к государственной программе
Российской Федерации "Обеспечение
доступным и комфортным жильем
и коммунальными услугами граждан
Российской Федерации"
1. Настоящие Правила определяют цели, порядок и условия предоставления субсидий из федерального бюджета бюджетам субъектов Российской Федерации на софинансирование расходных обязательств субъектов Российской Федерации на компенсацию отдельным категориям граждан оплаты взноса на капитальный ремонт общего имущества в многоквартирном доме в рамках федерального проекта "Содействие субъектам Российской Федерации в реализации полномочий по оказанию государственной поддержки гражданам в обеспечении жильем и оплате жилищно-коммунальных услуг" государственной программы Российской Федерации "Обеспечение доступным и комфортным жильем и коммунальными услугами граждан Российской Федерации" (далее соответственно - компенсация оплаты взноса на капитальный ремонт, субсидии).
(см. текст в предыдущей редакции)
2. Субсидии предоставляются на софинансирование расходов субъектов Российской Федерации на компенсацию оплаты взноса на капитальный ремонт, обусловленных принятием ими на основании части 2.1 статьи 169 Жилищного кодекса Российской Федерации в соответствии с законами субъектов Российской Федерации соответствующих расходных обязательств.
3. Субсидии предоставляются в пределах лимитов бюджетных обязательств, доведенных до Министерства строительства и жилищно-коммунального хозяйства Российской Федерации, на цели, указанные в пункте 2 настоящих Правил.
(в ред. Постановления Правительства РФ от 17.10.2023 N 1725)
(см. текст в предыдущей редакции)
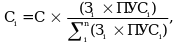
4. Размер субсидии, предоставляемой бюджету i-го субъекта Российской Федерации (Сi), определяется по формуле:
С - размер бюджетных ассигнований федерального бюджета на соответствующий финансовый год для предоставления субсидий;
Зi - потребность в бюджетных ассигнованиях на реализацию расходного обязательства i-го субъекта Российской Федерации, предусмотренного пунктом 2 настоящих Правил;
ПУСi - предельный уровень софинансирования расходного обязательства i-го субъекта Российской Федерации из федерального бюджета, утверждаемый Правительством Российской Федерации в соответствии с пунктом 13 Правил формирования, предоставления и распределения субсидий из федерального бюджета бюджетам субъектов Российской Федерации, утвержденных постановлением Правительства Российской Федерации от 30 сентября 2014 г. N 999 "О формировании, предоставлении и распределении субсидий из федерального бюджета бюджетам субъектов Российской Федерации" (далее - Правила формирования, предоставления и распределения субсидий);
(в ред. Постановления Правительства РФ от 17.10.2023 N 1725)
(см. текст в предыдущей редакции)
n - число субъектов Российской Федерации, между бюджетами которых распределяются субсидии.
(п. 4 в ред. Постановления Правительства РФ от 23.11.2018 N 1407)
(см. текст в предыдущей редакции)
5. Утратил силу. - Постановление Правительства РФ от 23.11.2018 N 1407.
(см. текст в предыдущей редакции)
6. Субсидия предоставляется при соблюдении субъектом Российской Федерации следующих условий:
а) наличие закона субъекта Российской Федерации, предусмотренного частью 2.1 статьи 169 Жилищного кодекса Российской Федерации;
б) наличие в бюджете субъекта Российской Федерации бюджетных ассигнований на исполнение расходных обязательств субъекта Российской Федерации на компенсацию оплаты взноса на капитальный ремонт в объеме, необходимом для его исполнения, включающем размер планируемой к предоставлению из федерального бюджета субсидии;
в) заключение соглашения о предоставлении субсидии в соответствии с пунктом 10 Правил формирования, предоставления и распределения субсидий.
(в ред. Постановления Правительства РФ от 17.10.2023 N 1725)
(см. текст в предыдущей редакции)
(п. 6 в ред. Постановления Правительства РФ от 23.11.2018 N 1407)
(см. текст в предыдущей редакции)
6.1. При заключении соглашения между Министерством строительства и жилищно-коммунального хозяйства Российской Федерации и субъектом Российской Федерации о предоставлении субсидии (далее - соглашение) высший исполнительный орган субъекта Российской Федерации в течение 15 календарных дней со дня заключения соглашения предоставляет Министерству строительства и жилищно-коммунального хозяйства Российской Федерации (в форме электронного документа) отчетность об исполнении условий предоставления субсидии.
(п. 6.1 введен Постановлением Правительства РФ от 23.11.2018 N 1407; в ред. Постановления Правительства РФ от 09.12.2022 N 2272)
(см. текст в предыдущей редакции)
7. Распределение субсидий между бюджетами субъектов Российской Федерации утверждается федеральным законом о федеральном бюджете на соответствующий финансовый год и плановый период.
8. Уровень софинансирования расходного обязательства субъекта Российской Федерации на компенсацию оплаты взноса на капитальный ремонт за счет субсидий устанавливается в размере предельного уровня софинансирования расходного обязательства субъекта Российской Федерации из федерального бюджета, утверждаемого Правительством Российской Федерации в соответствии с пунктом 13 Правил формирования, предоставления и распределения субсидий.
(п. 8 в ред. Постановления Правительства РФ от 23.11.2018 N 1407)
(см. текст в предыдущей редакции)
9. Предоставление субсидии осуществляется на основании соглашения. Соглашение заключается в соответствии с типовой формой соглашения, утверждаемой Министерством финансов Российской Федерации.
(п. 9 в ред. Постановления Правительства РФ от 23.11.2018 N 1407)
(см. текст в предыдущей редакции)
10. Утратил силу. - Постановление Правительства РФ от 23.11.2018 N 1407.
(см. текст в предыдущей редакции)
11. Субсидия предоставляется в случае выполнения субъектом Российской Федерации условий соглашения, заключенного в предыдущем году, за исключением случаев, если выполнение условий соглашения оказалось невозможным вследствие наступления обстоятельств непреодолимой силы (в случае, если в предыдущем году с субъектом Российской Федерации заключалось соглашение).
12. Результат использования субсидии "Обеспеченность субсидией" определяется как отношение количества граждан, получивших компенсацию оплаты взноса на капитальный ремонт, к количеству граждан, обратившихся за компенсацией оплаты взноса на капитальный ремонт, имеющих право на компенсацию оплаты взноса на капитальный ремонт.
(в ред. Постановления Правительства РФ от 31.03.2020 N 399)
(см. текст в предыдущей редакции)
13. Эффективность использования субсидии оценивается Министерством строительства и жилищно-коммунального хозяйства Российской Федерации путем сравнения фактически достигнутых и плановых значений результатов использования субсидии, установленных соглашением. При этом:
(в ред. Постановления Правительства РФ от 31.03.2020 N 399)
(см. текст в предыдущей редакции)
а) в случае если фактические значения результатов использования субсидии составляют более 90 процентов плановых значений, эффективность использования субсидии оценивается как высокая;
(в ред. Постановления Правительства РФ от 31.03.2020 N 399)
(см. текст в предыдущей редакции)
б) в случае если фактические значения результатов использования субсидии составляют от 75 процентов до 90 процентов плановых значений, эффективность использования субсидии оценивается как удовлетворительная;
(в ред. Постановления Правительства РФ от 31.03.2020 N 399)
(см. текст в предыдущей редакции)
в) в случае если фактические значения результатов использования субсидии составляют менее 75 процентов плановых значений, эффективность использования субсидии оценивается как низкая.
(в ред. Постановления Правительства РФ от 31.03.2020 N 399)
(см. текст в предыдущей редакции)
14. Высший исполнительный орган субъекта Российской Федерации ежеквартально, не позднее 15-го числа месяца, следующего за отчетным кварталом, представляет в Министерство строительства и жилищно-коммунального хозяйства Российской Федерации в порядке, установленном соглашением, отчетность об осуществлении расходов бюджета субъекта Российской Федерации, в целях софинансирования которых предоставляется субсидия, а также о достижении значений результатов использования субсидии.
(в ред. Постановлений Правительства РФ от 30.01.2019 N 62, от 31.03.2020 N 399, от 09.12.2022 N 2272)
(см. текст в предыдущей редакции)
15. Размер средств бюджета субъекта Российской Федерации (средств местного бюджета) на реализацию мероприятий, указанных в соглашении, может быть увеличен в одностороннем порядке субъектом Российской Федерации, что не влечет обязательств по увеличению размера субсидии.
16. Порядок предоставления гражданам компенсации оплаты взноса на капитальный ремонт устанавливается исполнительными органами субъектов Российской Федерации.
(в ред. Постановления Правительства РФ от 17.10.2023 N 1725)
(см. текст в предыдущей редакции)
17. Перечисление субсидий осуществляется в установленном порядке на единый счет бюджета, открытый финансовому органу субъекта Российской Федерации в территориальном органе Федерального казначейства.
(п. 17 в ред. Постановления Правительства РФ от 17.10.2023 N 1725)
(см. текст в предыдущей редакции)
18. Не использованные в текущем финансовом году остатки субсидий подлежат возврату в доход федерального бюджета исполнительными органами субъектов Российской Федерации, за которыми в соответствии с законодательными и иными нормативными правовыми актами закреплены источники доходов бюджетов субъектов Российской Федерации по возврату остатков субсидии, в соответствии с требованиями, установленными бюджетным законодательством Российской Федерации.
(в ред. Постановления Правительства РФ от 17.10.2023 N 1725)
(см. текст в предыдущей редакции)
В случае если неиспользованный остаток субсидии не перечислен в доход федерального бюджета, указанные средства подлежат взысканию в доход федерального бюджета в порядке, установленном Министерством финансов Российской Федерации.
19. Утратил силу. - Постановление Правительства РФ от 23.11.2018 N 1407.
(см. текст в предыдущей редакции)
20. Высший исполнительный орган субъекта Российской Федерации в соответствии с бюджетным законодательством Российской Федерации несет ответственность за соблюдение условий предоставления субсидии и достоверность отчетности, предоставляемой Министерству строительства и жилищно-коммунального хозяйства Российской Федерации в соответствии с пунктом 14 настоящих Правил.
(см. текст в предыдущей редакции)
21. Порядок и условия возврата средств из бюджета субъекта Российской Федерации в федеральный бюджет в случае нарушения субъектом Российской Федерации обязательств по достижению значений результата использования субсидии, установленных соглашением, а также основания для освобождения субъекта Российской Федерации от применения мер финансовой ответственности определяются в соответствии с пунктами 16 - 18 и 20 Правил формирования, предоставления и распределения субсидий.
В случае нарушения целей, установленных при предоставлении субсидии, применяются бюджетные меры принуждения, предусмотренные бюджетным законодательством Российской Федерации.
(п. 21 в ред. Постановления Правительства РФ от 17.10.2023 N 1725)
(см. текст в предыдущей редакции)
22. Контроль за соблюдением субъектами Российской Федерации целей, порядка и условий предоставления субсидий осуществляется Министерством строительства и жилищно-коммунального хозяйства Российской Федерации и уполномоченными органами государственного финансового контроля.
(в ред. Постановления Правительства РФ от 17.10.2023 N 1725)
(см. текст в предыдущей редакции)
- Гражданский кодекс (ГК РФ)
- Жилищный кодекс (ЖК РФ)
- Налоговый кодекс (НК РФ)
- Трудовой кодекс (ТК РФ)
- Уголовный кодекс (УК РФ)
- Бюджетный кодекс (БК РФ)
- Арбитражный процессуальный кодекс
- Конституция РФ
- Земельный кодекс (ЗК РФ)
- Лесной кодекс (ЛК РФ)
- Семейный кодекс (СК РФ)
- Уголовно-исполнительный кодекс
- Уголовно-процессуальный кодекс
- Производственный календарь на 2025 год
- МРОТ 2025
- ФЗ «О банкротстве»
- О защите прав потребителей (ЗОЗПП)
- Об исполнительном производстве
- О персональных данных
- О налогах на имущество физических лиц
- О средствах массовой информации
- Производственный календарь на 2026 год
- Федеральный закон "О полиции" N 3-ФЗ
- Расходы организации ПБУ 10/99
- Минимальный размер оплаты труда (МРОТ)
- Календарь бухгалтера на 2025 год
- Частичная мобилизация: обзор новостей
- Постановление Правительства РФ N 1875
