постановлением Правительства
Российской Федерации
от 3 мая 2019 г. N 551
Список изменяющих документов
(в ред. Постановления Правительства РФ от 19.12.2019 N 1721)
1. Настоящие Правила устанавливают цели, порядок и условия предоставления субсидий из федерального бюджета на государственную поддержку программ деятельности лидирующих исследовательских центров, реализуемых российскими организациями в целях обеспечения разработки и реализации дорожных карт развития перспективных "сквозных" цифровых технологий (далее - субсидии).
Финансовое обеспечение исполнения расходных обязательств на предоставление субсидий осуществляется за счет бюджетных ассигнований, предусмотренных Министерству цифрового развития, связи и массовых коммуникаций Российской Федерации в Федеральном законе "О федеральном бюджете на 2019 год и на плановый период 2020 и 2021 годов" на разработку и реализацию дорожных карт развития перспективных "сквозных" цифровых технологий федерального проекта "Цифровые технологии" национальной программы "Цифровая экономика Российской Федерации" в рамках подпрограммы "Информационное государство" государственной программы Российской Федерации "Информационное общество" на указанные цели.
2. Понятия, используемые в настоящих Правилах, означают следующее:
"участники консорциума" - совокупность партнерских организаций лидирующего исследовательского центра независимо от формы собственности и организационно-правовой формы, с которыми российской организацией, структурным подразделением которой является лидирующий исследовательский центр, заключены гражданско-правовые договоры о сотрудничестве в целях совместной реализации мероприятий программы деятельности лидирующего исследовательского центра;
"лидирующий исследовательский центр" - структурное подразделение российской организации, отобранной в соответствии с Положением о проведении конкурсного отбора на предоставление государственной поддержки программ деятельности лидирующих исследовательских центров, реализуемых российскими организациями в целях обеспечения разработки и реализации дорожных карт развития перспективных "сквозных" цифровых технологий, утвержденным постановлением Правительства Российской Федерации от 3 мая 2019 г. N 551 "О государственной поддержке программ деятельности лидирующих исследовательских центров, реализуемых российскими организациями в целях обеспечения разработки и реализации дорожных карт развития перспективных "сквозных" цифровых технологий" (далее - Положение об отборе);
"оператор" - организация, наделенная функциями организационно-технического, информационного и аналитического сопровождения организации и проведения конкурсного отбора получателей государственной поддержки, доведения до получателей государственной поддержки средств в виде субсидий, а также мониторинга программ деятельности лидирующих исследовательских центров;
"получатель государственной поддержки" - российская организация, структурным подразделением которой является лидирующий исследовательский центр;
"программа деятельности лидирующего исследовательского центра" - совокупность взаимосвязанных мероприятий, направленных на разработку и реализацию дорожных карт развития перспективных "сквозных" цифровых технологий и заключающихся в выполнении научных исследований и опытно-конструкторских разработок совместно с участниками консорциума на базе лидирующего исследовательского центра и передаче получателем государственной поддержки прав на полученные в ходе указанных исследований и разработок результаты интеллектуальной деятельности участникам консорциума для их внедрения в экономическую деятельность для цифровой трансформации приоритетных отраслей экономики и социальной сферы;
"сквозная" цифровая технология" - часть технологического процесса производства товаров, оказания услуг и выполнения работ, представляющая собой совокупность процессов и методов поиска, сбора, хранения, обработки, предоставления и распространения информации, обеспечивающих в ходе хозяйственной деятельности по производству (поставке) товаров, оказанию услуг и выполнению работ:
повышение результативности, точности или иных значимых характеристик технологического процесса;
повышение качества или иных значимых характеристик производимых (поставляемых) товаров, оказываемых услуг и выполняемых работ (в том числе за счет сокращения брака);
снижение издержек при производстве (поставке) товаров, оказании услуг и выполнении работ.
3. Субсидии предоставляются оператору, созданному в организационно-правовой форме акционерного общества, признаваемого в соответствии со статьей 66.3 Гражданского кодекса Российской Федерации непубличным, единственным акционером (собственником 100 процентов акций) которого является Российская Федерации и к целям деятельности которого относятся стимулирование в Российской Федерации собственной индустрии венчурного инвестирования и исполнение функций проектного офиса Национальной технологической инициативы с правом участвовать в реализации государственных программ развития инновационной инфраструктуры, стимулирования развития инноваций и спроса на инновации, а также создания благоприятной среды для инновационно-технологического предпринимательства.
4. Субсидии предоставляются оператору в целях финансового обеспечения:
а) затрат, связанных с государственной поддержкой программ деятельности лидирующих исследовательских центров, реализуемых получателями государственной поддержки, путем внесения оператором имущественного взноса в учрежденный оператором фонд (далее соответственно - грант, фонд) для последующего перечисления фондом грантов получателям государственной поддержки на финансовое обеспечение (возмещение) затрат, связанных с реализацией программ деятельности лидирующих исследовательских центров, в порядке и на условиях, определяемых настоящими Правилами;
б) затрат, связанных с осуществлением организационно-технического, информационного и аналитического сопровождения конкурсного отбора получателей государственной поддержки и мониторинга программ деятельности лидирующих исследовательских центров (далее - затраты на выполнение функций оператора).
5. Субсидии предоставляются Министерством цифрового развития, связи и массовых коммуникаций Российской Федерации в пределах бюджетных ассигнований, предусмотренных федеральным законом о федеральном бюджете на соответствующий финансовый год и плановый период, и лимитов бюджетных обязательств, доведенных в установленном порядке до Министерства как получателя средств федерального бюджета.
6. За счет субсидии запрещено приобретать иностранную валюту, за исключением операций, осуществляемых в соответствии с валютным законодательством Российской Федерации при закупке (поставке) высокотехнологичного импортного оборудования, сырья и комплектующих изделий, а также иных операций, связанных с достижением целей предоставления указанных средств.
7. Субсидии предоставляются на основании соглашения о предоставлении субсидии между Министерством цифрового развития, связи и массовых коммуникаций Российской Федерации и оператором в соответствии с типовой формой, установленной Министерством финансов Российской Федерации (далее - соглашение о предоставлении субсидии).
8. В соглашении о предоставлении субсидии предусматриваются в том числе:
а) цель, порядок и условия предоставления субсидии, а также значения результатов предоставления субсидии (далее - значения результатов);
(пп. "а" в ред. Постановления Правительства РФ от 19.12.2019 N 1721)
(см. текст в предыдущей редакции)
б) сроки и формы предоставления оператором отчетов о достижении значений результатов, а также отчетов о расходовании субсидии;
(в ред. Постановления Правительства РФ от 19.12.2019 N 1721)
(см. текст в предыдущей редакции)
в) обязательство оператора осуществлять контроль за соблюдением целей, порядка и условий предоставления грантов получателям государственной поддержки;
г) обязательство оператора включать в договоры о предоставлении грантов, заключаемые с получателями государственной поддержки, условия об обязательстве получателя государственной поддержки обеспечить в полном объеме внебюджетное софинансирование программы деятельности лидирующего исследовательского центра в соответствующем финансовом году;
д) обязательство оператора включать в договоры о предоставлении грантов, заключаемые с получателями государственной поддержки (за исключением государственных (муниципальных) унитарных предприятий, хозяйственных товариществ и обществ с участием публично-правовых образований в их уставных (складочных) капиталах, а также коммерческих организаций с участием таких товариществ и обществ в их уставных (складочных) капиталах), условия о согласии получателей государственной поддержки на проведение в отношении их обязательных проверок целей, порядка и условий предоставления грантов оператором, Министерством цифрового развития, связи и массовых коммуникаций Российской Федерации и (или) уполномоченным органом государственного финансового контроля;
е) обязательство оператора включать в договоры о предоставлении грантов, заключаемые с получателями государственной поддержки, условия об обязанности получателей государственной поддержки представлять отчеты об использовании грантов не реже одного раза в год, а также отчеты о ходе реализации программ деятельности лидирующих исследовательских центров не реже одного раза в квартал;
ж) сведения о предельном размере субсидии, направляемой на финансовое обеспечение затрат на выполнение функций оператора.
9. Размер субсидии, предоставляемой оператору в соответствующем финансовом году (C), определяется по формуле:
k - коэффициент нормирования затрат, применяемый в целях приведения расчетного размера субсидии в соответствие с утвержденными лимитами бюджетных обязательств на предоставление субсидии, определяемый Министерством цифрового развития, связи и массовых коммуникаций Российской Федерации;
Pri - размер затрат, связанных с государственной поддержкой программы деятельности i-го лидирующего исследовательского центра, определяемый в соответствии с пунктом 10 настоящих Правил с учетом особенностей, установленных пунктом 12 настоящих Правил;
Qi - размер затрат на выполнение функций оператора.
10. Размер затрат, связанных с государственной поддержкой программы деятельности i-го лидирующего исследовательского центра (Pri), определяется исходя из сведений, изложенных в программе деятельности соответствующего лидирующего исследовательского центра, по формуле:
h1 - затраты получателя государственной поддержки на оплату труда работников, непосредственно связанных с реализацией программы деятельности лидирующего исследовательского центра;
h2 - затраты получателя государственной поддержки на приобретение изделий, комплектующих, материалов, оборудования и программного обеспечения;
h3 - затраты получателя государственной поддержки на приобретение транспортных услуг в отношении работников, непосредственно связанных с реализацией программы деятельности лидирующего исследовательского центра;
h4 - затраты получателя государственной поддержки на оплату договоров с организациями и физическими лицами об оказании услуг, выполнении работ, необходимых для реализации программы деятельности лидирующего исследовательского центра.
11. Предельный размер государственной поддержки программ деятельности лидирующих исследовательских центров определяется конкурсной документацией конкурсного отбора лидирующих исследовательских центров на предоставление государственной поддержки программ деятельности лидирующих исследовательских центров, утверждаемой в порядке, определенном Положением об отборе (далее - конкурсная документация).
12. Размер субсидии, предоставляемой в 2019 году, определяется исходя из необходимости предоставления государственной поддержки программы деятельности лидирующего исследовательского центра не менее чем одному получателю государственной поддержки по одной "сквозной" цифровой технологии в размере максимальной годовой государственной поддержки программы деятельности одного лидирующего исследовательского центра, определенном в конкурсной документации.
13. Затраты на выполнение функций оператора не могут превышать 5 процентов объема затрат, связанных с государственной поддержкой программ деятельности лидирующих исследовательских центров.
14. Оператор должен соответствовать на 1-е число месяца, предшествующего месяцу, в котором планируется заключение соглашения о предоставлении субсидии, следующим требованиям:
а) у оператора отсутствует неисполненная обязанность по уплате налогов, сборов, страховых взносов, пеней, штрафов и процентов, подлежащих уплате в соответствии с законодательством Российской Федерации о налогах и сборах;
б) у оператора отсутствуют просроченная задолженность по возврату в федеральный бюджет субсидий, бюджетных инвестиций, предоставленных в том числе в соответствии с иными нормативными правовыми актами, а также иная просроченная задолженность перед федеральным бюджетом;
в) оператор не находится в процессе ликвидации, в отношении его не введена процедура банкротства, его деятельность не приостановлена в порядке, предусмотренном законодательством Российской Федерации;
(в ред. Постановления Правительства РФ от 19.12.2019 N 1721)
(см. текст в предыдущей редакции)
г) оператор не является иностранным юридическим лицом либо российским юридическим лицом, в уставном (складочном) капитале которого доля участия иностранных юридических лиц, местом регистрации которых является государство или территория, включенные в утвержденный Министерством финансов Российской Федерации перечень государств и территорий, предоставляющих льготный налоговый режим налогообложения и (или) не предусматривающих раскрытия и предоставления информации при проведении финансовых операций (офшорные зоны), в совокупности превышает 50 процентов;
д) оператор не получает средства из федерального бюджета в соответствии с иными нормативными правовыми актами на цели, предусмотренные пунктом 1 настоящих Правил.
15. Предоставление субсидии осуществляется при условии представления оператором следующих документов:
а) копия учредительных документов оператора, заверенная в установленном порядке;
б) справка, подписанная руководителем оператора (иным уполномоченным лицом), подтверждающая отсутствие у оператора на 1-е число месяца, предшествующего месяцу, в котором планируется заключение соглашения о предоставлении субсидии, неисполненной обязанности по уплате налогов, сборов, страховых взносов, пеней, штрафов и процентов, подлежащих уплате в соответствии с законодательством Российской Федерации о налогах и сборах;
в) справка, подписанная руководителем оператора (иным уполномоченным лицом), подтверждающая отсутствие у оператора задолженности по возврату в установленном порядке в федеральный бюджет не использованных в отчетном финансовом году остатков субсидий (бюджетных инвестиций), наличие потребности в использовании которых в текущем финансовом году не подтверждено в установленном порядке;
г) справка о том, что оператор не находится в процессе ликвидации, в отношении его не введена процедура банкротства, его деятельность не приостановлена в порядке, предусмотренном законодательством Российской Федерации.
(в ред. Постановления Правительства РФ от 19.12.2019 N 1721)
(см. текст в предыдущей редакции)
16. Документы, указанные в пункте 15 настоящих Правил, прошиваются, нумеруются и подписываются лицом, имеющим право действовать от имени оператора. Ответственность за достоверность представляемых в Министерство цифрового развития, связи и массовых коммуникаций Российской Федерации документов несет оператор в соответствии с законодательством Российской Федерации.
Датой представления документов, указанных в пункте 15 настоящих Правил, считается день их поступления в Министерство цифрового развития, связи и массовых коммуникаций Российской Федерации. В случае представления оператором неполного комплекта документов либо документов, содержащих неполные сведения или оформленных ненадлежащим образом, такие документы возвращаются оператору в течение 10 рабочих дней со дня их поступления (с указанием причин возврата).
17. Министерство цифрового развития, связи и массовых коммуникаций Российской Федерации рассматривает документы, указанные в пункте 15 настоящих Правил, в 20-дневный срок со дня их поступления принимает решение о заключении соглашения о предоставлении субсидии или об отказе в заключении соглашения о предоставлении субсидии и в течение 5 дней со дня его принятия уведомляет оператора о принятом решении.
18. Основаниями для отказа в заключении соглашения о предоставлении субсидии являются непредставление оператором (представление не в полном объеме) документов, указанных в пункте 15 настоящих Правил, или несоответствие представленных оператором документов требованиям, установленным пунктом 16 настоящих Правил, или недостоверность представленной информации, а также несоответствие оператора требованиям, установленным пунктом 14 настоящих Правил.
19. Перечисление субсидии оператору осуществляется не позднее 2-го рабочего дня после представления в территориальный орган Федерального казначейства оператором платежных документов для оплаты денежного обязательства оператора. Представление оператором указанных документов осуществляется не позднее 10-го рабочего дня после принятия Министерством цифрового развития, связи и массовых коммуникаций Российской Федерации решения о предоставлении субсидии.
Перечисление субсидии оператору осуществляется на лицевой счет для учета операций со средствами юридических лиц, не являющихся участниками бюджетного процесса, открытый в территориальных органах Федерального казначейства в пределах суммы, необходимой для оплаты денежных обязательств оператора, источником финансового обеспечения которых является субсидия, в размере, определяемом пунктом 9 настоящих Правил.
20. Информация о размере и сроке перечисления субсидии учитывается Министерством цифрового развития, связи и массовых коммуникаций Российской Федерации при формировании прогноза кассовых выплат из федерального бюджета, необходимого для составления в установленном порядке кассового плана исполнения федерального бюджета.
21. В целях обеспечения предоставления государственной поддержки программ деятельности лидирующих исследовательских центров оператор заключает с фондом соглашение об осуществлении имущественного взноса, в котором предусматриваются:
а) цели, порядок и условия осуществления и использования имущественного взноса на предоставление грантов получателям государственной поддержки;
б) размер имущественного взноса, осуществленного в пределах размера субсидии, определяемого в порядке, предусмотренном пунктом 9 настоящих Правил;
в) сведения, содержащиеся в договорах о предоставлении грантов, предусмотренных пунктом 24 настоящих Правил.
22. Оператором осуществляется имущественный взнос при условии соответствия фонда следующим требованиям:
а) у фонда отсутствует неисполненная обязанность по уплате налогов, сборов, страховых взносов, пеней, штрафов и процентов, подлежащих уплате в соответствии с законодательством Российской Федерации о налогах и сборах;
б) у фонда отсутствуют просроченная задолженность по возврату в федеральный бюджет субсидий, бюджетных инвестиций, предоставленных в том числе в соответствии с иными нормативными правовыми актами, а также иная просроченная задолженность перед федеральным бюджетом;
в) фонд не находится в процессе реорганизации, ликвидации, в отношении его не введена процедура банкротства, его деятельность не приостановлена в порядке, предусмотренном законодательством Российской Федерации;
(в ред. Постановления Правительства РФ от 19.12.2019 N 1721)
(см. текст в предыдущей редакции)
г) фонд не является иностранным юридическим лицом либо российским юридическим лицом, в уставном (складочном) капитале которого доля участия иностранных юридических лиц, местом регистрации которых является государство или территория, включенные в утвержденный Министерством финансов Российской Федерации перечень государств и территорий, предоставляющих льготный налоговый режим налогообложения и (или) не предусматривающих раскрытия и предоставления информации при проведении финансовых операций (офшорные зоны), в совокупности превышает 50 процентов;
д) фонд не получает средства из федерального бюджета в соответствии с иными нормативными правовыми актами на цели, предусмотренные пунктом 1 настоящих Правил.
23. Оператором осуществляется имущественный взнос при условии представления фондом следующих документов:
а) копия учредительных документов фонда, заверенная в установленном порядке;
б) справка, подписанная руководителем фонда (иным уполномоченным лицом), подтверждающая отсутствие у фонда на 1-е число месяца, предшествующего месяцу, в котором планируется заключение соглашения об осуществлении имущественного взноса, неисполненной обязанности по уплате налогов, сборов, страховых взносов, пеней, штрафов и процентов, подлежащих уплате в соответствии с законодательством Российской Федерации о налогах и сборах;
в) справка, подписанная руководителем фонда (иным уполномоченным лицом), подтверждающая отсутствие у фонда задолженности по возврату в установленном порядке в федеральный бюджет не использованных в отчетном финансовом году остатков субсидий (бюджетных инвестиций), наличие потребности в использовании которых в текущем финансовом году не подтверждено в установленном порядке.
24. В целях государственной поддержки программ деятельности лидирующих исследовательских центров фонд заключает с получателем государственной поддержки договор о предоставлении гранта, в котором предусматриваются:
а) цели, порядок и условия предоставления и использования гранта, в том числе порядок и условия использования гранта получателем государственной поддержки;
б) сведения о размере гранта, определяемом в соответствии с пунктом 10 настоящих Правил;
в) перечень работ (услуг), выполняемых (оказываемых) получателем государственной поддержки за счет гранта;
г) перечень затрат, на финансовое обеспечение которых предоставляется грант;
д) показатели результатов, в том числе их целевые значения по годам, предусмотренные программой деятельности лидирующего исследовательского центра;
е) ключевые контрольные точки по годам, предусмотренные программой деятельности лидирующего исследовательского центра;
з) порядок и сроки представления получателем государственной поддержки отчетности о ходе реализации программы деятельности лидирующего исследовательского центра, о расходах, источником финансового обеспечения которых является грант;
и) обязанность оператора проводить проверку соблюдения получателем государственной поддержки целей, порядка и условий предоставления и использования гранта, которые установлены договором о предоставлении гранта, и согласие получателя государственной поддержки на проведение такой проверки;
к) обязательство получателя государственной поддержки по уплате штрафных санкций и по возврату соответствующих средств в случае недостижения целевых значений показателей и ключевых контрольных точек, предусмотренных договором о предоставлении гранта, включая порядок расчета размера штрафных санкций и порядок возврата средств, использованных получателем государственной поддержки;
л) условия и порядок расторжения договора о предоставлении гранта;
м) запрет приобретения получателем государственной поддержки иностранной валюты за счет полученных из федерального бюджета средств, за исключением операций, осуществляемых в соответствии с валютным законодательством Российской Федерации при закупке (поставке) высокотехнологичного импортного оборудования, сырья и комплектующих изделий, а также иных операций, связанных с достижением целей предоставления указанных средств;
н) запрет направления гранта на оплату труда работников получателя государственной поддержки, выполняющих трудовые функции, связанные с реализацией иных мероприятий в рамках обеспечения государственной научно-технологической политики Российской Федерации, на осуществление которых получателю государственной поддержки предоставляется государственная поддержка за счет средств федерального бюджета в соответствии с иными нормативными правовыми актами Правительства Российской Федерации;
о) право оператора и Министерства цифрового развития, связи и массовых коммуникаций Российской Федерации осуществлять контроль за выполнением мероприятий программы деятельности лидирующего исследовательского центра на основании отчетов о выполнении мероприятий программы деятельности лидирующего исследовательского центра, содержащих в том числе сведения о достижении показателей результатов;
п) обязательство получателя государственной поддержки по возврату гранта в случае нарушения целей, порядка и условий предоставления гранта в течение 10 рабочих дней после получения требования о возврате гранта;
р) обязательство получателя государственной поддержки по обеспечению софинансирования программы деятельности лидирующего исследовательского центра за счет средств внебюджетных источников в размере не менее 50 процентов объема государственной поддержки программы деятельности лидирующего исследовательского центра;
с) обязанность получателя государственной поддержки обеспечить согласие лиц, являющихся поставщиками (подрядчиками, исполнителями) по договорам (соглашениям), заключенным в целях исполнения обязательств по договорам о предоставлении гранта (за исключением государственных (муниципальных) унитарных предприятий, хозяйственных товариществ и обществ с участием публично-правовых образований в их уставных (складочных) капиталах, а также коммерческих организаций с участием таких товариществ и обществ в их уставных (складочных) капиталах), на осуществление Министерством цифрового развития, связи и массовых коммуникаций Российской Федерации и органами государственного (муниципального) финансового контроля проверок соблюдения ими целей, порядка и условий предоставления субсидии;
т) обязательство получателя государственной поддержки обеспечить выполнение не менее 60 процентов объема предусмотренных программой деятельности лидирующего исследовательского центра работ в стоимостном выражении сотрудниками лидирующего исследовательского центра, состоящими в трудовых отношениях с получателем государственной поддержки;
у) случаи и порядок использования в очередном финансовом году остатка соответствующих средств, не использованного по состоянию на 1 января текущего финансового года.
25. Гранты подлежат казначейскому сопровождению. Перечисление гранта осуществляется на лицевой счет для учета операций со средствами юридических лиц, не являющихся участниками бюджетного процесса, открытый получателем государственной поддержки в территориальном органе Федерального казначейства.
26. Заключение фондом договора о предоставлении гранта с получателем государственной поддержки осуществляется при следующих условиях:
(в ред. Постановления Правительства РФ от 19.12.2019 N 1721)
(см. текст в предыдущей редакции)
а) у получателя государственной поддержки отсутствует неисполненная обязанность по уплате налогов, сборов, страховых взносов, пеней, штрафов и процентов, подлежащих уплате в соответствии с законодательством Российской Федерации о налогах и сборах;
б) у получателя государственной поддержки отсутствуют просроченная задолженность по возврату в федеральный бюджет субсидий и бюджетных инвестиций, предоставленных в том числе в соответствии с иными нормативными правовыми актами, а также иная просроченная задолженность перед федеральным бюджетом;
в) получатель государственной поддержки не находится в процессе реорганизации, ликвидации, в отношении его не введена процедура банкротства, его деятельность не приостановлена в порядке, предусмотренном законодательством Российской Федерации;
(в ред. Постановления Правительства РФ от 19.12.2019 N 1721)
(см. текст в предыдущей редакции)
г) получатель государственной поддержки не является иностранным юридическим лицом либо российским юридическим лицом, в уставном (складочном) капитале которого доля участия иностранных юридических лиц, местом регистрации которых является государство или территория, включенные в утвержденный Министерством финансов Российской Федерации перечень государств и территорий, предоставляющих льготный налоговый режим налогообложения и (или) не предусматривающих раскрытия и предоставления информации при проведении финансовых операций (офшорные зоны), в совокупности превышает 50 процентов;
д) получатель государственной поддержки не получает средства из федерального бюджета в соответствии с иными нормативными правовыми актами на цели, предусмотренные пунктом 1 настоящих Правил.
27. Операции со средствами гранта учитываются на лицевом счете, открытом получателем государственной поддержки в установленном порядке в территориальном органе Федерального казначейства и предназначенном для учета операций со средствами, предоставленными получателю государственной поддержки из соответствующего бюджета бюджетной системы Российской Федерации.
28. Не использованный на 1 января текущего финансового года остаток субсидии может быть использован оператором в текущем финансовом году на цели, предусмотренные пунктом 1 настоящих Правил, по решению Министерства цифрового развития, связи и массовых коммуникаций Российской Федерации, принимаемому в соответствии с бюджетным законодательством Российской Федерации.
29. Контроль за соблюдением целей, порядка и условий предоставления субсидии, предусмотренных настоящими Правилами, осуществляется Министерством цифрового развития, связи и массовых коммуникаций Российской Федерации и федеральным органом исполнительной власти, осуществляющим функции по контролю и надзору в финансово-бюджетной сфере.
30. В случае установления по итогам проверок, проведенных Министерством цифрового развития, связи и массовых коммуникаций Российской Федерации и федеральным органом исполнительной власти, осуществляющим функции по контролю и надзору в финансово-бюджетной сфере, факта несоблюдения целей, порядка и условий предоставления субсидии, а также в случае недостижения значений результатов, которые предусмотрены настоящими Правилами, соответствующие средства подлежат возврату в доход федерального бюджета:
(в ред. Постановления Правительства РФ от 19.12.2019 N 1721)
(см. текст в предыдущей редакции)
а) на основании требования Министерства цифрового развития, связи и массовых коммуникаций Российской Федерации - не позднее 10-го рабочего дня со дня получения указанного требования оператором;
б) на основании представления и (или) предписания федерального органа исполнительной власти, осуществляющего функции по контролю в финансово-бюджетной сфере, - в сроки, установленные в соответствии с бюджетным законодательством Российской Федерации.
31. Контроль за соблюдением получателем государственной поддержки целей, порядка и условий предоставления гранта, которые установлены договором о предоставлении гранта, осуществляет оператор.
Указанный контроль осуществляется в том числе на основании отчетности получателя государственной поддержки о ходе реализации программы лидирующего исследовательского центра, представляемой получателями государственной поддержки оператору.
В целях осуществления такого контроля отчетность о ходе реализации программ лидирующего исследовательского центра направляется оператором на рассмотрение экспертного совета, формируемого в соответствии с Положением об отборе (далее - экспертный совет).
В рамках рассмотрения отчетности о ходе реализации программы лидирующего исследовательского центра экспертным советом дается оценка степени достижения результатов государственной поддержки программы лидирующего исследовательского центра в соотношении с мероприятиями дорожных карт развития перспективных "сквозных" цифровых технологий с учетом удовлетворенности потребностей рынка и конечных потребителей (выгодоприобретателей) в технологиях и решениях, создаваемых и внедряемых в практику экономической деятельности в ходе реализации программы лидирующего центра.
По итогам рассмотрения отчетности о ходе реализации программы лидирующего исследовательского центра экспертным советом дается заключение, направляемое оператору.
32. В случае если по итогам отчетного года получателем государственной поддержки обеспечено достижение хотя бы одного показателя результата на уровне менее 90 процентов целевого значения, установленного программой деятельности лидирующего исследовательского центра на отчетный период и договором о предоставлении гранта, оператор применяет к получателю государственной поддержки штрафные санкции в размере, определяемом в соответствии с пунктом 33 настоящих Правил.
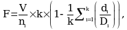
33. Размер штрафных санкций, применяемых оператором к получателю государственной поддержки (F), определяется по формуле:
V - размер гранта, предоставленного на реализацию программы деятельности лидирующего исследовательского центра в отчетный период;
ni - число показателей результатов программы деятельности i-го лидирующего исследовательского центра;
k - число показателей результатов программы деятельности i-го лидирующего исследовательского центра, достигнутое значение которых ниже целевого значения;
di - значение i-го показателя результата программы деятельности лидирующего исследовательского центра, достигнутого в отчетный период;
Di - целевое значение i-го показателя результата программы деятельности лидирующего исследовательского центра, достигнутого в отчетный период.
В случае если значения показателей результатов превышают целевые значения, установленные программой деятельности лидирующего исследовательского центра и договором о предоставлении гранта, отношение параметра di к параметру Di принимается равным 1.
34. Средства, взысканные оператором с получателей грантов в форме штрафных санкций, подлежат возврату в доход федерального бюджета в порядке, установленном законодательством Российской Федерации, в течение 10 рабочих дней со дня получения получателем государственной поддержки соответствующего требования Министерства цифрового развития, связи и массовых коммуникаций Российской Федерации и (или) уполномоченного органа государственного финансового контроля.
35. Оператор ежегодно, не позднее 1 апреля года, следующего за отчетным, представляет в Министерство цифрового развития, связи и массовых коммуникаций Российской Федерации доклад о результатах деятельности лидирующих исследовательских центров с представлением информации по каждому центру на основании отчетов о выполнении мероприятий программ деятельности лидирующих исследовательских центров с учетом результатов рассмотрения их экспертным советом.
36. На основании доклада, указанного в пункте 35 настоящих Правил, Министерство цифрового развития, связи и массовых коммуникаций Российской Федерации вправе:
а) направить оператору рекомендации о внесении изменений в программы деятельности лидирующих исследовательских центров в целях повышения эффективности реализации программ деятельности лидирующих исследовательских центров;
б) инициировать проведение заседания конкурсной комиссии в соответствии с Положением об отборе в целях решения вопроса о прекращении государственной поддержки программы деятельности лидирующего исследовательского центра.
37. Внесение изменений в программу деятельности лидирующего исследовательского центра допускается не чаще одного раза в год после представления доклада, указанного в пункте 35 настоящих Правил.
- Гражданский кодекс (ГК РФ)
- Жилищный кодекс (ЖК РФ)
- Налоговый кодекс (НК РФ)
- Трудовой кодекс (ТК РФ)
- Уголовный кодекс (УК РФ)
- Бюджетный кодекс (БК РФ)
- Арбитражный процессуальный кодекс
- Конституция РФ
- Земельный кодекс (ЗК РФ)
- Лесной кодекс (ЛК РФ)
- Семейный кодекс (СК РФ)
- Уголовно-исполнительный кодекс
- Уголовно-процессуальный кодекс
- Производственный календарь на 2025 год
- МРОТ 2025
- ФЗ «О банкротстве»
- О защите прав потребителей (ЗОЗПП)
- Об исполнительном производстве
- О персональных данных
- О налогах на имущество физических лиц
- О средствах массовой информации
- Производственный календарь на 2026 год
- Федеральный закон "О полиции" N 3-ФЗ
- Расходы организации ПБУ 10/99
- Минимальный размер оплаты труда (МРОТ)
- Календарь бухгалтера на 2025 год
- Частичная мобилизация: обзор новостей
- Постановление Правительства РФ N 1875

