постановлением Правительства
Российской Федерации
от 14 марта 2018 г. N 254
Список изменяющих документов
1. Настоящие Правила устанавливают порядок, цели и условия предоставления и распределения иных межбюджетных трансфертов бюджетам субъектов Российской Федерации на реализацию мероприятий планов социального развития центров экономического роста субъектов Российской Федерации, входящих в состав Дальневосточного федерального округа и Арктической зоны Российской Федерации (далее соответственно - иные межбюджетные трансферты, планы, субъекты Российской Федерации).
(в ред. Постановления Правительства РФ от 27.09.2022 N 1694)
(см. текст в предыдущей редакции)
2. Иные межбюджетные трансферты предоставляются в целях софинансирования в полном объеме расходных обязательств субъектов Российской Федерации, возникающих в связи с реализацией мероприятий планов до 1 января 2024 г., за исключением мероприятий по развитию инфраструктуры территорий опережающего развития, уровень софинансирования из федерального бюджета которых определяется решением президиума Правительственной комиссии по вопросам социально-экономического развития Дальнего Востока и (или) решением президиума Государственной комиссии по вопросам развития Арктики.
В настоящих Правилах под центрами экономического роста понимаются места территориальной локализации промышленных производств и (или) инвестиционных проектов и связанные с их размещением и (или) реализацией территории.
(п. 2 в ред. Постановления Правительства РФ от 14.06.2023 N 984)
(см. текст в предыдущей редакции)
2(1). План может содержать мероприятия по оказанию государственной финансовой поддержки, направленной на:
стимулирование промышленного производства товаров и поставки произведенных товаров, указанных в пункте 1 постановления Правительства Российской Федерации от 3 октября 2022 г. N 1745 "О специальной мере в сфере экономики и внесении изменения в постановление Правительства Российской Федерации от 30 апреля 2020 г. N 616", для нужд специальной военной операции;
закупку товаров, указанных в пункте 1 постановления Правительства Российской Федерации от 3 октября 2022 г. N 1745 "О специальной мере в сфере экономики и внесении изменения в постановление Правительства Российской Федерации от 30 апреля 2020 г. N 616", для нужд специальной военной операции.
(п. 2(1) введен Постановлением Правительства РФ от 14.06.2023 N 984)
3. Иные межбюджетные трансферты предоставляются в пределах лимитов бюджетных обязательств, доведенных до Министерства Российской Федерации по развитию Дальнего Востока и Арктики на цели, указанные в пункте 2 настоящих Правил.
(см. текст в предыдущей редакции)
4. Распределение иных межбюджетных трансфертов между субъектами Российской Федерации производится в соответствии с федеральным законом о федеральном бюджете на очередной финансовый год и плановый период и принятыми в соответствии с ним актами Правительства Российской Федерации и осуществляется на основании:
решения президиума Правительственной комиссии по вопросам социально-экономического развития Дальнего Востока - в случае, если реализация мероприятия осуществляется в рамках государственной программы Российской Федерации "Социально-экономическое развитие Дальневосточного федерального округа";
решения президиума Государственной комиссии по вопросам развития Арктики - в случае, если реализация мероприятия осуществляется в рамках государственной программы Российской Федерации "Социально-экономическое развитие Арктической зоны Российской Федерации".
(п. 4 в ред. Постановления Правительства РФ от 27.09.2022 N 1694)
(см. текст в предыдущей редакции)
5. Высшие должностные лица субъектов Российской Федерации (высшие исполнительные органы субъектов Российской Федерации) представляют в установленные Министерством Российской Федерации по развитию Дальнего Востока и Арктики сроки в Министерство Российской Федерации по развитию Дальнего Востока и Арктики планы (проекты планов), отражающие потребность в средствах на исполнение расходных обязательств субъектов Российской Федерации, связанных с их реализацией.
(в ред. Постановлений Правительства РФ от 15.05.2019 N 601, от 27.12.2019 N 1905, от 27.09.2022 N 1694)
(см. текст в предыдущей редакции)
Подготовка планов (проектов планов) осуществляется с учетом методических рекомендаций, утверждаемых Министерством Российской Федерации по развитию Дальнего Востока и Арктики.
(в ред. Постановления Правительства РФ от 15.05.2019 N 601)
(см. текст в предыдущей редакции)
Министерство Российской Федерации по развитию Дальнего Востока и Арктики рассматривает представленные субъектами Российской Федерации планы (проекты планов) в течение 30 календарных дней со дня их поступления на предмет соответствия методическим рекомендациям, утверждаемым Министерством, и принимает одно из следующих решений:
(в ред. Постановления Правительства РФ от 15.05.2019 N 601)
(см. текст в предыдущей редакции)
о направлении планов (проектов планов) на рассмотрение президиума Правительственной комиссии по вопросам социально-экономического развития Дальнего Востока или президиума Государственной комиссии по вопросам развития Арктики;
(см. текст в предыдущей редакции)
о направлении высшим должностным лицам субъектов Российской Федерации (высшим исполнительным органам субъектов Российской Федерации) замечаний и предложений к планам (проектам планов) для их доработки.
(в ред. Постановления Правительства РФ от 27.09.2022 N 1694)
(см. текст в предыдущей редакции)
Планы (проекты планов) рассматриваются на заседании президиума Правительственной комиссии по вопросам социально-экономического развития Дальнего Востока или президиума Государственной комиссии по вопросам развития Арктики.
(см. текст в предыдущей редакции)
6. Решение президиума Правительственной комиссии по вопросам социально-экономического развития Дальнего Востока (для субъектов Российской Федерации, входящих в состав Дальневосточного федерального округа) или президиума Государственной комиссии по вопросам развития Арктики (для субъектов Российской Федерации, входящих в состав Арктической зоны Российской Федерации) по итогам рассмотрения планов (проектов планов) формируется с учетом следующих критериев:
(см. текст в предыдущей редакции)
а) наличие актов, поручений и указаний Президента Российской Федерации, актов и поручений Правительства Российской Федерации, предусматривающих реализацию мероприятий, предлагаемых к включению в планы;
б) ожидаемые результаты реализации мероприятий, в том числе отношение размеров расходов бюджетов бюджетной системы Российской Федерации к численности населения, охваченного реализацией мероприятий, предлагаемых к включению в планы;
в) отношение размеров расходов бюджетов бюджетной системы Российской Федерации к объему частных инвестиций в инвестиционные проекты, на содействие в реализации которых направлены мероприятия, предлагаемые к включению в планы;
г) сложившийся уровень кассового исполнения иных межбюджетных трансфертов за предыдущие годы и истекший период текущего года;
(пп. "г" введен Постановлением Правительства РФ от 16.02.2022 N 180)
д) доля мероприятий, не завершенных субъектами Российской Федерации в установленные сроки в предыдущие годы и истекший период текущего года, при реализации которых возникают расходные обязательства субъектов Российской Федерации, в целях софинансирования которых предоставляется иной межбюджетный трансферт.
(пп. "д" введен Постановлением Правительства РФ от 11.02.2023 N 198)
7. Распределение иных межбюджетных трансфертов осуществляется по формуле:
Si - размер иных межбюджетных трансфертов, предоставляемых бюджету i-го субъекта Российской Федерации;
Sобщ - общий размер иных межбюджетных трансфертов, предоставляемых бюджетам субъектов Российской Федерации в текущем финансовом году;
(в ред. Постановления Правительства РФ от 27.12.2019 N 1905)
(см. текст в предыдущей редакции)
Подобр i - одобренный президиумом Правительственной комиссии по вопросам социально-экономического развития Дальнего Востока (для субъектов Российской Федерации, входящих в состав Дальневосточного федерального округа) или президиумом Государственной комиссии по вопросам развития Арктики (для субъектов Российской Федерации, входящих в состав Арктической зоны Российской Федерации) размер иных межбюджетных трансфертов, предоставляемых бюджету i-го субъекта Российской Федерации в соответствии с потребностью в финансировании соответствующих мероприятий.
(см. текст в предыдущей редакции)
Размер иного межбюджетного трансферта, предоставляемого в 2018 году Сахалинской области, не может превышать размер, установленный пунктом 9 части 1 статьи 21 Федерального закона "О федеральном бюджете на 2018 год и на плановый период 2019 и 2020 годов".
Объем бюджетных ассигнований бюджета субъекта Российской Федерации на финансовое обеспечение расходных обязательств субъекта Российской Федерации, связанных с реализацией мероприятий плана, определяется исходя из необходимости достижения значений результатов предоставления иного межбюджетного трансферта.
(в ред. Постановления Правительства РФ от 27.12.2019 N 1905)
(см. текст в предыдущей редакции)
8. На основании решения президиума Правительственной комиссии по вопросам социально-экономического развития Дальнего Востока (для субъектов Российской Федерации, входящих в состав Дальневосточного федерального округа) или президиума Государственной комиссии по вопросам развития Арктики (для субъектов Российской Федерации, входящих в состав Арктической зоны Российской Федерации) Министерство Российской Федерации по развитию Дальнего Востока и Арктики подготавливает проект акта Правительства Российской Федерации об утверждении распределения иных межбюджетных трансфертов между субъектами Российской Федерации.
(в ред. Постановлений Правительства РФ от 15.05.2019 N 601, от 28.05.2020 N 778, от 27.09.2022 N 1694)
(см. текст в предыдущей редакции)
8.1. Актом Правительства Российской Федерации об утверждении распределения иных межбюджетных трансфертов между субъектами Российской Федерации может быть предусмотрено предоставление иных межбюджетных трансфертов в течение сроков, превышающих сроки действия утвержденных лимитов бюджетных обязательств, в случае, если высшим должностным лицом субъекта Российской Федерации (высшим исполнительным органом субъекта Российской Федерации) представлены в Министерство Российской Федерации по развитию Дальнего Востока и Арктики планы (проекты планов), отражающие потребность в средствах на исполнение расходных обязательств субъектов Российской Федерации, связанных с их реализацией, в течение не менее 10 лет в целях реализации концессионных соглашений.
(п. 8.1 введен Постановлением Правительства РФ от 02.09.2021 N 1466; в ред. Постановления Правительства РФ от 27.09.2022 N 1694)
(см. текст в предыдущей редакции)
8(2). Иные межбюджетные трансферты на цели, предусмотренные пунктом 8(1) настоящих Правил, предоставляются в пределах предусмотренных Министерству Российской Федерации по развитию Дальнего Востока и Арктики лимитов бюджетных обязательств.
(п. 8(2) введен Постановлением Правительства РФ от 27.09.2022 N 1694)
9. В срок не позднее 15-го календарного дня со дня утверждения Правительством Российской Федерации распределения иных межбюджетных трансфертов между субъектами Российской Федерации высшие должностные лица субъектов Российской Федерации (высшие исполнительные органы субъектов Российской Федерации) обеспечивают утверждение планов, соответствующих решениям президиума Правительственной комиссии по вопросам социально-экономического развития Дальнего Востока (для субъектов Российской Федерации, входящих в состав Дальневосточного федерального округа) или президиума Государственной комиссии по вопросам развития Арктики (для субъектов Российской Федерации, входящих в состав Арктической зоны Российской Федерации) и акту Правительства Российской Федерации об утверждении распределения иных межбюджетных трансфертов между субъектами Российской Федерации.
(п. 9 в ред. Постановления Правительства РФ от 27.09.2022 N 1694)
(см. текст в предыдущей редакции)
10. Изменения, которые вносятся в планы, касающиеся мероприятий, при реализации которых возникают расходные обязательства субъектов Российской Федерации, в целях софинансирования которых предоставляется иной межбюджетный трансферт, рассматриваются президиумом Правительственной комиссии по вопросам социально-экономического развития Дальнего Востока (для субъектов Российской Федерации, входящих в состав Дальневосточного федерального округа) или президиумом Государственной комиссии по вопросам развития Арктики (для субъектов Российской Федерации, входящих в состав Арктической зоны Российской Федерации) на основании предложений высших должностных лиц субъектов Российской Федерации (высших исполнительных органов субъектов Российской Федерации).
(в ред. Постановления Правительства РФ от 27.09.2022 N 1694)
(см. текст в предыдущей редакции)
В случае принятия высшими должностными лицами субъектов Российской Федерации (высшими исполнительными органами субъектов Российской Федерации) решений об отсутствии потребности в средствах иных межбюджетных трансфертов распределение высвобождающихся таким образом сумм иных межбюджетных трансфертов между субъектами Российской Федерации осуществляется в порядке, аналогичном порядку, предусмотренному пунктами 5 - 7 настоящих Правил.
(в ред. Постановления Правительства РФ от 27.09.2022 N 1694)
(см. текст в предыдущей редакции)
Изменения, которые вносятся в планы, не затрагивающие мероприятия, при реализации которых возникают расходные обязательства субъектов Российской Федерации, в целях софинансирования которых предоставляется иной межбюджетный трансферт, утверждаются высшими должностными лицами субъектов Российской Федерации (высшими исполнительными органами субъектов Российской Федерации) по согласованию с Министерством Российской Федерации по развитию Дальнего Востока и Арктики.
(в ред. Постановлений Правительства РФ от 15.05.2019 N 601, от 27.12.2019 N 1905, от 27.09.2022 N 1694)
(см. текст в предыдущей редакции)
11. Условиями предоставления иных межбюджетных трансфертов являются:
а) наличие в планах, утвержденных высшим должностным лицом субъекта Российской Федерации (высшим исполнительным органом субъекта Российской Федерации), мероприятий, включение которых в планы одобрено на заседании президиума Правительственной комиссии по вопросам социально-экономического развития Дальнего Востока (для субъектов Российской Федерации, входящих в состав Дальневосточного федерального округа) или президиума Государственной комиссии по вопросам развития Арктики (для субъектов Российской Федерации, входящих в состав Арктической зоны Российской Федерации);
(пп. "а" в ред. Постановления Правительства РФ от 27.09.2022 N 1694)
(см. текст в предыдущей редакции)
б) наличие в бюджете субъекта Российской Федерации бюджетных ассигнований на исполнение расходного обязательства субъекта Российской Федерации, софинансирование которого осуществляется из федерального бюджета;
в) заключение соглашения о предоставлении иных межбюджетных трансфертов (далее - соглашение) в соответствии с пунктом 12 настоящих Правил.
(п. 11 в ред. Постановления Правительства РФ от 16.02.2022 N 180)
(см. текст в предыдущей редакции)
12. Предоставление иных межбюджетных трансфертов осуществляется на основании соглашения, заключаемого между Министерством Российской Федерации по развитию Дальнего Востока и Арктики и высшими должностными лицами субъектов Российской Федерации (высшими исполнительными органами субъектов Российской Федерации) в соответствии с типовой формой соглашения, утвержденной Министерством финансов Российской Федерации, с использованием государственной интегрированной информационной системы управления общественными финансами "Электронный бюджет".
(в ред. Постановлений Правительства РФ от 27.12.2019 N 1905, от 16.02.2022 N 180, от 27.09.2022 N 1694)
(см. текст в предыдущей редакции)
12(1). При заключении соглашения высший исполнительный орган субъекта Российской Федерации представляет в Министерство Российской Федерации по развитию Дальнего Востока и Арктики отчетность об исполнении условий предоставления иного межбюджетного трансферта.
(п. 12(1) введен Постановлением Правительства РФ от 27.12.2019 N 1905; в ред. Постановления Правительства РФ от 27.09.2022 N 1694)
(см. текст в предыдущей редакции)
13. Соглашения заключаются в соответствии с распределением иных межбюджетных трансфертов, устанавливаемым федеральным законом о федеральном бюджете на текущий финансовый год (текущий финансовый год и плановый период) и принятыми в соответствии с ним актами Правительства Российской Федерации.
(в ред. Постановления Правительства РФ от 16.02.2022 N 180)
(см. текст в предыдущей редакции)
14. Перечисление иных межбюджетных трансфертов осуществляется в установленном порядке на единые счета бюджетов, открытые финансовым органам субъектов Российской Федерации в территориальных органах Федерального казначейства.
(п. 14 в ред. Постановления Правительства РФ от 16.02.2022 N 180)
(см. текст в предыдущей редакции)
15. В случае если субъектом Российской Федерации по состоянию на 31 декабря текущего финансового года не выполнены условия соглашения, в том числе обязательства по достижению значений результатов предоставления иного межбюджетного трансферта, предусмотренных соглашением, и до 1 апреля года, следующего за годом предоставления иного межбюджетного трансферта, указанные нарушения не устранены, размер средств, подлежащих возврату из бюджета субъекта Российской Федерации в федеральный бюджет в срок до 1 мая года, следующего за годом предоставления иного межбюджетного трансферта (Vвозврата i), рассчитывается по формуле:
(в ред. Постановления Правительства РФ от 14.06.2023 N 984)
(см. текст в предыдущей редакции)
(в ред. Постановления Правительства РФ от 16.02.2022 N 180)
(см. текст в предыдущей редакции)
Vтр i - размер иного межбюджетного трансферта, предоставленного бюджету i-го субъекта Российской Федерации в отчетном финансовом году;
mi - количество результатов предоставления иного межбюджетного трансферта, по которым индекс, отражающий уровень недостижения значения результата предоставления иного межбюджетного трансферта бюджету i-го субъекта Российской Федерации, имеет положительное значение;
ni - общее количество результатов предоставления иного межбюджетного трансферта бюджету i-го субъекта Российской Федерации, установленных в отчетном финансовом году;
ki - коэффициент возврата иного межбюджетного трансферта бюджету i-го субъекта Российской Федерации.
Коэффициент возврата иного межбюджетного трансферта рассчитывается по формуле:
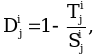
- индекс, отражающий уровень недостижения значения j-го результата предоставления иного межбюджетного трансферта бюджету i-го субъекта Российской Федерации.
При расчете коэффициента возврата иного межбюджетного трансферта используются только положительные значения индекса, отражающего уровень недостижения значения j-го результата предоставления иного межбюджетного трансферта.
Индекс, отражающий уровень недостижения значения j-го результата предоставления иного межбюджетного трансферта бюджету i-го субъекта Российской Федерации, определяется по формуле:
- фактически достигнутое значение j-го результата предоставления иного межбюджетного трансферта бюджету i-го субъекта Российской Федерации на отчетную дату;
- плановое значение j-го результата предоставления иного межбюджетного трансферта бюджету i-го субъекта Российской Федерации, установленное соглашением.
В случае отсутствия оснований для освобождения субъекта Российской Федерации от применения мер ответственности, предусмотренных настоящими Правилами, Министерством Российской Федерации по развитию Дальнего Востока и Арктики не позднее 30-го рабочего дня после первой даты представления отчетности о достижении значений результатов использования иного межбюджетного трансферта направляется в высший исполнительный орган субъекта Российской Федерации требование о возврате иного межбюджетного трансферта из бюджета субъекта Российской Федерации в федеральный бюджет в объеме средств, рассчитанном в соответствии с настоящим пунктом, с указанием сумм подлежащих возврату средств и сроков их возврата.
(в ред. Постановления Правительства РФ от 14.06.2023 N 984)
(см. текст в предыдущей редакции)
Решения о приостановлении перечисления (сокращении размера) иного межбюджетного трансферта бюджету субъекта Российской Федерации не принимаются в случае, если условия предоставления иного межбюджетного трансферта не выполнены в силу обстоятельств непреодолимой силы.
(п. 15 в ред. Постановления Правительства РФ от 27.12.2019 N 1905)
(см. текст в предыдущей редакции)
15(1). При расчете объема средств, подлежащих возврату из бюджета субъекта Российской Федерации в федеральный бюджет, в размере иного межбюджетного трансферта, предоставленного бюджету субъекта Российской Федерации в отчетном финансовом году, не учитывается размер остатка иного межбюджетного трансферта, не использованного по состоянию на 1 января текущего финансового года.
(п. 15(1) введен Постановлением Правительства РФ от 27.12.2019 N 1905)
15(2). Основанием для освобождения субъектов Российской Федерации от применения мер ответственности, предусмотренных пунктами 15 и 15(1) настоящих Правил, является документально подтвержденное наступление следующих обстоятельств непреодолимой силы, препятствующих исполнению соответствующих обязательств:
а) установление регионального и (или) местного уровня реагирования на чрезвычайную ситуацию, подтвержденное правовым актом органа государственной власти субъекта Российской Федерации и (или) органа местного самоуправления;
б) установление карантина и (или) иных ограничений, направленных на предотвращение распространения и ликвидацию очагов заразных и иных болезней животных, подтвержденное правовым актом органа государственной власти субъекта Российской Федерации или решением федерального органа исполнительной власти в области нормативно-правового регулирования в ветеринарии;
в) аномальные погодные условия, подтвержденные справкой территориального органа федерального органа исполнительной власти, осуществляющего функции по оказанию государственных услуг в области гидрометеорологии и смежных с ней областях;
г) наличие вступившего в законную силу в году предоставления иных межбюджетных трансфертов решения арбитражного суда о признании несостоятельной (банкротом) организации, деятельность которой оказывала влияние на исполнение обязательств, предусмотренных соглашением.
(п. 15(2) введен Постановлением Правительства РФ от 16.02.2022 N 180)
16. Высшие должностные лица субъектов Российской Федерации (высшие исполнительные органы субъектов Российской Федерации) представляют в Министерство Российской Федерации по развитию Дальнего Востока и Арктики отчет о достижении значений результатов предоставления иного межбюджетного трансферта и отчет об осуществлении расходов, подписанные высшим должностным лицом субъекта Российской Федерации (председателем высшего исполнительного органа субъекта Российской Федерации), в порядке и сроки, которые установлены соглашением.
(п. 16 в ред. Постановления Правительства РФ от 27.09.2022 N 1694)
(см. текст в предыдущей редакции)
17. Оценка эффективности предоставления иного межбюджетного трансферта осуществляется Министерством Российской Федерации по развитию Дальнего Востока и Арктики по итогам финансового года на основании отчета о достижении значений результатов предоставления иного межбюджетного трансферта путем сравнения фактически достигнутых субъектом Российской Федерации значений результатов предоставления иного межбюджетного трансферта и плановых значений, установленных соглашением.
Результатом предоставления иного межбюджетного трансферта является уровень достижения значений показателей плана в части реализации мероприятий, при реализации которых возникают расходные обязательства субъекта Российской Федерации, в целях софинансирования которых предоставляется иной межбюджетный трансферт.
(п. 17 в ред. Постановления Правительства РФ от 16.02.2022 N 180)
(см. текст в предыдущей редакции)
18. Контроль за соблюдением субъектами Российской Федерации условий предоставления иных межбюджетных трансфертов осуществляется Министерством Российской Федерации по развитию Дальнего Востока и Арктики и органами государственного финансового контроля.
(п. 18 в ред. Постановления Правительства РФ от 16.02.2022 N 180)
(см. текст в предыдущей редакции)
19. Ответственность за достоверность представляемых в Министерство Российской Федерации по развитию Дальнего Востока и Арктики информации и документов возлагается на высшее должностное лицо субъекта Российской Федерации (председателя высшего исполнительного органа субъекта Российской Федерации).
(см. текст в предыдущей редакции)
20. В случае нарушения субъектом Российской Федерации целей предоставления иного межбюджетного трансферта, установленных пунктом 2 настоящих Правил, к нему применяются бюджетные меры принуждения в соответствии с бюджетным законодательством Российской Федерации.
(п. 20 введен Постановлением Правительства РФ от 16.02.2022 N 180)
- Гражданский кодекс (ГК РФ)
- Жилищный кодекс (ЖК РФ)
- Налоговый кодекс (НК РФ)
- Трудовой кодекс (ТК РФ)
- Уголовный кодекс (УК РФ)
- Бюджетный кодекс (БК РФ)
- Арбитражный процессуальный кодекс
- Конституция РФ
- Земельный кодекс (ЗК РФ)
- Лесной кодекс (ЛК РФ)
- Семейный кодекс (СК РФ)
- Уголовно-исполнительный кодекс
- Уголовно-процессуальный кодекс
- Производственный календарь на 2025 год
- МРОТ 2026
- ФЗ «О банкротстве»
- О защите прав потребителей (ЗОЗПП)
- Об исполнительном производстве
- О персональных данных
- О налогах на имущество физических лиц
- О средствах массовой информации
- Производственный календарь на 2026 год
- Федеральный закон "О полиции" N 3-ФЗ
- Расходы организации ПБУ 10/99
- Минимальный размер оплаты труда (МРОТ)
- Календарь бухгалтера на 2026 год
- Частичная мобилизация: обзор новостей
- Постановление Правительства РФ N 1875
,

