к Правилам предоставления из
федерального бюджета субсидий
российским организациям на
финансовое обеспечение части
затрат на проведение
научно-исследовательских,
опытно-конструкторских и
технологических работ в рамках
создания производства газовых
турбин большой мощности
1. Размер субсидии, подлежащей возврату в доход федерального бюджета (тыс. рублей) за недостижение значения результата предоставления субсидии (Z), определяется по формуле:
P - размер субсидии, подлежащей возврату в доход федерального бюджета за недостижение значения показателей, необходимых для достижения результата предоставления субсидии, установленных подпунктами "б" и "в" пункта 22 Правил предоставления из федерального бюджета субсидий российским организациям на финансовое обеспечение части затрат на проведение научно-исследовательских, опытно-конструкторских и технологических работ в рамках создания производства газовых турбин большой мощности, утвержденных постановлением Правительства Российской Федерации от 21 марта 2019 г. N 301 "Об утверждении Правил предоставления из федерального бюджета субсидий российским организациям на финансовое обеспечение части затрат на проведение научно-исследовательских, опытно-конструкторских и технологических работ в рамках создания производства газовых турбин большой мощности" (далее - Правила);
A - размер субсидии, подлежащей возврату в доход федерального бюджета за недостижение значения показателей, необходимых для достижения результата предоставления субсидии, установленного подпунктом "а" пункта 22 Правил.
2. Размер субсидии, подлежащей возврату в доход федерального бюджета (тыс. рублей) (P) за недостижение значения показателей, необходимых для достижения результата предоставления субсидии, установленных подпунктами "б" и "в" пункта 22 Правил, определяется по формуле:
M - коэффициент достижения значения результата предоставления субсидии и показателей, необходимых для достижения результата предоставления субсидии, установленных пунктом 22 Правил, равный:
Af - фактическое количество актов ввода в эксплуатацию газовых турбин в диапазоне мощности 60 - 80 МВт (получение литеры O1) - в срок, который определяется бизнес-планом комплексного проекта, но не позднее 14 лет с даты заключения договора о предоставлении субсидии;
Ap - плановое количество актов ввода в эксплуатацию газовых турбин в диапазоне мощности 60 - 80 МВт (получение литеры O1) - в срок, который определяется бизнес-планом комплексного проекта, но не позднее 14 лет с даты заключения договора о предоставлении субсидии;
Bf - фактическое количество актов ввода в эксплуатацию газовых турбин в диапазоне мощности 150 - 180 МВт (получение литеры O1) - в срок, который определяется бизнес-планом комплексного проекта, но не позднее 14 лет с даты заключения договора о предоставлении субсидии;
Bp - плановое количество актов ввода в эксплуатацию газовых турбин в диапазоне мощности 150 - 180 МВт (получение литеры O1) - в срок, который определяется бизнес-планом комплексного проекта, но не позднее 14 лет с даты заключения договора о предоставлении субсидии;
Kf1 - фактическое количество единиц газовых турбин, предусмотренных к реализации, в диапазоне мощности 60 - 80 МВт;
Kp1 - плановое количество единиц газовых турбин, предусмотренных к реализации, в диапазоне мощности 60 - 80 МВт;
Kf2 - фактическое количество единиц газовых турбин, предусмотренных к реализации, в диапазоне мощности 150 - 180 МВт;
Kp2 - плановое количество единиц газовых турбин, предусмотренных к реализации, в диапазоне мощности 150 - 180 МВт.
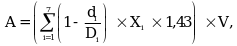
3. Размер субсидии, подлежащей возврату в доход федерального бюджета (тыс. рублей) (A) за недостижение значения показателей, необходимых для достижения результата предоставления субсидии, установленного подпунктом "а" пункта 22 Правил, определяется по формуле:
di - достигнутое значение i-го показателя (индикатора) эффективности реализации комплексного проекта, указанного в договоре о предоставлении субсидии, на дату окончания срока реализации комплексного проекта или на дату окончания периода, в котором принято решение о расторжении указанного договора о предоставлении субсидии, в том числе об одностороннем расторжении договора о предоставлении субсидии Министерством промышленности и торговли Российской Федерации в соответствии с подпунктом "ж" пункта 16 Правил. В случае если достигнутое значение i-го показателя (индикатора) превышает плановое значение, отношение достигнутого показателя к плановому показателю (индикатору) необходимо считать равным 1;
Di - плановое значение i-го показателя (индикатора) эффективности реализации комплексного проекта, указанного в договоре о предоставлении субсидии;
Xi - удельный вес рейтинга заявки на участие в конкурсе, определенного в соответствии с приложением N 1 к Правилам;
V - объем средств федерального бюджета, использованный организацией в рамках реализации комплексного проекта на момент окончания срока реализации такого проекта или на дату окончания периода, в котором принято решение о расторжении договора о предоставлении субсидии, в том числе об одностороннем расторжении договора о предоставлении субсидии Министерством промышленности и торговли Российской Федерации в соответствии с подпунктом "ж" пункта 16 Правил (тыс. рублей).
- Гражданский кодекс (ГК РФ)
- Жилищный кодекс (ЖК РФ)
- Налоговый кодекс (НК РФ)
- Трудовой кодекс (ТК РФ)
- Уголовный кодекс (УК РФ)
- Бюджетный кодекс (БК РФ)
- Арбитражный процессуальный кодекс
- Конституция РФ
- Земельный кодекс (ЗК РФ)
- Лесной кодекс (ЛК РФ)
- Семейный кодекс (СК РФ)
- Уголовно-исполнительный кодекс
- Уголовно-процессуальный кодекс
- Производственный календарь на 2025 год
- МРОТ 2025
- ФЗ «О банкротстве»
- О защите прав потребителей (ЗОЗПП)
- Об исполнительном производстве
- О персональных данных
- О налогах на имущество физических лиц
- О средствах массовой информации
- Производственный календарь на 2026 год
- Федеральный закон "О полиции" N 3-ФЗ
- Расходы организации ПБУ 10/99
- Минимальный размер оплаты труда (МРОТ)
- Календарь бухгалтера на 2025 год
- Частичная мобилизация: обзор новостей
- Постановление Правительства РФ N 1875

