3. Членам ТРГ и РПС рекомендуется выбирать технологии, соответствующие сочетанию пяти основных критериев, приведенных в пункте 17 Правил определения технологии в качестве наилучшей доступной технологии, а также разработки, актуализации и опубликования информационно-технических справочников по наилучшим доступным технологиям, утвержденных постановлением Правительства Российской Федерации от 23 декабря 2014 г. N 1458 (далее - Правила):
а) наименьший уровень негативного воздействия на окружающую среду в расчете на единицу времени или объем производимой продукции (товара), выполняемой работы, оказываемой услуги либо уровень, соответствующий другим показателям воздействия на окружающую среду, предусмотренным международными договорами Российской Федерации;
б) экономическая эффективность внедрения и эксплуатации;
в) применение ресурсо- и энергосберегающих методов;
д) промышленное внедрение технологических процессов, оборудования, технических способов, методов на 2 или более объектах в Российской Федерации, оказывающих негативное воздействие на окружающую среду <1> и относящихся к области применения НДТ (далее - объект).
--------------------------------
<1> В случаях, когда количество объектов в Российской Федерации составляет менее 2-х, рекомендуется в качестве референтных объектов, демонстрирующих промышленное внедрение технологических процессов, оборудования, технических способов, использовать зарубежные производственные площадки, относящиеся к области применения НДТ.
4. Рассмотрение критериев рекомендуется проводить в следующем порядке.
4.1. Наименьший уровень негативного воздействия на окружающую среду в расчете на единицу времени или объем производимой продукции (товара), выполняемой работы, оказываемой услуги либо соответствие другим показателям воздействия на окружающую среду, предусмотренным международными договорами Российской Федерации при одновременном внедрении на 2-х и более объектах.
4.1.1. Источниками информации об области применения НДТ в целом, а также о применяемых в данной области технологических процессах, оборудовании, технических методах, способах, приемах и средствах могут являться (в порядке убывания надежности данных):
а) сведения об экологической и ресурсной эффективности предприятий конкретной области применения НДТ, полученные в процессе сбора и обработки данных, необходимых для разработки и актуализации справочника, с использованием унифицированных отраслевых шаблонов, разработанных в соответствии с Правилами;
б) результаты научно-исследовательских работ и диссертационных работ, монографии и прочие издания (статьи, монографии), технологические регламенты;
в) международные справочники по наилучшим доступным технологиям;
г) информация, полученная в ходе консультаций с экспертами в соответствующей области.
На первом этапе сбора и обработки данных рекомендуется провести анализ общих сведений об области применения НДТ с целью получения следующих сведений:
а) примерное количество объектов и территориальное распределение объектов (в качестве источника сведений может быть использован государственный реестр объектов, оказывающих негативное воздействие на окружающую среду);
б) распределение объектов по производственной мощности и видам продукции;
в) главные стадии производства (оказания услуг);
г) основные экологические аспекты, характерные для данной области применения НДТ, то есть элементы деятельности организации, ее продукции или услуг, которые могут взаимодействовать с окружающей средой;
д) показатели потребления ресурсов (ресурсной эффективности), характерные для используемых в данной области применения НДТ технологических процессов (частей производственного процесса, являющихся совокупностью технологических операций);
е) показатели эмиссий, то есть непосредственных или косвенных выпусков вещества, вибрации, тепла или шума из организованных или неорганизованных источников в окружающую среду, характерные для технологических процессов, используемых в данной области применения НДТ.
Для выбросов и сбросов загрязняющих веществ рекомендуется выделять маркерные параметры. Для образующихся отходов рекомендуется выделять отходы, которые направляются на обработку, обезвреживание и размещение. Целесообразно также обращать внимание на иные виды негативного воздействия, характерные для данной области применения НДТ.
4.1.2. Информацию для выбора используемых технологий, внедренных на двух или более предприятиях, в рамках области применения НДТ рекомендуется обрабатывать следующим образом:
а) технологические процессы, оборудование, технические методы, способы, приемы и средства группируются по стадиям, на которых они применяются <2>;
--------------------------------
<2> В случаях, когда есть существенные различия в применяемых технологиях в зависимости от местных условий, то технологии могут быть сгруппированы в зависимости от условий, в которых они применяются; в таком случае НДТ рекомендуется определять как для области применения НДТ в целом, так и для каждой группировки технологий в отдельности.
б) далее проводится обработка информации о факторах воздействия на окружающую среду и потребления ресурсов на всех стадиях производства, с учетом установленных ранее основных экологических аспектов: определяются стадии производства (этапы оказания услуг), характеризующиеся наибольшим воздействием на окружающую среду (по видам воздействия, по видам загрязняющих веществ и классам опасности отходов) и потреблением ресурсов (по видам ресурсов).
На основании обработки информации рекомендуется сформировать описание основных задач снижения негативного воздействия на окружающую среду и повышения ресурсной эффективности, характерных для конкретного вида хозяйственной и иной деятельности; описание традиционно применяемых основных технологических процессов.
В случае, если свидетельства промышленного внедрения на двух объектах (предприятиях), функционирующих в Российской Федерации, отсутствуют <3>, технологию рекомендуется включать в перечень перспективных технологий, которые пока не получили достаточного распространения. Как правило, к таким технологиям относятся технологии, в отношении которых проводятся научно-исследовательские и опытно-конструкторские работы или осуществляется их опытно-промышленное внедрение.
--------------------------------
<3> Кроме случаев, когда количество объектов в Российской Федерации составляет менее 2-х, рекомендуется в качестве референтных объектов, демонстрирующих промышленное внедрение технологических процессов, оборудования, технических способов, использовать зарубежные производственные площадки, относящиеся к области применения НДТ.
Когда для технологического процесса применим целый ряд альтернативных технологий и когда существует выбор в отношении того, в каком из компонентов окружающей среды можно разместить загрязняющие вещества, рекомендуется выбирать технологию, характеризующуюся наименьшим отрицательным воздействием.
При оценке выбросов загрязняющих веществ в воздух и их сбросов в водные объекты рекомендуется учитывать:
а) массу выбросов или сбросов загрязняющих веществ;
б) сведения о выбросах и сбросах загрязняющих веществ, характеризующихся высокой стойкостью, биоаккумуляцией, токсическими и канцерогенными эффектами, рассматриваются как приоритетные в связи с возможностью их переноса на дальние расстояния (в том числе трансграничным переносом);
в) возможность сокращения выбросов загрязняющих веществ, сбросов загрязняющих веществ с использованием природоохранного оборудования;
г) характер последствий воздействия - долгосрочные необратимые воздействия требует дополнительного внимания.
Промышленные процессы сопровождаются образованием твердых и жидких отходов, которые могут быть переработаны и размещены либо в месте образования, либо вывезены с предприятия для переработки или размещения в другом месте.
При сравнении альтернативных технологий, в результате которых образуются отходы, может быть полезен анализ количества образующихся отходов, их состава и возможных воздействий на окружающую среду. При проведении инвентаризации отходов, образующихся в результате каждой из рассматриваемых альтернативных технологий, отходы рекомендуется разделить на 5 классов, а именно:
I класс - чрезвычайно опасные;
V класс - практически неопасные.
Для каждого из классов рекомендуется определить количество образующихся отходов в килограммах на единицу продукции.
При отнесении технологии к НДТ характер и масштаб негативного воздействия на окружающую среду и возможность снижения эмиссий, связанных с процессом, может оцениваться на основании следующих показателей:
а) для выбросов загрязняющих веществ в атмосферный воздух:
перечень стационарных источников выбросов загрязняющих веществ в атмосферу;
перечень загрязняющих веществ, присутствующих в составе отходящих газов;
объем и/или масса выбросов загрязняющих веществ до очистки в расчете на тонну продукции;
метод очистки, повторного использования;
объем и/или масса выбросов загрязняющих веществ после очистки в расчете на тонну продукции;
б) для сбросов загрязняющих веществ:
перечень источников сбросов загрязняющих веществ;
направление сбросов (в водный объект, в системы канализации);
перечень загрязняющих веществ, присутствующих в составе сточных вод;
объем и/или масса сбросов загрязняющих веществ до очистки в расчете на тонну продукции;
метод очистки, повторного использования;
объем и (или) масса сбросов загрязняющих веществ после очистки в расчете на тонну продукции;
в) для отходов производства и потребления:
перечень образующихся отходов по классам опасности;
объемы образования отходов (абсолютные и удельные);
перечень размещаемых отходов по классам опасности;
объемы размещения отходов (абсолютные и удельные);
перечень обезвреживаемых, перерабатываемых и повторно используемых отходов;
объемы обезвреживания, переработки и повторного использования отходов (абсолютные и удельные);
г) для прочих факторов воздействия (шум, запах, электромагнитные и тепловые воздействия):
метод снижения уровня воздействия.
4.2. Экономическая эффективность внедрения и эксплуатации и период внедрения.
Суть анализа экономической эффективности заключается в оценке затрат на внедрение и эксплуатацию технологии и выгоды от ее внедрения путем применения метода анализа затрат и выгод (Cost Benefit Analysis, далее - CBA). Если внедрение различных технологий дает положительные результаты, то технологией с самой высокой результативностью считается та, которая дает наилучшее соотношение "цена - качество". Недостаток данного вида анализа заключается в необходимости обработки большого количества данных, и некоторые выгоды сложно представить в денежной форме.
Альтернативой методу затрат и выгод может служить анализ эффективности затрат, который используется для определения того, какие мероприятия являются наиболее предпочтительными для достижения определенной экологической цели при возможно низкой стоимости.
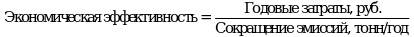
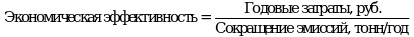
Экономическая эффективность технологии может быть определена следующим образом:
В контексте определения НДТ использование подхода экономической эффективности не является исчерпывающим. Однако ранжирование вариантов НДТ по мере возрастания экономической эффективности является полезным, например, чтобы исключить варианты, которые необоснованно дороги по сравнению с полученной экологической выгодой.
Период внедрения технологии в качестве НДТ может варьироваться исходя из экономической эффективности и доступности технических/технологических решений, но не может превышать десяти лет.
4.3. Применение ресурсо- и энергосберегающих методов.
При разработке и актуализации справочника рекомендуется провести общий анализ потребления основных ресурсов для области применения справочника (энергия, вода, сырье):
а) уровень энергопотребления в различных технологических процессах области применения НДТ;
б) тип топлива (природный газ, бензин, мазут и другие);
в) технологические процессы, в которых используется вода;
г) объем потребления воды и сырья;
д) назначение воды (промывная жидкость, хладагент, сырье и другие).
При принятии решения членами ТРГ об отнесении технологий к НДТ рекомендуется также оценить возможность регенерации и рециклинга веществ и рекуперации тепла, использующихся в технологическом процессе.
Решение об отнесении технологий к НДТ рекомендуется принимать в результате экспертной оценки с применением критериев, описанных выше.
- Гражданский кодекс (ГК РФ)
- Жилищный кодекс (ЖК РФ)
- Налоговый кодекс (НК РФ)
- Трудовой кодекс (ТК РФ)
- Уголовный кодекс (УК РФ)
- Бюджетный кодекс (БК РФ)
- Арбитражный процессуальный кодекс
- Конституция РФ
- Земельный кодекс (ЗК РФ)
- Лесной кодекс (ЛК РФ)
- Семейный кодекс (СК РФ)
- Уголовно-исполнительный кодекс
- Уголовно-процессуальный кодекс
- Производственный календарь на 2025 год
- МРОТ 2026
- ФЗ «О банкротстве»
- О защите прав потребителей (ЗОЗПП)
- Об исполнительном производстве
- О персональных данных
- О налогах на имущество физических лиц
- О средствах массовой информации
- Производственный календарь на 2026 год
- Федеральный закон "О полиции" N 3-ФЗ
- Расходы организации ПБУ 10/99
- Минимальный размер оплаты труда (МРОТ)
- Календарь бухгалтера на 2026 год
- Частичная мобилизация: обзор новостей
- Постановление Правительства РФ N 1875
