постановлением Правительства
Российской Федерации
от 9 апреля 2020 г. N 468
1. В наименовании и тексте слова "сельскохозяйственной, строительно-дорожной и коммунальной техники, а также оборудования для пищевой и перерабатывающей промышленности" заменить словами "специализированной техники и деревянных домов".
2. Правила предоставления субсидий российским кредитным организациям на возмещение выпадающих доходов по кредитам, выданным на приобретение сельскохозяйственной, строительно-дорожной и коммунальной техники, а также оборудования для пищевой и перерабатывающей промышленности, утвержденные указанным постановлением, изложить в следующей редакции:
постановлением Правительства
Российской Федерации
от 17 февраля 2018 г. N 163
(в редакции постановления
Правительства Российской Федерации
от 9 апреля 2020 г. N 468)
ПРЕДОСТАВЛЕНИЯ СУБСИДИЙ РОССИЙСКИМ КРЕДИТНЫМ ОРГАНИЗАЦИЯМ
НА ВОЗМЕЩЕНИЕ ВЫПАДАЮЩИХ ДОХОДОВ ПО КРЕДИТАМ, ВЫДАННЫМ
НА ПРИОБРЕТЕНИЕ СПЕЦИАЛИЗИРОВАННОЙ ТЕХНИКИ
И ДЕРЕВЯННЫХ ДОМОВ
1. Настоящие Правила устанавливают порядок, цель и условия предоставления из федерального бюджета субсидий российским кредитным организациям на возмещение выпадающих доходов по кредитам, выданным на приобретение специализированной техники и деревянных домов (далее соответственно - субсидии, кредиты, организации).
Целью предоставления субсидии является достижение установленного государственной программой Российской Федерации "Развитие промышленности и повышение ее конкурентоспособности" индекса производства по виду экономической деятельности "Обрабатывающие производства" по отношению к предыдущему году.
2. Понятия, используемые в настоящих Правилах, означают следующее:
"деревянные дома" - деревянные дома, материал стен которых выполнен из клееного или цельного бруса и (или) массивных панелей, сформированных из деревянных ламелей, панелей с использованием ориентированно-стружечных плит или древесно-волокнистых плит средней плотности (плит МДФ) или цементно-стружечных плит, предусмотренные приложением N 1;
"заемщик" - юридическое лицо (в отношении специализированной техники), либо индивидуальный предприниматель (в отношении специализированной техники), либо физическое лицо (в отношении специализированной техники и деревянных домов), заключившие с организацией кредитный договор на приобретение специализированной техники или деревянного дома;
"квалификационный отбор" - отбор организаций на право получения субсидии, проводимый Министерством промышленности и торговли Российской Федерации в целях формирования в соответствующем финансовом году проекта реестра получателей субсидии, реестра получателей субсидии и листа ожидания (при необходимости);
"лист ожидания" - перечень организаций, прошедших квалификационный отбор в соответствии с настоящими Правилами, с которыми в соответствующем финансовом году могут быть заключены соглашения о предоставлении субсидии и которые могут быть включены в реестр получателей субсидии при наличии бюджетных ассигнований, предусмотренных в федеральном законе о федеральном бюджете на соответствующий финансовый год и плановый период, и лимитов бюджетных обязательств, доведенных в установленном порядке до Министерства промышленности и торговли Российской Федерации как получателя средств федерального бюджета на цель, указанную в пункте 1 настоящих Правил;
"показатель, необходимый для достижения результата предоставления субсидии" - плановое количество заключенных не ранее 1 января соответствующего финансового года кредитных договоров, необходимых для достижения результата предоставления субсидии;
"показатель ранжирования" - отношение стоимостного объема специализированной техники или деревянных домов, запланированных к реализации в кредит в соответствующем финансовом году, к запрашиваемому организацией из федерального бюджета размеру субсидии в соответствующем финансовом году по кредитным договорам, заключенным не ранее 1 января соответствующего финансового года. Минимальные значения плановых показателей ранжирования предусмотрены приложением N 1 к настоящим Правилам;
"предельные объемы государственной поддержки" - объем бюджетных ассигнований, предусмотренных в федеральном законе о федеральном бюджете на соответствующий финансовый год, и лимитов бюджетных обязательств, доведенных в установленном порядке до Министерства промышленности и торговли Российской Федерации как получателя средств федерального бюджета на цель, указанную в пункте 1 настоящих Правил, распределенные в процентном отношении по видам специализированой техники и деревянных домов согласно приложению N 1 к настоящим Правилам;
"проект реестра получателей субсидии" - перечень организаций, прошедших квалификационный отбор в соответствии с настоящими Правилами, с которыми в соответствующем финансовом году планируется заключить соглашения о предоставлении субсидии;
"реестр получателей субсидии" - перечень организаций, прошедших квалификационный отбор в соответствии с настоящими Правилами, с которыми в соответствующем финансовом году заключены соглашения о предоставлении субсидии, содержащий размер субсидии, запрашиваемый в соответствующем финансовом году, и показатель ранжирования;
"реестр получателей субсидии по ранее принятым обязательствам" - перечень организаций, с которыми Министерством промышленности и торговли Российской Федерации в 2018 - 2019 годах заключены соглашения о предоставлении субсидии, с указанием размера субсидии, запрашиваемого в соответствующем финансовом году;
"результат предоставления субсидии" - достижение стоимостного объема специализированной техники или деревянных домов, запланированных к реализации в кредит в соответствующем финансовом году по кредитным договорам, заключенным не ранее 1 января соответствующего финансового года;
"специализированная техника" - машиностроительная продукция и оборудование, соответствующие требованиям постановления Правительства Российской Федерации от 17 июля 2015 г. N 719 "О подтверждении производства промышленной продукции на территории Российской Федерации" или постановления Правительства Российской Федерации от 20 сентября 2017 г. N 1135 "Об отнесении продукции к промышленной продукции, не имеющей произведенных в Российской Федерации аналогов, и внесении изменений в некоторые акты Правительства Российской Федерации" (в части оборудования для легкой промышленности), согласно приложению N 1 к настоящим Правилам;
"ставка организации" - процентная ставка, определенная на уровне действующей на дату заключения кредитного договора процентной ставки по кредитам, выданным на приобретение соответствующего вида специализированной техники или деревянного дома, и не превышающая:
предельный уровень конечной ставки кредитования, определенный в соответствии с пунктом 6 Правил расчета базовых индикаторов при расчете параметров субсидирования процентной ставки за счет средств федерального бюджета по кредитам, облигационным займам и (или) договорам лизинга в зависимости от сроков кредитования, а также определения предельного уровня конечной ставки кредитования, при превышении которого субсидирование процентной ставки не осуществляется, утвержденных постановлением Правительства Российской Федерации от 20 июля 2016 г. N 702 "О применении базовых индикаторов при расчете параметров субсидирования процентной ставки за счет средств федерального бюджета по кредитам, облигационным займам и (или) договорам лизинга в зависимости от сроков кредитования, а также определении предельного уровня конечной ставки кредитования, при превышении которого субсидирование процентной ставки не осуществляется" (далее - предельная ставка), - в случае, если предельная ставка составляет менее базового индикатора, действующего на дату заключения кредитного договора, выданного на приобретение специализированной техники или деревянного дома, увеличенного на 5 процентных пунктов;
базовый индикатор, действующий на дату заключения кредитного договора, выданного на приобретение специализированной техники или деревянного дома, увеличенный на 5 процентных пунктов, - в случае, если предельная ставка более базового индикатора, действующего на дату выдачи кредита, увеличенного на 5 процентных пунктов.
3. Начиная с 2021 года обмен документами и информацией при формировании реестра получателей субсидии по ранее принятым обязательствам, проведении квалификационного отбора, подаче заявлений о предоставлении субсидии, предоставлении отчетности в соответствии с настоящими Правилами, а также при осуществлении мониторинга и контроля за соблюдением организациями порядка, цели и условий предоставления субсидий осуществляется с использованием государственной информационной системы промышленности в информационно-телекоммуникационной сети "Интернет" (далее - сеть "Интернет").
4. Распределение предельных объемов государственной поддержки осуществляется Министерством промышленности и торговли Российской Федерации в отношении специализированной техники и деревянных домов ежемесячно в соответствии с предельными объемами государственной поддержки, предусмотренными приложением N 1 к настоящим Правилам.
Совокупный размер субсидии, предоставляемый одной организации в случае, если в рамках одного вида специализированной техники или деревянных домов подано свыше 3 заявлений об участии в квалификационном отборе, не может превышать 30 процентов предельных объемов государственной поддержки, предусмотренных приложением N 1 к настоящим Правилам.
5. Субсидии предоставляются организациям в соответствии с предельными объемами государственной поддержки, предусмотренными приложением N 1 к настоящим Правилам, на возмещение потерь в доходах при предоставлении кредитов, выданных на приобретение специализированной техники и деревянных домов, возникших вследствие:
а) предоставления скидок при уплате процентов по кредитам, выданным не ранее 1 января 2018 г. и не позднее 1 декабря 2018 г. на приобретение специализированной техники, относящейся к следующим кодам Общероссийского классификатора продукции по видам экономической деятельности: 22.29.29.190, 25.29.1, 25.91.1, 28.13.12, 28.13.13, 28.13.14.110, 28.13.21, 28.22.14.125, 28.22.14.151, 28.22.14.159, 28.22.15.110, 28.22.15.120, 28.22.15.130, 28.22.16.120, 28.22.17, 28.22.18.220, 28.22.18.230, 28.22.18.240, 28.22.18.250, 28.22.18.261, 28.22.18.264, 28.22.18.269, 28.22.18.320, 28.25.11.110, 28.25.13.110, 28.25.14.112, 28.25.14.129, 28.29.12, 28.29.21, 28.29.31, 28.29.39, 28.29.41, 28.29.43, 28.29.5, 28.30.2, 28.30.3, 28.30.5, 28.30.6, 28.30.8, 28.92.2 (кроме 28.92.28), 28.92.30.150, 28.92.30.160, 28.92.30.190, 28.92.40.110, 28.92.40.120, 28.92.40.131, 28.92.40.133, 28.92.40.139, 28.92.5, 28.93.1 (кроме 28.93.19), 28.93.2, 29.10.51, 29.10.52.110, 29.10.59.110, 29.10.59.120, 29.10.59.130, 29.10.59.220, 29.10.59.230, 29.10.59.240, 29.10.59.250, 29.10.59.270, 29.10.59.280, 29.10.59.310, 29.10.59.320, 29.10.59.390, 29.20.23.114, 29.20.23.120, 29.20.23.130, 29.20.23.190;
б) предоставления скидок при уплате процентов по кредитам, выданным не ранее 1 апреля 2018 г. и не позднее 31 декабря 2019 г. на приобретение деревянных домов, относящихся к коду Общероссийского классификатора продукции по видам экономической деятельности 16.23.20.110;
в) предоставления скидок при уплате первоначального взноса по кредитам, выданным с 1 января 2020 г. на приобретение специализированной техники или деревянных домов, предусмотренных приложением N 1 к настоящим Правилам (за исключением продукции, указанной в пункте 3 раздела I приложения N 1 к настоящим Правилам).
6. Субсидии предоставляются организациям в размере предоставленной скидки. При этом размер субсидии не может превышать величину, рассчитанную исходя из:
90 процентов базового индикатора, рассчитанного в соответствии с Правилами расчета базовых индикаторов при расчете параметров субсидирования процентной ставки за счет средств федерального бюджета по кредитам, облигационным займам и (или) договорам лизинга в зависимости от сроков кредитования, а также определения предельного уровня конечной ставки кредитования, при превышении которого субсидирование процентной ставки не осуществляется, утвержденными постановлением Правительства Российской Федерации от 20 июля 2016 г. N 702 "О применении базовых индикаторов при расчете параметров субсидирования процентной ставки за счет средств федерального бюджета по кредитам, облигационным займам и (или) договорам лизинга в зависимости от сроков кредитования, а также определении предельного уровня конечной ставки кредитования, при превышении которого субсидирование процентной ставки не осуществляется", - в части предоставленных скидок при уплате процентов по кредитам, указанным в подпункте "а" пункта 5 настоящих Правил;
5 процентных пунктов процентной ставки, рассчитанной как разница между действующей на дату заключения кредитного договора ставкой организации и процентной ставкой, предусмотренной кредитным договором, - в части предоставленных скидок при уплате процентов по кредитам, указанным в подпункте "б" пункта 5 настоящих Правил;
10 процентов стоимости приобретаемой специализированной техники или деревянных домов, - в части предоставленных скидок на уплату первоначального взноса по кредитам, указанным в подпункте "в" пункта 5 настоящих Правил.
7. Субсидии предоставляются организациям при выполнении следующих условий:
а) кредиты выданы в валюте Российской Федерации;
б) организацией в соответствии с кредитным договором предоставлена скидка при уплате первоначального взноса по кредитам, выданным с 1 января 2020 г. на приобретение специализированной техники или деревянных домов;
в) у организации отсутствует просроченная задолженность по денежным обязательствам перед Российской Федерацией, определенным в статье 93.4 Бюджетного кодекса Российской Федерации;
г) государственная поддержка производства и реализации одной и той же единицы специализированной техники или одного и того же деревянного дома осуществляется один раз в течение срока службы такой единицы техники или такого дома, за исключением государственной поддержки, оказываемой в рамках постановлений Правительства Российской Федерации от 15 января 2014 г. N 30 "Об утверждении Правил предоставления субсидий из федерального бюджета российским производителям колесных транспортных средств на компенсацию части затрат на использование энергоресурсов энергоемкими предприятиями автомобильной промышленности", от 15 января 2014 г. N 31 "Об утверждении Правил предоставления субсидий из федерального бюджета российским производителям колесных транспортных средств на компенсацию части затрат, связанных с выпуском и поддержкой гарантийных обязательств в отношении колесных транспортных средств, соответствующих нормам Евро-4 и Евро-5", от 15 января 2014 г. N 32 "Об утверждении Правил предоставления субсидий из федерального бюджета российским производителям колесных транспортных средств на компенсацию части затрат на содержание рабочих мест", от 10 февраля 2018 г. N 145 "Об утверждении Правил предоставления субсидий из федерального бюджета российским производителям на компенсацию части затрат, связанных с выпуском и поддержкой гарантийных обязательств в отношении высокопроизводительной сельскохозяйственной самоходной и прицепной техники, и признании утратившими силу некоторых актов Правительства Российской Федерации" и от 10 февраля 2018 г. N 146 "Об утверждении Правил предоставления субсидий из федерального бюджета российским производителям на компенсацию части затрат, связанных с выпуском и поддержкой гарантийных обязательств в отношении высокопроизводительной самоходной и прицепной техники, и признании утратившими силу некоторых актов Правительства Российской Федерации";
д) при приобретении специализированной техники в случае, если:
специализированная техника выпущена в обращение (произведена) на территории Российской Федерации не ранее года, предшествовавшего году заключения кредитного договора, и ранее не была в употреблении;
срок действия кредитного договора, заключенного не ранее 1 января 2018 г. и не позднее 1 декабря 2018 г. на приобретение специализированной техники, не превышает 60 месяцев;
ставка кредитования, предусмотренная кредитным договором, определена в виде разницы между действующей на дату заключения кредитного договора на приобретение специализированной техники ставкой организации и предоставленной скидкой, - в части кредитов, выданных не ранее 1 января 2018 г. и не позднее 1 декабря 2018 г.;
специализированная техника соответствует требованиям постановления Правительства Российской Федерации от 17 июля 2015 г. N 719 "О подтверждении производства промышленной продукции на территории Российской Федерации" (которое содержит для грузовых, легковых и легких коммерческих автомобилей и автобусов совокупное количество баллов за выполнение на территории Российской Федерации операций (условий): для каждой единицы грузовых, легковых, легких коммерческих автомобилей и автобусов с 1 января 2020 г. - не менее 1500 баллов, с 1 января 2021 г. - не менее 1900 баллов, с 1 января 2022 г. - не менее 2300 баллов, с 1 января 2023 г. - не менее 2700 баллов, с 1 января 2024 г. - не менее 3100 баллов, с 1 января 2025 г. - не менее 3500 баллов; для легковых автомобилей, использующих природный газ (компримированный и сжиженный) в качестве моторного топлива, с 1 января 2019 г. - не менее 1300 баллов, с 1 января 2021 г. - не менее 1900 баллов, с 1 января 2022 г. - не менее 2300 баллов, с 1 января 2023 г. - не менее 2700 баллов, с 1 января 2024 г. - не менее 3100 баллов, с 1 января 2025 г. - не менее 3500 баллов) или заключения об отнесении продукции к промышленной продукции, не имеющей произведенных в Российской Федерации аналогов, выданного в соответствии с постановлением Правительства Российской Федерации от 20 сентября 2017 г. N 1135 "Об отнесении продукции к промышленной продукции, не имеющей произведенных в Российской Федерации аналогов, и внесении изменений в некоторые акты Правительства Российской Федерации" (в части пункта 6 раздела II приложения N 1 к настоящим Правилам);
е) при приобретении деревянных домов в случае, если:
срок действия кредитного договора, заключенного не ранее 1 апреля 2018 г. и не позднее 31 декабря 2019 г. на приобретение деревянного дома, не превышает 36 месяцев;
стоимость деревянного дома составляет не более 3,5 млн. рублей;
срок передачи деревянного дома заемщику составляет не более 4 месяцев с даты заключения кредитного договора;
процентная ставка, предусмотренная кредитным договором, определена в виде разницы между действующей на дату заключения кредитного договора на приобретение деревянного дома ставкой организации и скидкой в размере 5 процентных пунктов, - в части кредитов, выданных не ранее 1 апреля 2018 г. и не позднее 31 декабря 2019 г.
8. Субсидии предоставляются на основании соглашения о предоставлении субсидии, заключенного Министерством промышленности и торговли Российской Федерации и организацией с использованием государственной интегрированной информационной системы управления общественными финансами "Электронный бюджет" (далее - соглашение о предоставлении субсидии).
В соглашении о предоставлении субсидии предусматриваются в том числе формы представления организацией дополнительной отчетности по запросу Министерства промышленности и торговли Российской Федерации, согласие организации на проведение Министерством и органами государственного финансового контроля проверок соблюдения организацией цели, условий и порядка предоставления субсидии, которые установлены настоящими Правилами, результат предоставления субсидии и значения показателя, необходимого для достижения результата предоставления субсидии.
Дополнительные соглашения к соглашению о предоставлении субсидии, предусматривающие внесение в него изменений или его расторжение, заключаются в форме электронного документа с использованием государственной интегрированной информационной системы управления общественными финансами "Электронный бюджет" в соответствии с типовой формой, утвержденной Министерством финансов Российской Федерации.
Субсидии в соответствии с подпунктами "а" и "б" пункта 5 настоящих Правил предоставляются организации, включенной в реестр получателей субсидии по ранее принятым обязательствам, на основании соглашения о предоставлении субсидии, заключенного в 2018 - 2019 годах.
9. Организация по состоянию на дату не ранее чем за 30 дней до дня подачи указанного в пункте 12 настоящих Правил заявления должна соответствовать следующим требованиям:
а) у организации отсутствует неисполненная обязанность по уплате налогов, сборов, страховых взносов, пеней, штрафов, процентов, подлежащих уплате в соответствии с законодательством Российской Федерации о налогах и сборах;
б) у организации отсутствуют просроченная задолженность по возврату в федеральный бюджет субсидий, бюджетных инвестиций, предоставленных в том числе в соответствии с иными правовыми актами, и иная просроченная задолженность перед федеральным бюджетом;
в) организация не находится в процессе реорганизации, ликвидации, в отношении ее не введена процедура банкротства, деятельность организации не приостановлена в порядке, предусмотренном законодательством Российской Федерации;
г) организация не является иностранным юридическим лицом, а также российским юридическим лицом, в уставном (складочном) капитале которого доля участия иностранных юридических лиц, местом регистрации которых является государство или территория, включенные в утвержденный Министерством финансов Российской Федерации перечень государств и территорий, предоставляющих льготный налоговый режим налогообложения и (или) не предусматривающих раскрытия и предоставления информации при проведении финансовых операций (офшорные зоны), в совокупности превышает 50 процентов;
д) организация не получает средства из федерального бюджета в соответствии с иными нормативными правовыми актами на финансовое обеспечение и (или) возмещение выпадающих доходов, указанных в пункте 1 настоящих Правил.
10. В целях формирования на соответствующий финансовый год реестра получателей субсидии по ранее принятым обязательствам организация в срок до 1 мая соответствующего финансового года представляет в Министерство промышленности и торговли Российской Федерации заявление о включении в реестр получателей субсидии по ранее принятым обязательствам по форме согласно приложению N 2, подписанное руководителем (уполномоченным лицом с представлением документов, подтверждающих полномочия указанного лица) и главным бухгалтером организации.
11. Министерство промышленности и торговли Российской Федерации:
а) регистрирует в порядке поступления заявления, указанные в пункте 10 настоящих Правил;
б) проверяет в течение 10 рабочих дней со дня поступления заявлений, указанных в пункте 10 настоящих Правил, полноту и достоверность содержащихся в них сведений;
в) формирует реестр получателей субсидии по ранее принятым обязательствам с разбивкой по видам специализированной техники и деревянных домов и размещает его в государственной информационной системе промышленности в сети "Интернет";
г) уведомляет организацию об отказе во включении в реестр получателей субсидии по ранее принятым обязательствам и возвращает заявление о включении в реестр получателей субсидии по ранее принятым обязательствам в случае непредставления (представления не в полном объеме) документов, предусмотренных пунктом 10 настоящих Правил, и (или) в случае наличия в представленных документах недостоверной информации.
12. Организациям, включенным в реестр получателей субсидии по ранее принятым обязательствам, субсидия предоставляется в порядке, установленном пунктами 20 - 25 настоящих Правил.
При наличии нераспределенного объема средств субсидии в пределах бюджетных ассигнований, предусмотренных федеральным законом о федеральном бюджете на соответствующий финансовый год и плановый период, и лимитов бюджетных обязательств, доведенных в установленном порядке до Министерства промышленности и торговли Российской Федерации как получателя средств федерального бюджета на цель, указанную в пункте 1 настоящих Правил, Министерство промышленности и торговли Российской Федерации с учетом предельных объемов государственной поддержки проводит квалификационный отбор.
Для участия в квалификационном отборе организация в срок с 15 мая по 15 июня соответствующего финансового года представляет в Министерство промышленности и торговли Российской Федерации заявление об участии в квалификационном отборе по форме согласно приложению N 3, подписанное руководителем (уполномоченным лицом с представлением документов, подтверждающих полномочия указанного лица) и главным бухгалтером организации, отдельно в отношении каждого предмета кредитного договора (вида специализированной техники или деревянных домов) с приложением следующих документов:
а) справка, подписанная руководителем (уполномоченным лицом с представлением документов, подтверждающих полномочия указанного лица) и главным бухгалтером организации (при наличии), с указанием банковских реквизитов и расчетного счета организации, на который перечисляется субсидия;
б) справка налогового органа, подтверждающая отсутствие у организации по состоянию на дату не ранее чем за 30 дней до дня подачи заявления об участии в квалификационном отборе неисполненной обязанности по уплате налогов, сборов, страховых взносов, пеней, штрафов, процентов, подлежащих уплате в соответствии с законодательством Российской Федерации о налогах и сборах (в случае непредставления такого документа Министерство промышленности и торговли Российской Федерации запрашивает его самостоятельно);
в) справка, подписанная руководителем (уполномоченным лицом с представлением документов, подтверждающих полномочия указанного лица) и главным бухгалтером организации (при наличии), подтверждающая соответствие организации по состоянию на дату не ранее чем за 30 дней до дня подачи заявления об участии в квалификационном отборе требованиям, установленным подпунктами "б" - "д" пункта 9 настоящих Правил;
г) перечень соглашений о реализации корпоративной программы повышения конкурентоспособности (при наличии), заключенных в соответствии с постановлением Правительства Российской Федерации от 23 февраля 2019 г. N 191 "О государственной поддержке организаций, реализующих корпоративные программы повышения конкурентоспособности, и внесении изменения в Правила предоставления из федерального бюджета субсидии в виде имущественного взноса Российской Федерации в государственную корпорацию "Банк развития и внешнеэкономической деятельности (Внешэкономбанк)" на возмещение части затрат, связанных с поддержкой производства высокотехнологичной продукции" Министерством промышленности и торговли Российской Федерации и производителем специализированной техники или деревянного дома - предмета кредитного договора либо производителем специализированной техники, на базе которой предмет кредитного договора изготовлен (в отношении машиностроительной продукции).
13. Министерство промышленности и торговли Российской Федерации:
а) в течение 3 рабочих дней осуществляет регистрацию заявлений об участии в квалификационном отборе и прилагаемых к ним документов;
б) в течение 20 рабочих дней проводит проверку документов, представленных в соответствии с пунктом 12 настоящих Правил;
в) уведомляет организацию об отказе в допуске к участию в квалификационном отборе и возвращает заявление об участии в квалификационном отборе с прилагаемыми документами в случае непредставления (представления не в полном объеме) документов, предусмотренных пунктом 12 настоящих Правил, и (или) в случае наличия в представленных документах недостоверной информации.
14. Квалификационный отбор осуществляется отдельно в отношении каждого предмета кредитного договора (вида специализированной техники или деревянных домов) в 2 этапа путем ранжирования заявленных организациями значений показателя ранжирования:
на первом этапе присваиваются порядковые номера заявлениям об участии в квалификационном отборе с прилагаемыми в соответствии с подпунктами "а" - "г" пункта 12 настоящих Правил документами в порядке убывания значения заявленного организациями показателя ранжирования;
на втором этапе присваиваются порядковые номера заявлениям об участии в квалификационном отборе с прилагаемыми в соответствии с подпунктами "а" - "в" пункта 12 настоящих Правил документами в порядке убывания значения заявленного организациями показателя ранжирования начиная с порядкового номера, следующего за последним порядковым номером, присвоенным заявлению по итогам первого этапа.
В случае равенства показателя ранжирования у нескольких организаций более высокий ранг присваивается заявлению об участии в квалификационном отборе, в котором запрашивается меньший размер субсидии.
В случае равенства таких размеров субсидии более высокий ранг присваивается организации, ранее представившей заявление об участии в квалификационном отборе.
15. По результатам квалификационного отбора Министерство промышленности и торговли Российской Федерации в течение 10 рабочих дней:
а) формирует проект реестра получателей субсидии с учетом предельных объемов государственной поддержки на соответствующий финансовый год в соответствии с присвоенными заявлениям об участии в квалификационном отборе порядковыми номерами до исчерпания лимитов бюджетных обязательств, доведенных в установленном порядке до Министерства промышленности и торговли Российской Федерации как получателя средств федерального бюджета на соответствующий финансовый год на цель, предусмотренную пунктом 1 настоящих Правил;
б) включает в проект реестра получателей субсидии в случае наличия нераспределенных лимитов бюджетных обязательств, образовавшихся по итогам формирования указанного проекта реестра в соответствии с подпунктом "а" настоящего пункта, организацию, заявлению об участии в квалификационном отборе которой присвоен порядковый номер, следующий за порядковым номером, присвоенным заявлению об участии в квалификационном отборе организации, включенной последней в проект реестра получателей субсидии в соответствии с подпунктом "а" настоящего пункта, предусмотрев пропорциональное уменьшение такой организации запрашиваемого размера субсидии, пропорциональное снижение результата предоставления субсидии и показателя, необходимого для достижения результата предоставления субсидии, а также пересчет показателя ранжирования.
В случае если в рамках одного вида специализированной техники или деревянных домов организациями подано свыше 3 заявлений об участии в квалификационном отборе и размер субсидии, запрашиваемый организацией превышает 30 процентов предельных объемов государственной поддержки, предусмотренных приложением N 1 к настоящим Правилам, Министерство промышленности и торговли Российской Федерации при формировании в соответствии с подпунктом "а" настоящего пункта проекта реестра получателей субсидии предусматривает пропорциональное уменьшение такой организации запрашиваемого размера субсидии, пропорциональное снижение результата предоставления субсидии и показателя, необходимого для достижения результата предоставления субсидии, а также пересчет показателя ранжирования;
в) формирует лист ожидания (при необходимости) с учетом предельных объемов государственной поддержки на соответствующий финансовый год;
г) обеспечивает размещение проекта реестра получателей субсидии и листа ожидания (при наличии) в государственной информационной системе промышленности в сети "Интернет".
16. Министерство промышленности и торговли Российской Федерации:
а) направляет в течение 10 рабочих дней со дня размещения проекта реестра получателей субсидии и листа ожидания (при наличии) организациям, включенным в проект реестра получателей субсидии, соглашение о предоставлении субсидии для заключения в государственной интегрированной информационной системе управления общественными финансами "Электронный бюджет";
б) исключает из проекта реестра получателей субсидии организации в случае неподписания ими соглашения о предоставлении субсидии в течение 5 рабочих дней со дня получения организациями такого соглашения;
в) в течение 20 рабочих дней со дня размещения проекта реестра получателей субсидии включает организации из листа ожидания в проект реестра получателей субсидии в пределах размеров субсидии, запрошенных организациями, включенными в проект реестра получателей субсидии, с которыми не заключены соглашения о предоставлении субсидии, и заключает с ними соглашения о предоставлении субсидии в соответствии с настоящим пунктом.
17. Министерство промышленности и торговли Российской Федерации рассматривает заявления об участии в квалификационном отборе организаций, включенных в лист ожидания, в случае:
увеличения в соответствующем финансовом году объема бюджетных ассигнований, предусмотренных в федеральном законе о федеральном бюджете на соответствующий финансовый год и плановый период, и лимитов бюджетных обязательств, доведенных в установленном порядке до Министерства промышленности и торговли Российской Федерации как получателя средств федерального бюджета на цель, указанную в пункте 1 настоящих Правил;
перераспределения предельных объемов государственной поддержки между видами специализированной техники и деревянных домов;
исключения организации из реестра получателей субсидии в соответствии с пунктом 18 настоящих Правил.
По результатам рассмотрения Министерство промышленности и торговли Российской Федерации включает организации, включенные в лист ожидания, в реестр получателей субсидии и заключает с ними соглашение о предоставлении субсидии.
18. Организация исключается Министерством промышленности и торговли Российской Федерации из реестра получателей субсидии в случае, если с организацией расторгнуто соглашение о предоставлении субсидии.
19. В случае наличия после проведения квалификационного отбора нераспределенного объема средств субсидии в пределах бюджетных ассигнований, предусмотренных в федеральном законе о федеральном бюджете на соответствующий финансовый год и плановый период, и лимитов бюджетных обязательств, доведенных в установленном порядке до Министерства промышленности и торговли Российской Федерации как получателя средств федерального бюджета на цель, указанную в пункте 1 настоящих Правил, Министерство промышленности и торговли Российской Федерации вправе провести повторный квалификационный отбор с предварительным размещением извещения о его проведении в государственной информационной системе промышленности в сети "Интернет".
Повторный квалификационный отбор проводится в соответствии с пунктами 13 - 17 настоящих Правил.
20. Для получения субсидии организация, включенная в реестр получателей субсидии по ранее принятым обязательствам и (или) реестр получателей субсидии, представляет в Министерство промышленности и торговли Российской Федерации не позднее 5-го числа каждого месяца заявление о предоставлении субсидии, подписанное руководителем (уполномоченным лицом с представлением документов, подтверждающих полномочия указанного лица) и главным бухгалтером организации, с приложением следующих документов:
а) расчет размера субсидии по форме согласно приложениям N 4 и (или) 5;
б) копия действующего на дату заключения кредитного договора заключения о подтверждении производства промышленной продукции на территории Российской Федерации, выданного в соответствии с постановлением Правительства Российской Федерации от 17 июля 2015 г. N 719 "О подтверждении производства промышленной продукции на территории Российской Федерации" или заключения об отнесении продукции к промышленной продукции, не имеющей произведенных в Российской Федерации аналогов, выданного в соответствии с постановлением Правительства Российской Федерации от 20 сентября 2017 г. N 1135 "Об отнесении продукции к промышленной продукции, не имеющей произведенных в Российской Федерации аналогов, и внесении изменений в некоторые акты Правительства Российской Федерации", в отношении каждой единицы предмета кредитного договора.
21. Министерство промышленности и торговли Российской Федерации:
а) регистрирует в порядке поступления заявления и документы, указанные в пункте 20 настоящих Правил;
б) в течение 15 рабочих дней со дня поступления заявлений и документов, указанных в пункте 20 настоящих Правил, проверяет полноту и достоверность содержащихся в них сведений и принимает решение о предоставлении субсидии либо об отказе в предоставлении субсидии.
22. Министерство промышленности и торговли Российской Федерации не позднее 10 рабочих дней со дня принятия решения о предоставлении субсидии обеспечивает перечисление субсидии в установленном порядке на расчетный счет организации, открытый в учреждениях Центрального банка Российской Федерации или иных кредитных организациях.
23. В случае принятия решения об отказе в предоставлении субсидии Министерство промышленности и торговли Российской Федерации в течение 10 рабочих дней со дня принятия указанного решения возвращает организации заявление о предоставлении субсидии и документы, представленные в соответствии с пунктом 20 настоящих Правил, с уведомлением, в котором указываются основания принятого решения в соответствии с пунктом 24 настоящих Правил.
24. Основанием для отказа организации в предоставлении субсидии является:
а) несоответствие документов, представленных в соответствии с пунктом 20 настоящих Правил, требованиям, установленным настоящими Правилами и соглашением о предоставлении субсидии, недостоверность представленной информации или непредставление (представление не в полном объеме) указанных документов;
б) наличие у организации просроченной задолженности по денежным обязательствам перед Российской Федерацией, определенным в статье 934 Бюджетного кодекса Российской Федерации;
в) представленный организацией расчетный размер субсидии превышает размер субсидии на соответствующий финансовый год, предусмотренный реестром получателей субсидии по ранее принятым обязательствам и (или) реестром получателей субсидии;
г) невыполнение организацией условий, предусмотренных пунктом 7 настоящих Правил.
25. Организация, включенная в реестр получателей субсидии, обязана в течение 25 рабочих дней со дня окончания соответствующего финансового года представить в Министерство промышленности и торговли Российской Федерации отчеты о достижении показателя ранжирования, результата предоставления субсидии и показателя, необходимого для достижения результата предоставления субсидии, подписанные руководителем (уполномоченным лицом с представлением документов, подтверждающих полномочия указанного лица) и главным бухгалтером организации.
26. Министерство промышленности и торговли Российской Федерации по итогам соответствующего финансового года проводит оценку эффективности предоставления субсидии путем сравнения планового и фактического стоимостных объемов специализированной техники или деревянных домов, реализованных в кредит в соответствующем финансовом году.
По результатам оценки эффективности предоставления субсидии Министерство промышленности и торговли Российской Федерации рассчитывает фактический размер субсидии (Sфакт) по формуле:
Sфакт = Sплан x Vфакт / Vплан,
Sплан - размер субсидии, запрошенный организацией при участии в квалификационном отборе в соответствующем финансовом году, рублей;
Vплан - стоимостный объем специализированной техники или деревянных домов, запланированных к реализации в кредит в соответствующем финансовом году, заявленный организацией при участии в квалификационном отборе, рублей;
Vфакт - стоимостный объем специализированной техники или деревянных домов, фактически реализованных в кредит в соответствующем финансовом году, рублей.
27. Организация в случае установления факта недостижения результата предоставления субсидии уплачивает в федеральный бюджет штраф в размере (Sштраф), определяемом по формуле:
Sштраф = (Sплан - Sфакт) x 2k,
Sплан - размер субсидии, запрошенный организацией при участии в квалификационном отборе в соответствующем финансовом году, рублей;
Sфакт - фактический размер субсидии, рублей;
k - коэффициент, учитывающий средний размер ключевой ставки, устанавливаемой Центральным банком Российской Федерации, за период предоставления субсидии в соответствующем финансовом году, выраженный в долях единицы.
Если фактические показатели (Sфакт) превышают плановые (Sплан), то (Sфакт) принимается равным (Sплан).
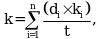
28. Коэффициент, учитывающий средний размер ключевой ставки, устанавливаемой Центральным банком Российской Федерации, за период предоставления субсидии в соответствующем финансовом году (k) определяется по формуле:
n - количество периодов, в которых действовали различные уровни ключевой ставки Центрального банка Российской Федерации;
di - количество календарных дней действия i-й ключевой ставки Центрального банка Российской Федерации (в пределах периода с момента заключения организацией соглашения о предоставлении субсидии);
ki - размер ключевой ставки Центрального банка Российской Федерации, выраженный в долях единицы;
t - суммарное количество календарных дней со дня заключения организацией соглашения о предоставлении субсидии.
29. Министерство промышленности и торговли Российской Федерации и (или) уполномоченные органы государственного финансового контроля осуществляют обязательные проверки соблюдения организациями порядка, цели и условий предоставления субсидии.
30. В случае установления по итогам проверок, проведенных Министерством промышленности и торговли Российской Федерации и уполномоченными органами государственного финансового контроля, факта нарушения организацией условий, установленных при предоставлении субсидии, а также недостижения показателя ранжирования, и (или) результата предоставления субсидии, и (или) показателя, необходимого для достижения результата предоставления субсидии, соответствующие средства подлежат возврату в доход федерального бюджета:
а) на основании требования Министерства промышленности и торговли Российской Федерации - не позднее 10-го рабочего дня со дня получения организацией указанного требования;
б) на основании представления и (или) предписания уполномоченных органов государственного финансового контроля - в сроки, установленные в соответствии с бюджетным законодательством Российской Федерации.
к Правилам предоставления субсидий
российским кредитным организациям
на возмещение выпадающих доходов
по кредитам, выданным на приобретение
специализированной техники
и деревянных домов
СПЕЦИАЛИЗИРОВАННОЙ ТЕХНИКИ И ДЕРЕВЯННЫХ ДОМОВ, ПРЕДЕЛЬНЫЕ
ОБЪЕМЫ ГОСУДАРСТВЕННОЙ ПОДДЕРЖКИ И МИНИМАЛЬНЫЕ ЗНАЧЕНИЯ
ПОКАЗАТЕЛЯ РАНЖИРОВАНИЯ
--------------------------------
<1> Коды ОКПД 2 29.10.2 - 29.10.5.
<2> Коды ОКПД 2 29.10.2 - 29.10.5, 28.30.2, 28.30.5, 28.30.6, 28.30.34, 28.30.86.
<3> Коды ОКПД 2 30.20.20.112, 30.20.20.114, 30.20.20.111, 30.20.32.112, 30.20.32.111 (только в части вагонов, предназначенных для перевозок в пригородном сообщении).
<4> Коды ОКПД 2 29.10.2 - 29.10.3, 30.20.20.120, 30.20.32.120, 29.10.30.120, 29.10.30.110, 29.10.24, 29.10.59.390.
<5> Коды ОКПД 2 28.22.14.125, 28.22.14.151, 28.22.14.159, 28.22.15.110, 28.22.15.120, 28.30 (в части машин и оборудования для лесного хозяйства), 28.92.2 (кроме 28.92.28), 28.92.30.150, 28.92.30.160, 28.92.30.190, 28.92.40.110, 28.92.40.120, 28.92.40.131, 28.92.40.133, 28.92.40.139, 28.92.5, 28.99.39.190, 29.10.51, 29.10.52.110, 29.10.52.130, 29.10.52.190, 29.10.59.110, 29.10.59.120, 29.10.59.130, 29.10.59.140, 29.10.59.180, 29.10.59.220, 29.10.59.230, 29.10.59.240, 29.10.59.250, 29.10.59.270, 29.10.59.280, 29.10.59.310, 29.10.59.320, 29.10.59.390, 29.20.23.110, 29.20.23.120, 29.20.23.130, 29.20.23.190, 30.92.10.
<6> Коды ОКПД 2 28.30.2, 28.30.3, 28.30.5, 28.30.6, 28.30.8.
<7> Коды ОКПД 2 28.22.14.140, 28.22.14.120, 28.22.14.121, 28.22.14.122, 28.22.14.123, 28.22.14.125, 28.22.14.126, 28.22.14.129, 28.22.16, 28.25.12, 28.25.2, 28.91.11, 28.92.12, 28.92.30.130, 28.96.1, 25.21.12, 25.21.13, 25.30.11, 25.30.13, 25.30.21, 25.30.22, 27.11.26, 27.11.31, 27.11.32, 28.11.21, 28.11.22, 28.11.23, 28.11.24, 28.11.31, 28.11.32, 28.11.33, 27.11.10, 27.11.21, 27.11.22, 27.11.23, 27.11.24, 27.11.25, 27.11.41, 27.11.42, 27.11.43, 27.12.10, 27.12.21, 27.12.22, 27.12.23, 27.12.31, 27.12.32, 27.20.11, 27.20.22, 27.20.23, 27.33.11, 27.33.13.110, 27.33.13.140, 27.33.13.150, 27.33.13.160, 27.31.11, 27.31.12.120, 27.32.11, 27.32.12, 27.32.13, 27.32.14, 28.41.1, 28.41.2, 28.41.3, 28.49.1, 28.22.18.314, 27.90.31.110, 28.29.70.110, 28.29.60.000, 28.94 (кроме 28.94.5, 28.94.9).
<8> Коды ОКПД 2 28.41.1, 28.41.2, 28.41.3, 28.49.1, 28.22.18.314, 27.90.31.110, 28.29.70.110, 28.29.60.000, 25.29.12, 25.73.60.120, 28.13.1, 28.13.2, 28.25.11, 28.25.14, 28.29.12, 28.99.39.190, 28.22.11, 28.22.14.140, 28.22.14.120, 28.22.14.121, 28.22.14.122, 28.22.14.123, 28.22.14.125, 28.22.14.126, 28.22.14.129, 28.22.16.120, 28.25.12, 28.25.2, 28.91.11, 28.96.1, 25.21.12, 25.30.11, 27.11.26, 27.11.31, 27.11.32, 27.11.10, 27.11.21, 27.11.22, 27.11.23, 27.11.24, 27.11.25, 27.33.13.
<9> Коды ОКПД 2 22.29.29.190, 25.29.1, 25.91.11, 28.13.12, 28.13.14.190, 28.13.21, 28.22.17.111, 28.22.17.112, 28.22.17.113, 28.22.17.114, 28.22.17.115, 28.22.17.116, 28.22.17.119, 28.22.17.120, 28.22.17.190, 28.22.18.261, 28.22.18.264, 28.22.18.320, 28.25.11.110, 28.25.13.110, 28.25.14.112, 28.25.14.129, 28.29.12, 28.29.21, 28.29.31.110, 28.29.31.120, 28.29.31.130, 28.29.39, 28.29.41, 28.29.43, 28.29.50, 28.30.81, 28.30.82, 28.30.83, 28.30.84, 28.30.85, 28.30.86.110, 28.30.86.120, 28.30.86.140, 28.93.1 (кроме 28.93.19), 28.93.2.
<10> Коды ОКПД 2 25.73.5, 28.22.14.121, 28.22.14.140, 28.22.14.120, 28.22.14.122, 28.22.14.123, 28.22.14.125, 28.22.14.126, 28.22.14.129, 28.22.14, 28.92.11, 28.22.17.111, 28.91.1.
<11> Коды ОКПД 2 26.1, 26.2, 26.3, 26.5, 26.7, 26.8, 27, 28.1, 28.2, 28.4, 28.9, 29, 30.2, 30.9.
<12> Коды ОКПД 2 27.90.31.110, 28.41.1, 28.41.2, 28.41.3, 28.22.18.314, 28.29.31.110, 28.29.60.000, 28.91.11, 28.22.14.121.
<13> Коды ОКПД 2 26.60.1, 27.90, 28.13.2, 28.21.13, 28.41, 28.49, 28.9.
<15> Код ОКПД 2 16.23.20.110.
к Правилам предоставления субсидий
российским кредитным организациям
на возмещение выпадающих доходов
по кредитам, выданным на приобретение
специализированной техники
и деревянных домов
Форму в MS-Word см. в Постановлении Правительства РФ от 17.02.2018 N 163.
|
организации (при наличии) |
||||
к заявлению о включении в реестр
получателей субсидии по ранее
принятым обязательствам
Форму в MS-Excel см. в Постановлении Правительства РФ от 17.02.2018 N 163.
|
п/п |
Наименование, модель и модификация специализированной техники или материал стен деревянного дома (с указанием кода ОКПД 2 и производителя) |
Стоимость специализированной техники (рублей, без учета НДС) или деревянного дома (рублей, с учетом НДС) |
Остаток ссудной задолженности по состоянию на 31 декабря соответствующего финансового года (рублей) |
|||||
|
Оборудование для пищевой и (или) перерабатывающей промышленности |
||||||||
|
организации (при наличии) |
||||
к Правилам предоставления субсидий
российским кредитным организациям
на возмещение выпадающих доходов
по кредитам, выданным на приобретение
специализированной техники
и деревянных домов
Форму в MS-Word см. в Постановлении Правительства РФ от 17.02.2018 N 163.
|
об участии в квалификационном отборе на право получения субсидии организациями на возмещение выпадающих доходов по кредитам, выданным на приобретение специализированной техники и деревянных домов |
|
(предмет кредитного договора - вид специализированной техники или деревянных домов согласно приложению N 1 <*>) |
|
организации (при наличии) |
||||
--------------------------------
<*> Приложение N 1 к Правилам предоставления субсидий российским кредитным организациям на возмещение выпадающих доходов по кредитам, выданным на приобретение специализированной техники и деревянных домов, утвержденным постановлением Правительства Российской Федерации от 17 февраля 2018 г. N 163 "Об утверждении Правил предоставления субсидий российским кредитным организациям на возмещение выпадающих доходов по кредитам, выданным на приобретение специализированной техники и деревянных домов".
к Правилам предоставления субсидий
российским кредитным организациям
на возмещение выпадающих доходов
по кредитам, выданным на приобретение
специализированной техники
и деревянных домов
Форму в MS-Excel см. в Постановлении Правительства РФ от 17.02.2018 N 163.
размера субсидии ______________________________________
(наименование организации)
на возмещение выпадающих доходов по кредитам, выданным
на приобретение специализированной техники и деревянных
домов в 2018 - 2019 годах
|
Наименование, модель и модификация специализированной техники или материал стен деревянного дома (с указанием кода ОКПД 2 и производителя) |
Реквизиты акта приема-передачи деревянного дома (для кредитов, выданных на приобретение деревянных домов) |
Год выпуска (производства) специализированной техники в обращение |
Стоимость специализированной техники (рублей, без учета НДС) или деревянного дома (рублей, с учетом НДС) |
Разница между ставкой организации и ставкой по кредитному договору (гр. 11 - гр. 12) |
Базовый индикатор на дату заключения кредитного договора (процентов) |
Сумма процентов, рассчитанных исходя из ставки организации (рублей) |
Сумма процентов, уплаченных исходя из ставки по кредитному договору (рублей) |
Сумма выпадающих доходов, подлежащих компенсации (гр. 15 - гр. 16) (рублей) |
||||||||
|
Оборудование для пищевой и (или) перерабатывающей промышленности |
||||||||||||||||
Общая сумма выпадающих доходов по кредитам, выданным на приобретение
специализированной техники и деревянных домов, _____ рублей.
Настоящим расчетом _______________________________________ подтверждает
(наименование организации)
выполнение условий, предусмотренных пунктом 7 Правил предоставления
субсидий российским кредитным организациям на возмещение выпадающих доходов
по кредитам, выданным на приобретение специализированной техники и
деревянных домов, утвержденных постановлением Правительства Российской
Федерации от 17 февраля 2018 г. N 163 "Об утверждении Правил предоставления
субсидий российским кредитным организациям на возмещение выпадающих доходов
по кредитам, выданным на приобретение специализированной техники и
деревянных домов".
к Правилам предоставления субсидий
российским кредитным организациям
на возмещение выпадающих доходов
по кредитам, выданным на приобретение
специализированной техники
и деревянных домов
Форму в MS-Excel см. в Постановлении Правительства РФ от 17.02.2018 N 163.
размера субсидии на уплату первоначального взноса,
предоставляемой ________________________________________
(наименование организации)
на возмещение выпадающих доходов по кредитам, выданным
на приобретение специализированной техники и деревянных
домов не ранее 1 января соответствующего финансового года
|
Наименование, модель и модификация специализированной техники или материал стен деревянного дома (с указанием кода ОКПД 2 и производителя) |
Реквизиты акта приема-передачи деревянного дома (для кредитов, выданных на приобретение деревянных домов) |
Год выпуска (производства) специализированной техники в обращение |
Стоимость специализированной техники (рублей, без учета НДС) или деревянного дома (рублей, с учетом НДС) |
Размер первоначального взноса (процентов от стоимости специализированной техники или деревянного дома) |
Скидка при уплате первоначального взноса (процентов от стоимости специализированной техники или деревянного дома) |
Предельный размер субсидии (гр. 8 x 0,1) (рублей) |
Сумма понесенных затрат, подлежащих возмещению (меньшее значение из гр. 10 и гр. 11) (рублей) |
||||
|
Вид специализированной техники или деревянных домов согласно приложению N 1 <*> |
|||||||||||
|
Вид специализированной техники или деревянных домов согласно приложению N 1 <*> |
|||||||||||
Общая сумма выпадающих доходов по кредитам, выданным на приобретение
специализированной техники и деревянных домов, _____ рублей.
Настоящим расчетом _______________________________________ подтверждает
(наименование организации)
выполнение условий, предусмотренных пунктом 7 Правил предоставления
субсидий российским кредитным организациям на возмещение выпадающих доходов
по кредитам, выданным на приобретение специализированной техники и
деревянных домов, утвержденных постановлением Правительства Российской
Федерации от 17 февраля 2018 г. N 163 "Об утверждении Правил предоставления
субсидий российским кредитным организациям на возмещение выпадающих доходов
по кредитам, выданным на приобретение специализированной техники и
деревянных домов".
--------------------------------
<*> Приложение N 1 к Правилам предоставления субсидий российским кредитным организациям на возмещение выпадающих доходов по кредитам, выданным на приобретение специализированной техники и деревянных домов, утвержденным постановлением Правительства Российской Федерации от 17 февраля 2018 г. N 163 "Об утверждении Правил предоставления субсидий российским кредитным организациям на возмещение выпадающих доходов по кредитам, выданным на приобретение специализированной техники и деревянных домов".".
- Гражданский кодекс (ГК РФ)
- Жилищный кодекс (ЖК РФ)
- Налоговый кодекс (НК РФ)
- Трудовой кодекс (ТК РФ)
- Уголовный кодекс (УК РФ)
- Бюджетный кодекс (БК РФ)
- Арбитражный процессуальный кодекс
- Конституция РФ
- Земельный кодекс (ЗК РФ)
- Лесной кодекс (ЛК РФ)
- Семейный кодекс (СК РФ)
- Уголовно-исполнительный кодекс
- Уголовно-процессуальный кодекс
- Производственный календарь на 2025 год
- МРОТ 2026
- ФЗ «О банкротстве»
- О защите прав потребителей (ЗОЗПП)
- Об исполнительном производстве
- О персональных данных
- О налогах на имущество физических лиц
- О средствах массовой информации
- Производственный календарь на 2026 год
- Федеральный закон "О полиции" N 3-ФЗ
- Расходы организации ПБУ 10/99
- Минимальный размер оплаты труда (МРОТ)
- Календарь бухгалтера на 2026 год
- Частичная мобилизация: обзор новостей
- Постановление Правительства РФ N 1875
