к государственной программе
Российской Федерации "Обеспечение
доступным и комфортным жильем
и коммунальными услугами граждан
Российской Федерации"
Список изменяющих документов
(введены Постановлением Правительства РФ от 03.07.2024 N 909)
1. Настоящие Правила устанавливают условия и порядок предоставления субсидий из федерального бюджета бюджетам субъектов Российской Федерации в целях софинансирования расходных обязательств субъектов Российской Федерации, возникающих при реализации мероприятий по завершению строительства (реконструкции) незавершенных объектов капитального строительства и ввода их в эксплуатацию, которые включены в федеральный реестр незавершенных объектов капитального строительства в порядке, определенном Положением о порядке формирования и ведения федерального реестра незавершенных объектов капитального строительства, составе включаемых в него сведений и порядке предоставления таких сведений, утвержденным постановлением Правительства Российской Федерации от 18 июля 2022 г. N 1295 "Об утверждении Положения о порядке формирования и ведения федерального реестра незавершенных объектов капитального строительства, составе включаемых в него сведений и порядке предоставления таких сведений", и (или) при предоставлении субсидий местным бюджетам из бюджетов субъектов Российской Федерации на указанные цели в рамках мероприятия "Сокращение количества незавершенных объектов капитального строительства, включенных в федеральный реестр незавершенных объектов капитального строительства" федерального проекта "Содействие развитию инфраструктуры субъектов Российской Федерации (муниципальных образований)" (далее соответственно - субсидия, незавершенные объекты капитального строительства, федеральный реестр).
2. Субсидии предоставляются в пределах лимитов бюджетных обязательств, доведенных до Министерства строительства и жилищно-коммунального хозяйства Российской Федерации как получателя средств федерального бюджета, на цели, указанные в пункте 1 настоящих Правил.
3. Субсидии предоставляются при соблюдении следующих условий:
а) наличие правового акта субъекта Российской Федерации, утверждающего перечень мероприятий (результатов), при реализации которых возникают расходные обязательства субъекта Российской Федерации, в целях софинансирования которых предоставляется субсидия;
б) наличие в бюджете субъекта Российской Федерации бюджетных ассигнований на исполнение расходного обязательства субъекта Российской Федерации, софинансирование которого осуществляется из федерального бюджета, в объеме, необходимом для его исполнения;
в) заключение соглашения о предоставлении субсидии из федерального бюджета бюджету субъекта Российской Федерации, заключаемого между Министерством строительства и жилищно-коммунального хозяйства Российской Федерации и высшим исполнительным органом субъекта Российской Федерации в соответствии с пунктом 10 Правил формирования, предоставления и распределения субсидий из федерального бюджета бюджетам субъектов Российской Федерации, утвержденных постановлением Правительства Российской Федерации от 30 сентября 2014 г. N 999 "О формировании, предоставлении и распределении субсидий из федерального бюджета бюджетам субъектов Российской Федерации" (далее соответственно - Правила формирования, предоставления и распределения субсидий, соглашение).
4. Критерием отбора субъектов Российской Федерации для предоставления субсидии является наличие незавершенного объекта капитального строительства в федеральном реестре, признанного таковым по основаниям, установленным статьей 55.34 Градостроительного кодекса Российской Федерации, и в отношении которого принято управленческое решение в соответствии с абзацем вторым подпункта "а" пункта 1 постановления Правительства Российской Федерации от 26 июля 2022 г. N 1333 "О последствиях включения объекта незавершенного строительства, строительство, реконструкция которого осуществлялись полностью или частично за счет средств бюджетов бюджетной системы Российской Федерации и не завершены, в федеральный реестр незавершенных объектов капитального строительства, в региональный реестр незавершенных объектов капитального строительства".
5. Отбор субъектов Российской Федерации для предоставления субсидий осуществляется на основании заявок высших исполнительных органов субъектов Российской Федерации (уполномоченных ими должностных лиц) на предоставление субсидий (далее - заявка). Форма заявки утверждается Министерством строительства и жилищно-коммунального хозяйства Российской Федерации.
Заявка содержит следующую информацию:
наименование незавершенного объекта капитального строительства;
технологические параметры незавершенного объекта капитального строительства;
сроки ввода в эксплуатацию незавершенного объекта капитального строительства;
общий размер потребности в бюджетных ассигнованиях, необходимый в целях исполнения расходных обязательств субъекта Российской Федерации, и его распределение по годам.
Организацию приема и рассмотрения заявок обеспечивает Министерство строительства и жилищно-коммунального хозяйства Российской Федерации с привлечением в установленном им порядке подведомственной организации.
Включение в заявку незавершенных объектов капитального строительства согласовывается с федеральным органом исполнительной власти, осуществляющим функции по выработке и реализации государственной политики и нормативно-правовому регулированию в соответствующей сфере деятельности.
6. Адресное (пообъектное) распределение субсидий по незавершенным объектам капитального строительства, в целях софинансирования мероприятий по завершению строительства которых предоставляются субсидии в текущем году, утверждается (определяется) в соответствии с пунктом 5 Правил формирования, предоставления и распределения субсидий.
7. При планировании направления субсидии на цели, предусмотренные пунктом 1 настоящих Правил, субъектом Российской Федерации одновременно с заявкой в отношении каждого незавершенного объекта капитального строительства предоставляются следующие документы и сведения:
а) паспорт инвестиционного проекта по форме, установленной Министерством строительства и жилищно-коммунального хозяйства Российской Федерации;
б) копия положительного заключения государственной экспертизы проектной документации, содержащего оценку достоверности определения сметной стоимости строительства незавершенных объектов капитального строительства, в случаях, установленных частью 2 статьи 8.3 Градостроительного кодекса Российской Федерации, и копия положительного заключения государственной экспертизы результатов инженерных изысканий, выполненных для подготовки такой проектной документации, если проведение инженерных изысканий является обязательным в соответствии с Градостроительным кодексом Российской Федерации (в случае если проведение такой экспертизы в соответствии с законодательством Российской Федерации является обязательным), выданных не ранее чем за 3 года до года представления заявки;
в) документы об утверждении проектной документации на завершение строительства (реконструкции) незавершенного объекта капитального строительства в соответствии с законодательством Российской Федерации;
г) выписка из Единого государственного реестра недвижимости, подтверждающая право собственности субъекта Российской Федерации на незавершенный объект капитального строительства в соответствии с Федеральным законом "О государственной регистрации недвижимости".
8. Предоставление субсидии бюджету субъекта Российской Федерации осуществляется на основании соглашения, подготавливаемого (формируемого) и заключаемого в государственной интегрированной информационной системе управления общественными финансами "Электронный бюджет" в соответствии с типовой формой соглашения, утвержденной Министерством финансов Российской Федерации.
В соглашении могут быть установлены различные уровни софинансирования расходного обязательства субъекта Российской Федерации из федерального бюджета по отдельным мероприятиям (объектам капитального строительства) в случае предоставления субсидий в целях софинансирования расходного обязательства субъекта Российской Федерации, предусматривающего реализацию более одного мероприятия (капитальные вложения в несколько объектов капитального строительства).
9. Субсидии распределяются между субъектами Российской Федерации на основании заявок в следующем порядке:
а) бюджетные ассигнования в размере до 30 процентов общего объема бюджетных ассигнований, предусмотренных на соответствующий финансовый год, распределяются между незавершенными объектами капитального строительства в соответствии с решениями президиума (штаба) Правительственной комиссии по региональному развитию в Российской Федерации;
б) не распределенные в соответствии с подпунктом "а" настоящего пункта бюджетные ассигнования распределяются между незавершенными объектами капитального строительства на основании коэффициента финансового обеспечения, определяемого по каждому незавершенному объекту капитального строительства в соответствии с пунктом 11 настоящих Правил.
10. Размер субсидии из федерального бюджета бюджетам субъектов Российской Федерации (Si) определяется по формуле:
Sобщ - общий объем бюджетных ассигнований федерального бюджета на текущий финансовый год, предусмотренных Министерству строительства и жилищно-коммунального хозяйства Российской Федерации, для предоставления субсидий из федерального бюджета бюджетам субъектов Российской Федерации, распределяемых на соответствующий год;
Pi - общая потребность субъекта Российской Федерации в бюджетных ассигнованиях, необходимых для финансового обеспечения завершения строительством незавершенных объектов капитального строительства в соответствующих финансовых годах в соответствии с коэффициентом финансового обеспечения (Ki);
Yi - предельный уровень софинансирования расходного обязательства субъекта Российской Федерации из федерального бюджета, утверждаемый Правительством Российской Федерации в соответствии с пунктом 13 Правил формирования, предоставления и распределения субсидий, процентов;
n - число субъектов Российской Федерации, между бюджетами которых распределяются субсидии.
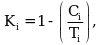
11. Коэффициент финансового обеспечения (Ki) в отношении каждого незавершенного объекта капитального строительства, включенного в заявку, определяется по формуле:
Ci - планируемый субъектом Российской Федерации общий объем бюджетных ассигнований на финансовое обеспечение незавершенных объектов капитального строительства в соответствующих финансовых годах;
Ti - общая сметная стоимость, предусмотренная для i-го незавершенного объекта капитального строительства в соответствии с заключением государственной экспертизы проектной документации, содержащим оценку достоверности определения сметной стоимости (при наличии), или предполагаемая (предельная) стоимость.
12. Субсидии распределяются субъектам Российской Федерации в соответствующем финансовом году согласно заявкам и по каждому незавершенному объекту капитального строительства в порядке убывания коэффициента финансового обеспечения.
Субсидии, предоставляемые субъектам Российской Федерации, рассчитываются как сумма субсидий, распределенных в соответствии с абзацем первым настоящего пункта, в порядке, предусмотренном пунктом 9 настоящих Правил, с учетом коэффициента финансового обеспечения.
В случае если размер субсидии, рассчитанный в отношении незавершенного объекта капитального строительства, оказывается больше остатка планируемого объема бюджетных ассигнований федерального бюджета, образовавшегося после распределения субсидий между незавершенными объектами капитального строительства, имеющими больший коэффициент финансового обеспечения, на реализацию таких незавершенных объектов капитального строительства предоставляется субсидия в размере остатка бюджетных ассигнований.
13. В ходе исполнения федерального бюджета в распределение субсидий между субъектами Российской Федерации на текущий финансовый год могут быть внесены изменения, при которых положения пункта 9 и 11 настоящих Правил не применяются.
14. Предложения по распределению субсидий между субъектами Российской Федерации рассматриваются президиумом (штабом) Правительственной комиссии по региональному развитию в Российской Федерации и утверждаются в порядке, установленном бюджетным законодательством Российской Федерации.
15. Результатом использования субсидии является завершение строительства (реконструкции) незавершенных объектов капитального строительства, включенных в федеральный реестр, и их ввод в эксплуатацию.
16. Оценка эффективности использования субсидии осуществляется Министерством строительства и жилищно-коммунального хозяйства Российской Федерации путем сравнения фактически достигнутых и плановых значений результата использования субсидии, предусмотренного соглашением.
17. Перечисление субсидий осуществляется в установленном порядке на единые счета бюджетов, открытые финансовым органам субъектов Российской Федерации в территориальных органах Федерального казначейства.
18. Порядок и условия возврата средств из бюджета субъекта Российской Федерации в федеральный бюджет в случае нарушения субъектом Российской Федерации обязательств, предусмотренных соглашением, а также основания для освобождения субъекта Российской Федерации от применения мер финансовой ответственности установлены пунктами 16 - 20 Правил формирования, предоставления и распределения субсидий.
19. Высший исполнительный орган субъекта Российской Федерации представляет в Министерство строительства и жилищно-коммунального хозяйства Российской Федерации в порядке и сроки, которые установлены соглашением, посредством государственной интегрированной информационной системы управления общественными финансами "Электронный бюджет" отчетность об осуществлении расходов бюджета субъекта Российской Федерации, в целях софинансирования которых предоставляется субсидия, а также о достижении значений результата использования субсидии.
20. Ответственность в соответствии с законодательством Российской Федерации за достоверность представляемых в Министерство строительства и жилищно-коммунального хозяйства Российской Федерации сведений, содержащихся в заявке и документах, указанных в пунктах 5 и 7 настоящих Правил, а также отчетности, указанной в пункте 19 настоящих Правил, несет высший исполнительный орган субъекта Российской Федерации.
21. В случае нарушения целей, установленных при предоставлении субсидии, применяются бюджетные меры принуждения, предусмотренные бюджетным законодательством Российской Федерации.
22. Контроль за соблюдением субъектами Российской Федерации условий предоставления субсидий осуществляется Министерством строительства и жилищно-коммунального хозяйства Российской Федерации и уполномоченными органами государственного финансового контроля.
- Гражданский кодекс (ГК РФ)
- Жилищный кодекс (ЖК РФ)
- Налоговый кодекс (НК РФ)
- Трудовой кодекс (ТК РФ)
- Уголовный кодекс (УК РФ)
- Бюджетный кодекс (БК РФ)
- Арбитражный процессуальный кодекс
- Конституция РФ
- Земельный кодекс (ЗК РФ)
- Лесной кодекс (ЛК РФ)
- Семейный кодекс (СК РФ)
- Уголовно-исполнительный кодекс
- Уголовно-процессуальный кодекс
- Производственный календарь на 2025 год
- МРОТ 2025
- ФЗ «О банкротстве»
- О защите прав потребителей (ЗОЗПП)
- Об исполнительном производстве
- О персональных данных
- О налогах на имущество физических лиц
- О средствах массовой информации
- Производственный календарь на 2026 год
- Федеральный закон "О полиции" N 3-ФЗ
- Расходы организации ПБУ 10/99
- Минимальный размер оплаты труда (МРОТ)
- Календарь бухгалтера на 2025 год
- Частичная мобилизация: обзор новостей
- Постановление Правительства РФ N 1875

