на имущество физических лиц
- О средствах массовой информации
- Производственный календарь на 2026 год
- Федеральный закон "О полиции" N 3-ФЗ
- Расходы организации ПБУ 10/99
- Минимальный размер оплаты труда (МРОТ)
- Календарь бухгалтера на 2026 год
- Частичная мобилизация: обзор новостей
- Постановление Правительства РФ N 1875

