к Федеральным нормам и правилам
в области промышленной безопасности
"Инструкция по расчету и применению
анкерной крепи на угольных шахтах",
утвержденным приказом Федеральной службы
по экологическому, технологическому
и атомному надзору
от 19 ноября 2020 г. N 448
1. В горных выработках, проводимых в массиве и поддерживаемых в продолжение всего срока службы вне зоны влияния очистных работ (при ширине целика lц больше 0,1H и не менее 30 м), величина расчетных смещений кровли Uм, определяется по формуле:
где Uт - типовые смещения кровли, определяемые в зависимости от глубины H и расчетного сопротивления пород в кровле сжатию Rс по номограмме на рисунке 1 приложения, при B = 5 м,
= 1, kш = 1, kв = 1 и kа = 1;
kа - коэффициент, учитывающий расположение горных выработок, принимаемый равным 1 для штреков, уклонов, бремсбергов и сопряжений и равным 0,7 для квершлагов;
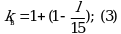
kш - коэффициент, учитывающий отличие расчетной ширины горных выработок и сопряжений от B = 5 м, рассчитываемый по формуле:
kв - коэффициент, учитывающий влияние других смежных горных выработок, принимаемый равным 1 при расстояниях от них l
15 м, а при l < 15 м, определяемый по формуле:
- коэффициент, учитывающий степень связывания и упрочнения пород различными конструкциями анкеров, принимаемый для замковых, клинораспорных и сталеполимерных анкеров при длине их закрепления в скважине 0,5 м равным 1,0, при длине закрепления ампулами 1 м равным 0,85 и при закреплении по всей длине скважины (шпура) - 0,75.
Рис. 1. Расчетные смещения кровли в массиве при B = 5 м
2. В горных выработках, проводимых в массиве, а затем поддерживаемых в зоне влияния очистных работ при ширине целика 0,1H > lц > 15 м, величина расчетных смещений кровли Uц, определяется по формуле:
где
- расчетные смещения кровли в период охраны целиком шириной 0,1H > lц > 15 м, определяемые в зависимости от lц, H и Rс по рисунку 2;
kкр - коэффициент, учитывающий обрушаемость основной кровли, принимаемый равным 1 для I и III типов кровли и 1, 2 - для II типа кровли.
Рис. 2. Расчетные смещения кровли при охране горной
выработки целиками
3. В пластовых выемочных горных выработках, проводимых в массиве, охраняемых за лавой целиком 0,1H > lц > 15 м, а затем, погашаемых за смежной лавой, определение расчетных смещений кровли в продолжение всего срока службы, производится по формуле:
где
- дополнительные смещения от влияния погашающей лавы, определяются по рисунку 3 приложения.
4. В пластовых горных выработках, проводимых в массиве и погашаемых лавой, величина расчетных смещений Uп кровли, определяется по формуле:
где Uл - расчетные смещения кровли в период влияния опорного давления на протяжении 0,1H от погашающей лавы, определяемые в зависимости от H и Rc по рисунку 4 приложения.
5. В пластовых горных выработках, пройденных в массиве, а затем охраняемых разрушающимся в выработанном пространстве целиком шириной 2,5 - 3 мощности пласта или поддерживаемых на границе с выработанным пространством и охраняемых посадочно-защитной крепью, расчетные смещения кровли до первой отрабатываемой лавы определяются по пункту 4 приложения. На весь период поддержания таких горных выработок, до их погашения смежной лавой, при расчете документации крепления, в период интенсивного горного давления, во всех условиях, принимаются равными 300 мм.
6. В пластовых горных выработках, проводимых "вприсечку" к выработанному пространству, с защитной угольной полосой шириной 2 - 4 м на расстоянии от отрабатываемой лавы больше 200 м и, погашаемых смежной лавой, величина расчетных смещений кровли Uпр, определяется по формуле:
где
- расчетные смещения кровли при проходке горной выработки, определяемые в зависимости от H и Rс по рисунку 5 приложения;
- расчетные смещения кровли в период влияния погашающей лавы, определяемые в зависимости от H и Rс по рисунку 6 приложения.
Рис. 3. Расчетные смещения кровли горной выработки в зоне
влияния погашающей лавы
Рис. 4. Расчетные смещения кровли горной выработки в зоне
влияния погашающей лавы
Рис. 5. Смещения кровли при проходке присечной
горной выработки
Рис. 6. Расчетные смещения в присечной горной выработке
в зоне влияния погашающей лавы
- Гражданский кодекс (ГК РФ)
- Жилищный кодекс (ЖК РФ)
- Налоговый кодекс (НК РФ)
- Трудовой кодекс (ТК РФ)
- Уголовный кодекс (УК РФ)
- Бюджетный кодекс (БК РФ)
- Арбитражный процессуальный кодекс
- Конституция РФ
- Земельный кодекс (ЗК РФ)
- Лесной кодекс (ЛК РФ)
- Семейный кодекс (СК РФ)
- Уголовно-исполнительный кодекс
- Уголовно-процессуальный кодекс
- Производственный календарь на 2025 год
- МРОТ 2026
- ФЗ «О банкротстве»
- О защите прав потребителей (ЗОЗПП)
- Об исполнительном производстве
- О персональных данных
- О налогах на имущество физических лиц
- О средствах массовой информации
- Производственный календарь на 2026 год
- Федеральный закон "О полиции" N 3-ФЗ
- Расходы организации ПБУ 10/99
- Минимальный размер оплаты труда (МРОТ)
- Календарь бухгалтера на 2026 год
- Частичная мобилизация: обзор новостей
- Постановление Правительства РФ N 1875










