IV. Расчет ставок платы за услуги по управлению и эксплуатации подвижного состава
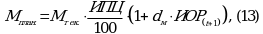
15. Ставка платы за управление и эксплуатацию подвижного состава (
) определяется для железной дороги и вида тяги подвижного состава и рассчитывается в соответствии со следующей формулой:
(в ред. Приказа ФАС России от 29.07.2024 N 503/24)
(см. текст в предыдущей редакции)
- проектируемые на плановый период расходы, учитываемые при расчете ставок платы за услуги по управлению и эксплуатации подвижного состава на территории i-ой железной дороги;
- проектируемый на плановый период объем поездо-часовой работы подвижного состава на территории i-ой железной дороги.
16. Расчет проектируемых на текущий период расходов, учитываемых при расчете ставок платы за услуги по управлению и эксплуатации подвижного состава на территории i-ой железной дороги, осуществляется на основе отчетных данных о расходах организаций, владеющих подвижным составом и инфраструктурой, за отчетный (фактический) период с учетом ожидаемых в текущем периоде инфляционных показателей, применяемых для проектирования расходов по элементам затрат, и ожидаемых поездо-часов работы подвижного состава соответствующего вида тяги.
(в ред. Приказа ФАС России от 29.07.2024 N 503/24)
(см. текст в предыдущей редакции)
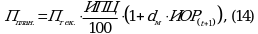
17. Расчет проектируемых на текущий период расходов, учитываемых при расчете ставок платы за услуги по управлению и эксплуатации подвижного состава, производится по i-ой железной дороге (
) в соответствии со следующей формулой:
Фтек. - расходы по элементу "Затраты на оплату труда", проектируемые на текущий период;
Отек. - расходы по элементу "Отчисления на социальные нужды", проектируемые на текущий период;
Мтек. - расходы по элементу "Материальные затраты", проектируемые на текущий период;
Птек. - расходы по элементу "Прочие затраты", проектируемые на текущий период.
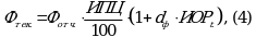
17.1. Расходы по элементу "Затраты на оплату труда", проектируемые на текущий период (Фтек.), рассчитываются по следующей формуле:
Фотч. - совокупные расходы по элементу "Затраты на оплату труда" за отчетный период;
ИПЦ - прогнозное значение индекса инфляции (индекса потребительских цен), установленного на текущий период (год);
dф - доля расходов на оплату труда производственного персонала, задействованного при оказании услуг по управлению и эксплуатации подвижного состава, зависящих от объемов поездо-часовой работы подвижного состава в пригородном сообщении;
ИОРt - индекс изменения объемов поездо-часовой работы подвижного состава в текущем году к аналогичному периоду предшествующего отчетного года, рассчитывается по следующей формуле:
ОРt - объем работы, ожидаемый в текущем периоде, выраженный в соответствующих единицах измерения;
ОРt-1 - объем работы, выполненный в отчетном периоде, выраженный в соответствующих единицах измерения;
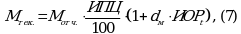
17.2. Расходы по элементу "Отчисления на социальные нужды", проектируемые на текущий период (Отек.), рассчитываются по следующей формуле:
- совокупные расходы по элементу "Отчисления на социальные нужды" за отчетный период;
Ккор. - коэффициент корректировки расходов по элементу "Отчисления на социальные нужды" с учетом изменений законодательства о страховании в Российской Федерации.
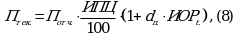
17.3. Расходы по элементу "Материальные затраты", проектируемые на текущий период (Мтек.), рассчитываются по следующей формуле:
Мотч. - совокупные расходы по элементу "Материальные затраты" за отчетный период;
ИПЦ - прогнозное значение индекса инфляции (индекса потребительских цен), установленного на текущий период (год);
dм - доля материальных затрат, связанных с оказанием услуг по управлению и эксплуатации подвижного состава, зависящих от объемов поездо-часовой работы подвижного состава в пригородном сообщении.
17.4. Расходы по элементу "Прочие затраты", проектируемые на текущий период (Птек.), рассчитываются по следующей формуле:
Потч. - совокупные расходы по элементу "Прочие затраты" за отчетный период;
dn - доля прочих затрат, связанных с оказанием услуг по управлению и эксплуатации подвижного состава, зависящих от объемов поездо-часовой работы подвижного состава в пригородном сообщении.
18. Расчет проектируемых на прогнозный период расходов, учитываемых при расчете ставок платы за услуги по управлению и эксплуатации подвижного состава, осуществляется на основе прогнозных данных о расходах организаций, владеющих подвижным составом и инфраструктурой, за текущий период с учетом ожидаемых в плановом периоде инфляционных показателей и ожидаемых в плановом периоде объемов поездо-часов работы подвижного состава соответствующего вида тяги.
(в ред. Приказа ФАС России от 29.07.2024 N 503/24)
(см. текст в предыдущей редакции)
19. Расчет проектируемых на плановый период расходов, учитываемых при расчете ставок платы за услуги по управлению и эксплуатации подвижного состава, производится по i-ой железной дороге (
) в соответствии со следующей формулой:
Фплан. - расходы по элементу "Затраты на оплату труда", проектируемые на плановый период;
Оплан. - расходы по элементу "Отчисления на социальные нужды", проектируемые на плановый период;
Мплан. - расходы по элементу "Материальные затраты", проектируемые на плановый период;
Пплан. - расходы по элементу "Прочие затраты", проектируемые на плановый период.
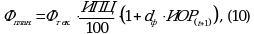
19.1. Расходы по элементу "Затраты на оплату труда", проектируемые на плановый период (Фплан.), рассчитываются по следующей формуле:
Фтек. - ожидаемые в текущем периоде расходы по элементу "Затраты на оплату труда", рассчитанные в соответствии с подпунктом 17.1 настоящей Методики;
ИПЦ - прогнозное значение индекса инфляции (индекса потребительских цен), установленного на плановый период (год);
ИОРt+1 - индекс изменения объемов поездо-часовой работы подвижного состава в плановом периоде по отношению к ожидаемым объемам поездо-часовой работы в текущем периоде, рассчитывается по следующей формуле:
ОРt+1 - объем работы, прогнозируемый в плановом периоде, выраженный в соответствующих единицах измерения;
ОРt - объем работы, ожидаемый в текущем периоде, выраженный в соответствующих единицах измерения.
19.2. Расходы по элементу "Отчисления на социальные нужды", проектируемые на плановый период (Оплан.), рассчитываются по следующей формуле:
Отек. - ожидаемые в текущем периоде расходы по элементу "Отчисления на социальные нужды", рассчитанные в соответствии с подпунктом 17.2 настоящей Методики;
Ккор. - коэффициент корректировки расходов по элементу "Отчисления на социальные нужды".
19.3. Расходы по элементу "Материальные затраты", проектируемые на плановый период (Мплан.), рассчитываются по следующей формуле:
Мтек. - ожидаемые в текущем периоде расходы по элементу "Материальные затраты", рассчитанные в соответствии с подпунктом 17.3 настоящей Методики;
ИПЦ - прогнозное значение индекса инфляции (индекса потребительских цен), установленного на плановый период (год).
19.4. Расходы по элементу "Прочие затраты", проектируемые на плановый период (Пплан.), рассчитываются по следующей формуле:
Птек. - ожидаемые в текущем периоде расходы по элементу "Прочие затраты", рассчитанные в соответствии с подпунктом 17.4 настоящей Методики;
20. Ставка платы за управление и эксплуатацию подвижного состава устанавливается в расчете на 1 поездо-час (локомотиво-час), установленные на плановый период.
21. Расчет затрат по элементам расходов, предусмотренных пунктами 16 - 19 настоящей Методики, осуществляется на основании расходов организаций, владеющих подвижным составом и инфраструктурой, сформированных в соответствии с Порядком ведения раздельного учета, на соответствующих статьях расходов с распределением в разрезе железных дорог с учетом технических и технологических особенностей оказания услуг на полигонах работы пригородных пассажирских организаций.
(в ред. Приказа ФАС России от 29.07.2024 N 503/24)
(см. текст в предыдущей редакции)
- Гражданский кодекс (ГК РФ)
- Жилищный кодекс (ЖК РФ)
- Налоговый кодекс (НК РФ)
- Трудовой кодекс (ТК РФ)
- Уголовный кодекс (УК РФ)
- Бюджетный кодекс (БК РФ)
- Арбитражный процессуальный кодекс
- Конституция РФ
- Земельный кодекс (ЗК РФ)
- Лесной кодекс (ЛК РФ)
- Семейный кодекс (СК РФ)
- Уголовно-исполнительный кодекс
- Уголовно-процессуальный кодекс
- Производственный календарь на 2025 год
- МРОТ 2025
- ФЗ «О банкротстве»
- О защите прав потребителей (ЗОЗПП)
- Об исполнительном производстве
- О персональных данных
- О налогах на имущество физических лиц
- О средствах массовой информации
- Производственный календарь на 2026 год
- Федеральный закон "О полиции" N 3-ФЗ
- Расходы организации ПБУ 10/99
- Минимальный размер оплаты труда (МРОТ)
- Календарь бухгалтера на 2025 год
- Частичная мобилизация: обзор новостей
- Постановление Правительства РФ N 1875












