III. Состав и последовательность действий при осуществлении расчета плотности радиоактивного загрязнения почв территории населенного пункта
III. Состав и последовательность действий
при осуществлении расчета плотности радиоактивного
загрязнения почв территории населенного пункта
6. Для расчета средней плотности радиоактивного загрязнения почвы территории населенного пункта используются данные проведенных обследований радиоактивного загрязнения почв территорий населенных пунктов, а также информация Единого государственного фонда данных о состоянии окружающей среды, ее загрязнении (далее - ЕГФД) о содержании радиоактивных веществ в почве на территории населенных пунктов Российской Федерации, загрязненных в результате аварий на радиационно опасных объектах.
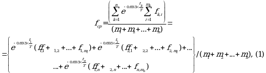
7. Если в населенном пункте не было дополнительных обследований радиоактивного загрязнения почвы в текущем году, то среднюю плотность загрязнения почвы цезием-137, fср, Ки/км2, рассчитывают по формуле (1):
где n - количество обследований радиоактивного загрязнения почвы территории населенного пункта до настоящего времени;
tk - период времени между k-м обследованием радиоактивного загрязнения почвы территории населенного пункта цезием-137 и настоящим временем, лет;
mk - количество проб почвы при k-м обследовании радиоактивного загрязнения почвы территории населенного пункта;
T - период полураспада цезия-137, лет;
fk,i - плотность загрязнения почвы цезием-137 в точке i при k-м обследовании радиоактивного загрязнения почвы территории населенного пункта, Ки/км2.
8. В случае, если в населенном пункте проводились обследования радиоактивного загрязнения почвы в текущем году, то среднюю плотность загрязнения почвы цезием-137 рассчитывают по формуле (2):
- плотность загрязнения почвы территории населенного пункта цезием-137 в текущем году, Ки/км2;
mT - количество проб почвы, полученных в текущем году.
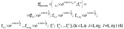
9. Расчет минимального и максимального значений плотности загрязнения почвы территории населенного пункта осуществляется путем выборки минимальных и максимальных значений плотности загрязнения из всей совокупности имеющихся данных, при этом:
- если на территории населенного пункта не было измерений плотности загрязнения почвы цезием-137 в текущем году, то максимальная и минимальная плотность загрязнения почвы цезием-137 выбирается из всех значений, имеющихся в ЕГФД по конкретному населенному пункту, и рассчитываются по формуле (3):
- если на территории населенного пункта были дополнительные измерения плотности радиоактивного загрязнения почвы в текущем году, то выборка происходит из всех значений ЕГФД в совокупности с данными текущих измерений плотности радиоактивного загрязнения почвы и максимальная и минимальная плотность загрязнения почвы цезием-137 рассчитываются по формуле (4):
- Гражданский кодекс (ГК РФ)
- Жилищный кодекс (ЖК РФ)
- Налоговый кодекс (НК РФ)
- Трудовой кодекс (ТК РФ)
- Уголовный кодекс (УК РФ)
- Бюджетный кодекс (БК РФ)
- Арбитражный процессуальный кодекс
- Конституция РФ
- Земельный кодекс (ЗК РФ)
- Лесной кодекс (ЛК РФ)
- Семейный кодекс (СК РФ)
- Уголовно-исполнительный кодекс
- Уголовно-процессуальный кодекс
- Производственный календарь на 2025 год
- МРОТ 2025
- ФЗ «О банкротстве»
- О защите прав потребителей (ЗОЗПП)
- Об исполнительном производстве
- О персональных данных
- О налогах на имущество физических лиц
- О средствах массовой информации
- Производственный календарь на 2026 год
- Федеральный закон "О полиции" N 3-ФЗ
- Расходы организации ПБУ 10/99
- Минимальный размер оплаты труда (МРОТ)
- Календарь бухгалтера на 2025 год
- Частичная мобилизация: обзор новостей
- Постановление Правительства РФ N 1875



