VIII. Сопоставление пропускной и необходимой пропускной и провозной способности инфраструктуры железнодорожного транспорта общего пользования
VIII. Сопоставление пропускной и необходимой пропускной
и провозной способности инфраструктуры железнодорожного
транспорта общего пользования
65. Пропускная способность железнодорожных участков, рассчитанная в соответствии с настоящей Методикой, сопоставляется с необходимой пропускной способностью. Необходимая пропускная способность перегонов должна обеспечивать заданные размеры грузового и пассажирского движения месяца максимальных перевозок с учетом внутримесячной неравномерности поездопотоков, времени на технологические перерывы для содержания и планового ремонта сооружений и устройств, а также исходя из допустимого коэффициента использования пропускной способности для компенсации внутрисуточных колебаний пропускной способности и эксплуатационных отказов в работе, принимаемых в соответствии с пунктами 55 - 61 настоящей Методики.
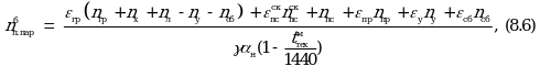
66. Расчет необходимой пропускной способности перегонов действующей или реконструируемой железнодорожной линии без учета времени на содержание, ремонт и ликвидацию отказов технических средств (в поездах всех категорий, идущих с одинаковой скоростью) выполняется по следующим формулам.
На железнодорожных участках, на которых количество грузовых поездов превышает количество пассажирских, необходимая пропускная способность
определяется количеством грузовых поездов (пар поездов) в сутки:
на железнодорожных участках, где количество пассажирских поездов превышает количество грузовых, необходимая пропускная способность
определяется количеством пассажирских поездов (пар поездов) в сутки:
на железнодорожных участках, на которых количество пригородных поездов с максимальной интенсивностью движения, необходимая пропускная способность
определяется количеством пригородных поездов (пар поездов) в сутки:
где nгр, nх,
, nпс, nпр, nу, nсб, nл - заданное число соответственно грузовых (включая ускоренные и сборные), хозяйственных, скоростных пассажирских, остальных пассажирских (включая следование пассажирских составов в пункты посадки пассажиров, пригородных, ускоренных грузовых, сборных поездов и одиночных локомотивов в сутки;
,
,
- заданное число соответственно пригородных, скоростных пассажирских, остальных пассажирских поездов в час интенсивного пригородного движения;
- коэффициент, учитывающий использование пропускной способности при отсутствии ремонтно-строительных работ и проведения работ по текущему содержанию устройств инфраструктуры железнодорожного транспорта общего пользования только в рабочие дни месяца максимальных перевозок, принимаемый по данным владельца инфраструктуры железнодорожного транспорта общего пользования не более: 0,98 - для однопутных железнодорожных линий; 1,00 - для железнодорожных участков с двухпутными вставками; 1,04 - для двухпутных железнодорожных линий и дополнительных главных железнодорожных путей;
- допустимый коэффициент использования пропускной способности в час интенсивного пригородного движения, принимаемый по данным владельца инфраструктуры железнодорожного транспорта общего пользования не более: 0,97 - для однопутных железнодорожных линий; 0,98 - для железнодорожных участков с двухпутными вставками; 0,99 - для двухпутных железнодорожных линий и дополнительных главных железнодорожных путей.
где nм.ср - заданное число грузовых поездов в средние сутки месяца максимальных перевозок.
где n.пар - пропускная способность расчетного железнодорожного участка по перегонам и устройствам тягового электроснабжения с учетом времени на содержание, ремонт и ликвидацию отказов технических средств в соответствии с главами II и IV настоящей Методики, поездов (пар) в сутки;
- пропускная способность перегонов в час интенсивного пригородного движения, поездов (пар)/ч, то требуется увеличение пропускной способности расчетного железнодорожного участка.
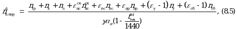
68. Необходимая пропускная способность перегонов новой железнодорожной линии с учетом времени на содержание, ремонт и ликвидацию отказов технических средств (в поездах параллельного графика):
на железнодорожных участках, на которых количество грузовых поездов превышает количество пассажирских, необходимая пропускная способность
определяется количеством грузовых поездов (пар поездов) в сутки:
на железнодорожных участках, на которых количество пассажирских поездов превышает количество грузовых, необходимая пропускная способность
определяется количеством пассажирских поездов (пар поездов) в сутки:
на железнодорожных участках, на которых количество пригородных поездов составляет в час четыре и более, необходимая пропускная способность
определяется количеством пригородных поездов (пар поездов) в час интенсивного пригородного движения:
где
- продолжительность суточного бюджета времени, выделяемого для работ по текущему содержанию устройств инфраструктуры железнодорожного транспорта общего пользования в месяце максимальных перевозок, принимаемая 64 минуты - для однопутных железнодорожных линий и для железнодорожных участков с двухпутными вставками; 85 минут - для двухпутных железнодорожных линий и дополнительных главных железнодорожных путей.
69. Пропускная (перерабатывающая) способность железнодорожных станций, рассчитанная в соответствии с настоящей Методикой, сопоставляется с необходимой пропускной (перерабатывающей) способностью железнодорожных станций.
Необходимая пропускная (перерабатывающая) способность железнодорожных станций
(в физических поездах) определяется по формуле:
Если
требуется увеличение пропускной (перерабатывающей) способности железнодорожной станции,
где n.физ - пропускная способность железнодорожной станции, пар поездов/сутки;
- средневзвешенный допустимый коэффициент использования пропускной способности железнодорожной станции при ограничении по приему (по отправлению) (пункт 61 настоящей Методики).
Расчетная пропускная (перерабатывающая) способность железнодорожной станции nфиз определяется при том же числе ускоренных, сборных и пассажирских поездов, что и
:
где nгр.н - пропускная (перерабатывающая) способность железнодорожной станции для грузовых поездов с учетом коэффициента
, компенсирующего влияние отказов технических средств, а также с учетом времени
на содержание и плановый ремонт сооружений и устройств железнодорожной станции (глава III настоящей Методики).
70. При сопоставлении провозной способности Г, рассчитанной в соответствии с пунктом 63 настоящей Методики, и необходимой провозной способностью Гпотр - количеством млн. тонн груза, которое потребуется перевезти по железнодорожному участку за год, должно выполняться условие:
где Гзад - заданный грузопоток месяца максимальных перевозок, млн. т/месяц;
kc - коэффициент, учитывающий неравномерность перевозок в течение месяца.
- Гражданский кодекс (ГК РФ)
- Жилищный кодекс (ЖК РФ)
- Налоговый кодекс (НК РФ)
- Трудовой кодекс (ТК РФ)
- Уголовный кодекс (УК РФ)
- Бюджетный кодекс (БК РФ)
- Арбитражный процессуальный кодекс
- Конституция РФ
- Земельный кодекс (ЗК РФ)
- Лесной кодекс (ЛК РФ)
- Семейный кодекс (СК РФ)
- Уголовно-исполнительный кодекс
- Уголовно-процессуальный кодекс
- Производственный календарь на 2025 год
- МРОТ 2025
- ФЗ «О банкротстве»
- О защите прав потребителей (ЗОЗПП)
- Об исполнительном производстве
- О персональных данных
- О налогах на имущество физических лиц
- О средствах массовой информации
- Производственный календарь на 2026 год
- Федеральный закон "О полиции" N 3-ФЗ
- Расходы организации ПБУ 10/99
- Минимальный размер оплаты труда (МРОТ)
- Календарь бухгалтера на 2025 год
- Частичная мобилизация: обзор новостей
- Постановление Правительства РФ N 1875




или соответственно
,





