к государственной программе
Российской Федерации "Обеспечение
доступным и комфортным жильем
и коммунальными услугами граждан
Российской Федерации"
ПРАВИЛА
ПРЕДОСТАВЛЕНИЯ И РАСПРЕДЕЛЕНИЯ СУБСИДИЙ
ИЗ ФЕДЕРАЛЬНОГО БЮДЖЕТА БЮДЖЕТАМ СУБЪЕКТОВ РОССИЙСКОЙ
ФЕДЕРАЦИИ НА СОФИНАНСИРОВАНИЕ МЕРОПРИЯТИЙ ПО ПЕРЕСЕЛЕНИЮ
ГРАЖДАН ИЗ ЖИЛЫХ ПОМЕЩЕНИЙ, РАСПОЛОЖЕННЫХ В ЗОНЕ
БАЙКАЛО-АМУРСКОЙ МАГИСТРАЛИ, ПРИЗНАННЫХ НЕПРИГОДНЫМИ
ДЛЯ ПРОЖИВАНИЯ, И (ИЛИ) ИЗ ЖИЛЫХ ДОМОВ (ПОМЕЩЕНИЙ),
ПРИЗНАННЫХ АВАРИЙНЫМИ И НЕ ПОДЛЕЖАЩИМИ РЕКОНСТРУКЦИИ
ПРАВИЛА
ПРЕДОСТАВЛЕНИЯ И РАСПРЕДЕЛЕНИЯ СУБСИДИЙ
ИЗ ФЕДЕРАЛЬНОГО БЮДЖЕТА БЮДЖЕТАМ СУБЪЕКТОВ РОССИЙСКОЙ
ФЕДЕРАЦИИ НА СОФИНАНСИРОВАНИЕ МЕРОПРИЯТИЙ ПО ПЕРЕСЕЛЕНИЮ
ГРАЖДАН ИЗ ЖИЛЫХ ПОМЕЩЕНИЙ, РАСПОЛОЖЕННЫХ В ЗОНЕ
БАЙКАЛО-АМУРСКОЙ МАГИСТРАЛИ, ПРИЗНАННЫХ НЕПРИГОДНЫМИ
ДЛЯ ПРОЖИВАНИЯ, И (ИЛИ) ИЗ ЖИЛЫХ ДОМОВ (ПОМЕЩЕНИЙ),
ПРИЗНАННЫХ АВАРИЙНЫМИ И НЕ ПОДЛЕЖАЩИМИ РЕКОНСТРУКЦИИ
1. Настоящие Правила устанавливают цели, порядок и условия предоставления и распределения субсидий из федерального бюджета бюджетам Республики Бурятия, Забайкальского края, Амурской и Иркутской областей в целях софинансирования расходных обязательств субъектов Российской Федерации, возникающих при реализации мероприятий, предусмотренных государственными программами субъектов Российской Федерации, по переселению граждан из жилых помещений, расположенных в зоне Байкало-Амурской магистрали, признанных непригодными для проживания, и (или) из жилых домов и многоквартирных домов, признанных аварийными и не подлежащими реконструкции (далее соответственно - мероприятия, ветхое и аварийное жилье), и (или) предоставлению субсидий местным бюджетам из бюджетов указанных субъектов Российской Федерации на указанные цели в рамках федерального проекта "Содействие субъектам Российской Федерации в реализации полномочий по оказанию государственной поддержки гражданам в обеспечении жильем и оплате жилищно-коммунальных услуг" государственной программы Российской Федерации "Обеспечение доступным и комфортным жильем и коммунальными услугами граждан Российской Федерации" (далее - субсидия).
(см. текст в предыдущей редакции)
2. Утратил силу. - Постановление Правительства РФ от 06.02.2023 N 165.
(см. текст в предыдущей редакции)
а) на приобретение субъектами Российской Федерации и (или) муниципальными образованиями жилых помещений, в том числе на вторичном рынке жилья;
(в ред. Постановления Правительства РФ от 05.06.2018 N 653)
(см. текст в предыдущей редакции)
б) на строительство субъектами Российской Федерации и (или) муниципальными образованиями жилых помещений, в том числе завершение ранее начатого строительства;
(в ред. Постановления Правительства РФ от 05.06.2018 N 653)
(см. текст в предыдущей редакции)
в) на предоставление социальных выплат на приобретение или строительство жилых помещений (далее - социальная выплата) собственникам жилых помещений, признанных ветхим и аварийным жильем, или нанимателям таких жилых помещений по договорам социального найма, изъявившим желание переселиться.
(см. текст в предыдущей редакции)
4. В рамках реализации мероприятий размер субсидий, предоставляемых в целях софинансирования расходных обязательств субъекта Российской Федерации, указанных в подпункте "б" пункта 3 настоящих Правил, рассчитывается исходя из сметной стоимости объекта капитального строительства, подтвержденной положительным заключением государственной экспертизы проектной документации и результатов инженерных изысканий, выполненных для подготовки указанной проектной документации.
(в ред. Постановления Правительства РФ от 06.02.2023 N 165)
(см. текст в предыдущей редакции)
Размер субсидии, предоставляемой в целях софинансирования расходных обязательств субъекта Российской Федерации, указанных в подпункте "в" пункта 3 настоящих Правил, рассчитывается исходя из средней рыночной стоимости 1 кв. метра жилья в соответствующем субъекте Российской Федерации, устанавливаемой Министерством строительства и жилищно-коммунального хозяйства Российской Федерации на соответствующий период, и норматива общей площади жилого помещения, установленного настоящим пунктом.
(в ред. Постановления Правительства РФ от 06.02.2023 N 165)
(см. текст в предыдущей редакции)
Норматив общей площади жилого помещения устанавливается в следующем размере:
33 кв. метра - для одиноко проживающего гражданина;
42 кв. метра - на семью из 2 человек;
по 18 кв. метров - на каждого члена семьи, состоящей из 3 и более человек.
(п. 4 в ред. Постановления Правительства РФ от 05.11.2020 N 1785)
(см. текст в предыдущей редакции)
5. Жилые помещения, расходные обязательства субъекта Российской Федерации по приобретению (строительству) которых софинансируются из федерального бюджета, а также социальные выплаты предоставляются нанимателям или собственникам жилых помещений, признанных ветхим и аварийным жильем до дня вступления в силу постановления Правительства Российской Федерации от 20 июня 2022 г. N 1104 "О внесении изменений в приложение N 8 к государственной программе Российской Федерации "Обеспечение доступным и комфортным жильем и коммунальными услугами граждан Российской Федерации", и членам их семей, в первую очередь лицам, которым в связи со строительством Байкало-Амурской магистрали было предоставлено временное жилье организациями, перечень которых устанавливается нормативным правовым актом субъекта Российской Федерации.
(в ред. Постановлений Правительства РФ от 05.06.2018 N 653, от 05.11.2020 N 1785, от 20.06.2022 N 1104, от 06.02.2023 N 165)
(см. текст в предыдущей редакции)
В настоящих Правилах членами семьи нанимателя или собственника жилого помещения признаются лица, указанные в части 1 статьи 69 или части 1 статьи 31 Жилищного кодекса Российской Федерации соответственно, являвшиеся членами семьи нанимателя или собственника жилого помещения на дату признания жилого помещения ветхим и аварийным жильем, а также супруг (супруга) нанимателя или собственника жилого помещения и несовершеннолетние дети, вселенные в качестве членов семьи в жилое помещение после признания его ветхим и аварийным жильем.
(абзац введен Постановлением Правительства РФ от 20.06.2022 N 1104)
6. Предоставление жилых помещений лицам, указанным в пункте 5 настоящих Правил, осуществляется в порядке, предусмотренном жилищным законодательством Российской Федерации.
Порядок и условия предоставления социальных выплат лицам, указанным в пункте 5 настоящих Правил, в том числе являющимся нанимателями жилых помещений по договорам социального найма и изъявившим желание переселиться, устанавливаются нормативным правовым актом субъекта Российской Федерации.
(в ред. Постановления Правительства РФ от 05.11.2020 N 1785)
(см. текст в предыдущей редакции)
Жилые помещения, приобретенные (построенные) субъектами Российской Федерации и (или) муниципальными образованиями в целях предоставления лицам, указанным в пункте 5 настоящих Правил, а также жилые помещения, приобретенные лицами, указанными в пункте 5 настоящих Правил, с использованием социальных выплат, должны соответствовать положениям статей 15 и 16 Жилищного кодекса Российской Федерации, быть благоустроенными применительно к условиям населенного пункта, в котором приобретается (строится) жилое помещение, и находиться в границах субъекта Российской Федерации, которому предоставляется субсидия.
(абзац введен Постановлением Правительства РФ от 05.11.2020 N 1785; в ред. Постановления Правительства РФ от 06.02.2023 N 165)
(см. текст в предыдущей редакции)
6(1). Порядок и условия предоставления социальных выплат, указанные в пункте 6 настоящих Правил, должны предусматривать:
а) положения о подтверждении лицами, указанными в пункте 5 настоящих Правил, факта предоставления им жилого помещения в связи со строительством Байкало-Амурской магистрали, которые предусматривают в том числе представление одного из следующих документов:
документ, подтверждающий право пользования жилым помещением;
судебное решение, подтверждающее предоставление жилого помещения лицам, указанным в пункте 5 настоящих Правил, в связи со строительством Байкало-Амурской магистрали;
трудовая книжка или копия трудовой книжки на бумажном носителе, заверенная работодателем надлежащим образом, или в форме электронного документа, подписанного работодателем усиленной квалифицированной электронной подписью, с записью о работе, связанной со строительством Байкало-Амурской магистрали;
б) возможность использования социальной выплаты для приобретения жилого помещения у любых физических или юридических лиц, уплаты первоначального взноса по ипотечному жилищному кредиту, уплаты цены договора строительного подряда по строительству индивидуального жилого дома, уплаты цены договора участия в долевом строительстве, который предусматривает в качестве объекта долевого строительства жилое помещение, содержащего одно из условий привлечения денежных средств участников долевого строительства, установленных пунктом 5 части 4 статьи 4 Федерального закона "Об участии в долевом строительстве многоквартирных домов и иных объектов недвижимости и о внесении изменений в некоторые законодательные акты Российской Федерации", уплаты цены договора уступки прав требований по указанному договору участия в долевом строительстве;
в) порядок отчуждения собственником или безвозмездной передачи нанимателем занимаемого ими и членами их семей жилого помещения, признанного ветхим и аварийным жильем, в собственность субъекта Российской Федерации или муниципального образования, на территории которого расположено такое жилое помещение.
(п. 6(1) введен Постановлением Правительства РФ от 20.06.2022 N 1104)
7. Субсидии предоставляются в пределах лимитов бюджетных обязательств, доведенных до Министерства строительства и жилищно-коммунального хозяйства Российской Федерации как получателя бюджетных средств, на цели, указанные в пункте 1 настоящих Правил.
(в ред. Постановления Правительства РФ от 06.02.2023 N 165)
(см. текст в предыдущей редакции)
8. Субсидия предоставляется при соблюдении следующих условий:
а) наличие нормативного правового акта субъекта Российской Федерации, утверждающего перечень мероприятий (результатов), при реализации которых возникают расходные обязательства субъекта Российской Федерации, в целях софинансирования которых предоставляется субсидия;
(в ред. Постановления Правительства РФ от 06.02.2023 N 165)
(см. текст в предыдущей редакции)
б) наличие в бюджете субъекта Российской Федерации бюджетных ассигнований на исполнение расходного обязательства субъекта Российской Федерации по финансовому обеспечению мероприятий, указанных в пункте 2 настоящих Правил, софинансирование которого осуществляется из федерального бюджета, в объеме, необходимом для его исполнения;
(см. текст в предыдущей редакции)
в) заключение соглашения о предоставлении субсидии в соответствии с пунктом 10 Правил формирования, предоставления и распределения субсидий из федерального бюджета бюджетам субъектов Российской Федерации, утвержденных постановлением Правительства Российской Федерации от 30 сентября 2014 г. N 999 "О формировании, предоставлении и распределении субсидий из федерального бюджета бюджетам субъектов Российской Федерации" (далее - Правила формирования, предоставления и распределения субсидий из федерального бюджета бюджетам субъектов Российской Федерации).
(в ред. Постановления Правительства РФ от 06.02.2023 N 165)
(см. текст в предыдущей редакции)
8(1). Критерием отбора субъекта Российской Федерации является наличие на его территории ветхого и аварийного жилья.
(п. 8(1) введен Постановлением Правительства РФ от 06.02.2023 N 165)
9. Адресное (пообъектное) распределение субсидий по объектам капитального строительства, в целях софинансирования строительства (реконструкции) которых предоставляется субсидия, определяется в соответствии с пунктом 5 Правил формирования, предоставления и распределения субсидий из федерального бюджета бюджетам субъектов Российской Федерации (далее - адресное (пообъектное) распределение). Для включения объектов в адресное (пообъектное) распределение или внесения в адресное (пообъектное) распределение изменений высший исполнительный орган субъекта Российской Федерации направляет в Министерство строительства и жилищно-коммунального хозяйства Российской Федерации в отношении каждого такого объекта следующие документы и сведения:
(см. текст в предыдущей редакции)
а) наименование объекта капитального строительства;
б) мощность объекта капитального строительства, подлежащего вводу в эксплуатацию;
г) размер потребности в средствах федерального бюджета на финансовое обеспечение строительства жилого помещения - объекта капитального строительства;
(в ред. Постановления Правительства РФ от 06.02.2023 N 165)
(см. текст в предыдущей редакции)
д) копия положительного заключения государственной экспертизы проектной документации и результатов инженерных изысканий, выполненных для подготовки указанной проектной документации в (в случае если проведение такой экспертизы в соответствии с законодательством Российской Федерации является обязательным). В проектной документации по объектам капитального строительства, реализуемым на территории Дальневосточного федерального округа, необходимо предусматривать перечень мероприятий и затраты по привлечению студенческих строительных отрядов;
(в ред. Постановления Правительства РФ от 05.08.2024 N 1053)
(см. текст в предыдущей редакции)
е) документы об утверждении проектной документации в соответствии с законодательством Российской Федерации (в случае, если в соответствии с законодательством Российской Федерации подготовка проектной документации является обязательной);
ж) копия положительного заключения о достоверности определения сметной стоимости объекта капитального строительства;
(в ред. Постановления Правительства РФ от 30.01.2019 N 62)
(см. текст в предыдущей редакции)
з) утратил силу. - Постановление Правительства РФ от 06.02.2023 N 165;
(см. текст в предыдущей редакции)
и) копии документов, подтверждающих направление средств бюджета субъекта Российской Федерации и (или) местного бюджета, заемных и других средств на финансовое обеспечение строительства жилого помещения - объекта капитального строительства;
(в ред. Постановления Правительства РФ от 06.02.2023 N 165)
(см. текст в предыдущей редакции)
к) сведения, необходимые для проведения проверки инвестиционного проекта на предмет эффективности использования средств федерального бюджета, направляемых на капитальные вложения, предусмотренные Правилами проведения проверки инвестиционных проектов на предмет эффективности использования средств федерального бюджета, направляемых на капитальные вложения, утвержденными постановлением Правительства Российской Федерации от 15 марта 2023 г. N 399 "О случаях и порядке проведения проверки инвестиционных проектов на предмет эффективности использования средств федерального бюджета, направляемых на капитальные вложения, о внесении изменений в некоторые акты Правительства Российской Федерации, приостановлении действия постановления Правительства Российской Федерации от 12 августа 2008 г. N 590 и отдельных положений некоторых актов Правительства Российской Федерации, а также признании утратившими силу некоторых актов и отдельных положений некоторых актов Правительства Российской Федерации", - в случаях, определенных указанным постановлением.
(пп. "к" в ред. Постановления Правительства РФ от 05.08.2024 N 1053)
(см. текст в предыдущей редакции)
10. Утратил силу. - Постановление Правительства РФ от 14.08.2018 N 940.
(см. текст в предыдущей редакции)
10(1) - 10(2). Утратили силу. - Постановление Правительства РФ от 06.02.2023 N 165.
(см. текст в предыдущей редакции)
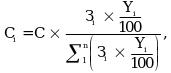
11. Размер субсидии, предоставляемой бюджету субъекта Российской Федерации, определяется по формуле:
(в ред. Постановления Правительства РФ от 06.02.2023 N 165)
(см. текст в предыдущей редакции)
Ci - размер субсидии, предоставляемой бюджету i-го субъекта Российской Федерации;
(в ред. Постановления Правительства РФ от 06.02.2023 N 165)
(см. текст в предыдущей редакции)
C - размер бюджетных ассигнований федерального бюджета на соответствующий финансовый год для предоставления субсидий;
Зi - планируемый i-м субъектом Российской Федерации общий объем бюджетных ассигнований на финансовое обеспечение мероприятий;
(в ред. Постановления Правительства РФ от 06.02.2023 N 165)
(см. текст в предыдущей редакции)
Yi - предельный уровень софинансирования расходного обязательства субъекта Российской Федерации из федерального бюджета, утверждаемый Правительством Российской Федерации в соответствии с пунктом 13 Правил формирования, предоставления и распределения субсидий из федерального бюджета бюджетам субъектов Российской Федерации;
n - число субъектов Российской Федерации, между которыми распределяются субсидии.
(в ред. Постановления Правительства РФ от 06.02.2023 N 165)
(см. текст в предыдущей редакции)
(п. 11 в ред. Постановления Правительства РФ от 31.03.2020 N 399)
(см. текст в предыдущей редакции)
11(1). В ходе исполнения федерального бюджета в распределение субсидий между субъектами Российской Федерации на текущий финансовый год могут быть внесены изменения, при которых положения пункта 11 настоящих Правил не применяются.
(п. 11(1) введен Постановлением Правительства РФ от 06.02.2023 N 165)
11(2). Не распределенный федеральным законом о федеральном бюджете на текущий финансовый год и плановый период между субъектами Российской Федерации объем субсидий в размере не более 5 процентов общего объема субсидий, утвержденного на первый год планового периода, и не более 10 процентов общего объема субсидий, утвержденного на второй год планового периода, допускается распределять при формировании федерального бюджета на очередной финансовый год и плановый период без учета положений, предусмотренных пунктом 11 настоящих Правил.
(п. 11(2) введен Постановлением Правительства РФ от 06.02.2023 N 165)
11(3). Субсидии, предусмотренные субъектам Российской Федерации на очередной финансовый год, подлежат перераспределению в случае отсутствия на 1 июля текущего финансового года документов и сведений, предусмотренных пунктом 9 настоящих Правил, по объектам капитального строительства, предусмотренным подпунктом "б" пункта 3 настоящих Правил.
Предложения по перераспределению неиспользованных бюджетных ассигнований федерального бюджета на предоставление субсидии из федерального бюджета направляются Министерством строительства и жилищно-коммунального хозяйства Российской Федерации на рассмотрение президиума (штаба) Правительственной комиссии по региональному развитию в Российской Федерации и утверждаются в порядке, установленном бюджетным законодательством Российской Федерации.
(п. 11(3) введен Постановлением Правительства РФ от 06.02.2023 N 165)
12. Субсидия предоставляется на основании соглашения между Министерством строительства и жилищно-коммунального хозяйства Российской Федерации и высшим исполнительным органом субъекта Российской Федерации, заключаемого в государственной интегрированной информационной системе управления общественными финансами "Электронный бюджет" в соответствии с типовой формой соглашения, утверждаемой Министерством финансов Российской Федерации (далее - соглашение).
(см. текст в предыдущей редакции)
12(1). В соглашении могут быть установлены различные уровни софинансирования расходного обязательства субъекта Российской Федерации из федерального бюджета по отдельным мероприятиям (объектам капитального строительства) в случае предоставления субсидий в целях софинансирования расходного обязательства субъекта Российской Федерации, предусматривающего реализацию более одного мероприятия (капитальные вложения в несколько объектов капитального строительства).
(п. 12(1) введен Постановлением Правительства РФ от 06.02.2023 N 165)
13 - 16. Утратили силу. - Постановление Правительства РФ от 06.02.2023 N 165.
(см. текст в предыдущей редакции)
17. Оценка эффективности использования субсидии осуществляется Министерством строительства и жилищно-коммунального хозяйства Российской Федерации путем сравнения фактически достигнутых и плановых значений следующих результатов использования субсидии, предусмотренных соглашением:
(см. текст в предыдущей редакции)
количество семей граждан, обеспеченных жильем путем предоставления жилых помещений или социальных выплат;
уровень технической готовности объектов капитального строительства, капитальные вложения в которые софинансируются из федерального бюджета в соответствии с подпунктом "б" пункта 3 настоящих Правил.
(в ред. Постановления Правительства РФ от 06.02.2023 N 165)
(см. текст в предыдущей редакции)
(п. 17 в ред. Постановления Правительства РФ от 30.01.2019 N 62)
(см. текст в предыдущей редакции)
18. Уполномоченные высшим исполнительным органом субъекта Российской Федерации исполнительные органы субъекта Российской Федерации представляют в порядке и сроки, установленные соглашением, в государственной интегрированной информационной системе управления общественными финансами "Электронный бюджет" отчетность об осуществлении расходов, в целях софинансирования которых предоставляется субсидия, а также о достижении значений результатов использования субсидии.
(п. 18 в ред. Постановления Правительства РФ от 05.08.2024 N 1053)
(см. текст в предыдущей редакции)
19. Объем бюджетных ассигнований, предусмотренных в бюджете субъекта Российской Федерации на исполнение расходных обязательств, в целях софинансирования которых предоставляется субсидия, может быть увеличен субъектом Российской Федерации, что не влечет обязательств по увеличению размера предоставляемой субсидии.
(п. 19 в ред. Постановления Правительства РФ от 06.02.2023 N 165)
(см. текст в предыдущей редакции)
20. Перечисление субсидий осуществляется в установленном порядке на единые счета бюджетов, открытые финансовым органам субъектов Российской Федерации в территориальных органах Федерального казначейства.
(п. 20 в ред. Постановления Правительства РФ от 06.02.2023 N 165)
(см. текст в предыдущей редакции)
21. В целях предоставления социальных выплат лицам, указанным в пункте 5 настоящих Правил, поступившие в бюджет субъекта Российской Федерации (местный бюджет) средства в размере, необходимом для предоставления социальной выплаты, перечисляются на казначейский счет для осуществления и отражения операций с денежными средствами, поступающими во временное распоряжение, открытый финансовому органу субъекта Российской Федерации (муниципального образования), с отражением указанных операций на лицевых счетах, открытых органам государственной власти субъекта Российской Федерации (органам местного самоуправления) в территориальном органе Федерального казначейства или финансовом органе субъекта Российской Федерации (финансовом органе муниципального образования) для учета операций со средствами, поступающими в соответствии с законодательством Российской Федерации во временное распоряжение получателей средств бюджетов субъектов Российской Федерации (местных бюджетов).
(в ред. Постановления Правительства РФ от 06.02.2023 N 165)
(см. текст в предыдущей редакции)
Перечисление средств с лицевых счетов, предназначенных для учета операций со средствами, поступающими во временное распоряжение получателей средств бюджета субъекта Российской Федерации (местного бюджета), осуществляется на основании представленных в территориальный орган Федерального казначейства или финансовый орган субъекта Российской Федерации (финансовый орган муниципального образования) органами государственной власти субъекта Российской Федерации (органами местного самоуправления) утвержденных указанными органами списков получателей социальных выплат с указанием размера социальной выплаты для каждого получателя.
22. Утратил силу. - Постановление Правительства РФ от 05.11.2020 N 1785.
(см. текст в предыдущей редакции)
23. Основания и порядок применения мер финансовой ответственности к субъекту Российской Федерации при невыполнении им условий соглашения (включая обязательства субъекта Российской Федерации), в том числе порядок и условия возврата средств из бюджета субъекта Российской Федерации в федеральный бюджет, установлены пунктами 16 - 19 Правил формирования, предоставления и распределения субсидий из федерального бюджета бюджетам субъектов Российской Федерации. Основания и порядок освобождения субъекта Российской Федерации от применения указанных мер финансовой ответственности установлены пунктом 20 Правил формирования, предоставления и распределения субсидий из федерального бюджета бюджетам субъектов Российской Федерации.
(п. 23 в ред. Постановления Правительства РФ от 05.08.2024 N 1053)
(см. текст в предыдущей редакции)
24. В случае нарушения целей, установленных при предоставлении субсидии, применяются бюджетные меры принуждения, предусмотренные бюджетным законодательством Российской Федерации.
(п. 24 в ред. Постановления Правительства РФ от 05.08.2024 N 1053)
(см. текст в предыдущей редакции)
25. Контроль за соблюдением субъектами Российской Федерации условий предоставления субсидий осуществляется Министерством строительства и жилищно-коммунального хозяйства Российской Федерации и уполномоченными органами государственного финансового контроля.
(п. 25 в ред. Постановления Правительства РФ от 06.02.2023 N 165)
(см. текст в предыдущей редакции)
- Гражданский кодекс (ГК РФ)
- Жилищный кодекс (ЖК РФ)
- Налоговый кодекс (НК РФ)
- Трудовой кодекс (ТК РФ)
- Уголовный кодекс (УК РФ)
- Бюджетный кодекс (БК РФ)
- Арбитражный процессуальный кодекс
- Конституция РФ
- Земельный кодекс (ЗК РФ)
- Лесной кодекс (ЛК РФ)
- Семейный кодекс (СК РФ)
- Уголовно-исполнительный кодекс
- Уголовно-процессуальный кодекс
- Производственный календарь на 2025 год
- МРОТ 2026
- ФЗ «О банкротстве»
- О защите прав потребителей (ЗОЗПП)
- Об исполнительном производстве
- О персональных данных
- О налогах на имущество физических лиц
- О средствах массовой информации
- Производственный календарь на 2026 год
- Федеральный закон "О полиции" N 3-ФЗ
- Расходы организации ПБУ 10/99
- Минимальный размер оплаты труда (МРОТ)
- Календарь бухгалтера на 2026 год
- Частичная мобилизация: обзор новостей
- Постановление Правительства РФ N 1875
