к приказу Министерства строительства
и жилищно-коммунального хозяйства
Российской Федерации
от 18 апреля 2019 г. N 228/пр
1. Настоящая Методика определяет порядок расчета Министерством строительства и жилищно-коммунального хозяйства Российской Федерации (далее - Министерство) показателя "Количество граждан, расселенных из непригодного для проживания жилищного фонда" (далее - Показатель), предусмотренного подпунктом 5.1 раздела 2 паспорта национального проекта "Жилье и городская среда", утвержденного протоколом заседания президиума Совета при Президенте Российской Федерации по стратегическому развитию и национальным проектам от 24 декабря 2018 г. N 16 (с учетом изменений по протоколу заседания от 18 марта 2019 г. N 3), и разработана в соответствии с пунктом 3 статьи 7 Федерального закона от 29 ноября 2007 г. N 282-ФЗ "Об официальном статистическом учете и системе государственной статистики в Российской Федерации" (Собрание законодательства Российской Федерации, 2007, N 49, ст. 6043; 2011, N 43, ст. 5973; 2012, N 43, ст. 5784; 2013, N 27, ст. 3463; 2013, N 30, ст. 4084; 2017, N 14, ст. 1997; 2018, N 17, ст. 2423) и пунктом 2.9.32 Федерального плана статистических работ, утвержденного распоряжением Правительства Российской Федерации от 6 мая 2008 г. N 671-р (Собрание законодательства Российской Федерации, 2008, N 20, ст. 2383, официальный интернет-портал правовой информации http://www.pravo.gov.ru, 19.04.2019).
1.1. Формирование официальной статистической информации по Показателю осуществляется на федеральном уровне с годовой периодичностью в целом по Российской Федерации, по субъектам Российской Федерации, городам.
1.2. Срок предоставления (распространения) официальной статистической информации - 1 мая года, следующего за отчетным.
1.3. Субъектом официального статистического учета, формирующим официальную статистическую информацию по Показателю, является Министерство на основе данных, предоставляемых органами исполнительной власти субъектов Российской Федерации.
2. Расселение непригодного для проживания жилищного фонда осуществляется в соответствии с Федеральным законом от 21 июля 2007 г. N 185-ФЗ "О Фонде содействия реформированию жилищно-коммунального хозяйства" (далее - Федеральный закон).
Для целей настоящей Методики используются следующие понятия:
"непригодный для проживания жилищный фонд" - совокупность жилых помещений в многоквартирных домах, которые признаны в установленном порядке до 1 января 2017 года аварийными и подлежащими сносу или реконструкции в связи с физическим износом в процессе их эксплуатации, что соответствует содержащемуся в Федеральном законе понятию аварийного жилищного фонда,
"расселение из непригодного для проживания жилищного фонда" - принятие решений и проведение мероприятий в соответствии со статьями 32, 86, частями 2 и 3 статьи 88 Жилищного кодекса Российской Федерации, что соответствует содержащемуся в Федеральном законе понятию переселения граждан из аварийного жилищного фонда.
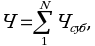
3. Показатель рассчитывается по формуле:
Ч - количество граждан, расселенных из непригодного для проживания жилищного фонда в Российской Федерации за отчетный год, тыс. человек;
Чсуб - количество граждан, расселенных из непригодного для проживания жилищного фонда в субъекте Российской Федерации за отчетный год, тыс. человек;
N - количество субъектов Российской Федерации, ед.;
Чгор - количество граждан, расселенных из непригодного для проживания жилищного фонда в городах и поселках городского типа в субъекте Российской Федерации за отчетный год, тыс. человек;
Чсел - количество граждан, расселенных из непригодного для проживания жилищного фонда в сельских населенных пунктах в субъекте Российской Федерации за отчетный год, тыс. человек;
- количество граждан, расселенных из непригодного для проживания жилищного фонда в городе или поселке городского типа субъекта Российской Федерации за отчетный год, тыс. человек;
- количество граждан, расселенных из непригодного для проживания жилищного фонда в сельском населенном пункте субъекта Российской Федерации за отчетный год, тыс. человек;
M - количество городов и поселков городского типа в субъекте Российской Федерации за отчетный год, ед.;
K - количество сельских населенных пунктов в субъекте Российской Федерации за отчетный год, ед.
Общее количество городов, поселков городского типа и сельских населенных пунктов в субъектах Российской Федерации определяется в соответствии с нормативными правовыми актами субъектов Российской Федерации в отчетном году.
Для определения значения показателя нарастающим итогом начиная с 2020 года к достигнутому значению показателя за предшествующий отчетный период прибавляется значение показателя текущего отчетного года.".
- Гражданский кодекс (ГК РФ)
- Жилищный кодекс (ЖК РФ)
- Налоговый кодекс (НК РФ)
- Трудовой кодекс (ТК РФ)
- Уголовный кодекс (УК РФ)
- Бюджетный кодекс (БК РФ)
- Арбитражный процессуальный кодекс
- Конституция РФ
- Земельный кодекс (ЗК РФ)
- Лесной кодекс (ЛК РФ)
- Семейный кодекс (СК РФ)
- Уголовно-исполнительный кодекс
- Уголовно-процессуальный кодекс
- Производственный календарь на 2025 год
- МРОТ 2025
- ФЗ «О банкротстве»
- О защите прав потребителей (ЗОЗПП)
- Об исполнительном производстве
- О персональных данных
- О налогах на имущество физических лиц
- О средствах массовой информации
- Производственный календарь на 2026 год
- Федеральный закон "О полиции" N 3-ФЗ
- Расходы организации ПБУ 10/99
- Минимальный размер оплаты труда (МРОТ)
- Календарь бухгалтера на 2025 год
- Частичная мобилизация: обзор новостей
- Постановление Правительства РФ N 1875

