к государственной программе
Российской Федерации "Обеспечение
доступным и комфортным жильем
и коммунальными услугами граждан
Российской Федерации"
ПРАВИЛА
ПРЕДОСТАВЛЕНИЯ И РАСПРЕДЕЛЕНИЯ СУБСИДИЙ ИЗ ФЕДЕРАЛЬНОГО
БЮДЖЕТА БЮДЖЕТАМ СУБЪЕКТОВ РОССИЙСКОЙ ФЕДЕРАЦИИ, ВХОДЯЩИХ
В СОСТАВ СИБИРСКОГО И ДАЛЬНЕВОСТОЧНОГО ФЕДЕРАЛЬНЫХ ОКРУГОВ,
ДЛЯ ЗАМЕНЫ УСТАРЕВШЕГО ОТОПИТЕЛЬНОГО ОБОРУДОВАНИЯ
НА СОВРЕМЕННОЕ ЭНЕРГОЭФФЕКТИВНОЕ И ЭКОЛОГИЧЕСКИ
БЕЗОПАСНОЕ ОТОПИТЕЛЬНОЕ ОБОРУДОВАНИЕ
ОТЕЧЕСТВЕННОГО ПРОИЗВОДСТВА
ПРАВИЛА
ПРЕДОСТАВЛЕНИЯ И РАСПРЕДЕЛЕНИЯ СУБСИДИЙ ИЗ ФЕДЕРАЛЬНОГО
БЮДЖЕТА БЮДЖЕТАМ СУБЪЕКТОВ РОССИЙСКОЙ ФЕДЕРАЦИИ, ВХОДЯЩИХ
В СОСТАВ СИБИРСКОГО И ДАЛЬНЕВОСТОЧНОГО ФЕДЕРАЛЬНЫХ ОКРУГОВ,
ДЛЯ ЗАМЕНЫ УСТАРЕВШЕГО ОТОПИТЕЛЬНОГО ОБОРУДОВАНИЯ
НА СОВРЕМЕННОЕ ЭНЕРГОЭФФЕКТИВНОЕ И ЭКОЛОГИЧЕСКИ
БЕЗОПАСНОЕ ОТОПИТЕЛЬНОЕ ОБОРУДОВАНИЕ
ОТЕЧЕСТВЕННОГО ПРОИЗВОДСТВА
Список изменяющих документов
(введены Постановлением Правительства РФ от 15.12.2025 N 2040)
1. Настоящие Правила устанавливают цели, порядок и условия предоставления и распределения субсидий из федерального бюджета бюджетам субъектов Российской Федерации, входящих в состав Сибирского и Дальневосточного федеральных округов (далее - субъекты Российской Федерации), для замены устаревшего отопительного оборудования на современное энергоэффективное и экологически безопасное отопительное оборудование отечественного производства (далее - субсидии).
Субсидии предоставляются в целях софинансирования расходных обязательств субъектов Российской Федерации, возникающих при реализации мероприятий по замене отопительного оборудования на современное энергоэффективное и экологически безопасное отопительное оборудование отечественного производства, работающее на твердом топливе с высоким коэффициентом полезного действия, в рамках государственной программы Российской Федерации "Обеспечение доступным и комфортным жильем и коммунальными услугами граждан Российской Федерации".
2. В настоящих Правилах используются следующие понятия:
"домовладение" - объект индивидуального жилищного строительства или дом блокированной застройки, принадлежащие гражданину и не расположенные в населенном пункте, включенном в межрегиональные и региональные программы газификации жилищно-коммунального хозяйства, промышленных и иных организаций;
"льготные категории граждан" - граждане, являющиеся ветеранами Великой Отечественной войны, ветеранами боевых действий на территории СССР, на территории Российской Федерации и территориях других государств, инвалидами Великой Отечественной войны и инвалидами боевых действий, членами семей погибших (умерших) инвалидов Великой Отечественной войны и инвалидов боевых действий, участников Великой Отечественной войны, ветеранов боевых действий на территории СССР, на территории Российской Федерации и территориях других государств, участниками специальной военной операции и членами их семей, инвалидами I группы и лицами, осуществляющими уход за детьми-инвалидами, лицами, проживающими в местностях, приравненных к районам Крайнего Севера, одиноко проживающие граждане старше 55 лет, а также члены многодетных семей и малоимущие граждане, в том числе члены малоимущих семей с детьми;
"мероприятие" - приобретение, установка нового отопительного оборудования, демонтаж имеющегося отопительного оборудования (при необходимости), а также монтаж твердотопливного котла и внутридомовой системы отопления (при необходимости) для домовладения, осуществляемые с использованием субсидии;
"план модернизации систем отопления" - утверждаемый субъектом Российской Федерации перечень мероприятий, содержащий в том числе адреса домовладений, плановую расчетную стоимость каждого мероприятия, а также сведения о сроках реализации мероприятий и потребности в финансовом обеспечении мероприятий.
3. Субсидии предоставляются в пределах лимитов бюджетных обязательств, доведенных до Министерства строительства и жилищно-коммунального хозяйства Российской Федерации как получателя средств федерального бюджета на предоставление субсидий на цели, указанные в пункте 1 настоящих Правил.
4. Уполномоченный высшим исполнительным органом субъекта Российской Федерации исполнительный орган субъекта Российской Федерации разрабатывает и представляет на согласование в публично-правовую компанию "Фонд развития территорий" (далее - Фонд) проект плана модернизации систем отопления. В течение 20 календарных дней со дня получения проекта плана модернизации систем отопления Фонд проводит его проверку и направляет одно из следующих заключений в электронном виде в уполномоченный высшим исполнительным органом субъекта Российской Федерации исполнительный орган субъекта Российской Федерации:
а) заключение о соответствии проекта плана модернизации систем отопления форме, утвержденной Министерством строительства и жилищно-коммунального хозяйства Российской Федерации по согласованию с Фондом;
б) заключение о несоответствии проекта плана модернизации систем отопления форме, утвержденной Министерством строительства и жилищно-коммунального хозяйства Российской Федерации по согласованию с Фондом.
5. Для предоставления субсидии субъект Российской Федерации должен соответствовать следующим критериям:
представление в Министерство строительства и жилищно-коммунального хозяйства Российской Федерации подписанной высшим должностным лицом субъекта Российской Федерации либо лицом, уполномоченным им в установленном порядке, заявки на предоставление субсидии на соответствующий финансовый год и плановый период по форме и в порядке, которые утверждены Министерством строительства и жилищно-коммунального хозяйства Российской Федерации;
наличие в субъекте Российской Федерации плана модернизации систем отопления, утвержденного высшим должностным лицом субъекта Российской Федерации либо лицом, уполномоченным им в установленном порядке, по форме, утвержденной Министерством строительства и жилищно-коммунального хозяйства Российской Федерации по согласованию с Фондом;
наличие в субъекте Российской Федерации утвержденного перечня документов, необходимых для подтверждения отнесения гражданина к льготным категориям граждан, права собственности на домовладение, а также наличия отопительного оборудования, установленного в домовладении и требующего замены;
наличие заключения Фонда, указанного в подпункте "а" пункта 4 настоящих Правил.
Документы, указанные в абзацах втором - пятом настоящего пункта, представляются высшим исполнительным органом субъекта Российской Федерации в Министерство строительства и жилищно-коммунального хозяйства Российской Федерации в целях предоставления субсидии:
на 2026 год - до 19 февраля 2026 г.;
на 2027 - 2030 годы - до 1 сентября года, предшествующего году предоставления субсидии.
В случае непредставления документов, указанных в абзацах втором - пятом настоящего пункта, объем высвобождаемых средств подлежит распределению в соответствии с пунктом 11 настоящих Правил.
6. План модернизации систем отопления должен содержать 3 раздела:
первый раздел содержит информацию о домовладениях, принадлежащих льготным категориям граждан, с указанием адресов домовладений, стоимости каждого мероприятия;
второй раздел содержит информацию о домовладениях (за исключением домовладений, информация о которых содержится в первом разделе), расположенных в опорных населенных пунктах, включенных в единый перечень опорных населенных пунктов, с указанием адресов домовладений, стоимости каждого мероприятия;
третий раздел содержит информацию об иных домовладениях с указанием адресов домовладений, стоимости каждого мероприятия.
В случае если гражданин является собственником нескольких домовладений, мероприятие реализуется только в отношении одного домовладения.
В случае отсутствия потребности в реализации соответствующего раздела плана модернизации систем отопления такой раздел не заполняется.
Потребность в субсидии для реализации каждого мероприятия, включенного в план модернизации систем отопления, не может превышать 700 тыс. рублей.
Субъект Российской Федерации вправе увеличить стоимость реализации мероприятия, включенного в план модернизации систем отопления, за счет бюджетных ассигнований, предусмотренных в бюджете субъекта Российской Федерации на цели, указанные в пункте 1 настоящих Правил, в том числе в целях достижения значения результата использования субсидии, предусмотренного соглашением о предоставлении субсидии (далее - соглашение), что не влечет за собой обязательств Российской Федерации по увеличению размера предоставляемой субсидии.
7. Отопительное оборудование по мероприятию должно соответствовать следующим критериям:
а) соответствие межгосударственному стандарту ГОСТ EN 303-5-2013 "Котлы отопительные. Часть 5. Котлы отопительные для твердого топлива с ручной и автоматической загрузкой топочной камеры номинальной теплопроизводительностью до 500 кВт. Термины и определения, требования, испытания и маркировка", введенному в действие приказом Федерального агентства по техническому регулированию и метрологии от 28 марта 2024 г. N 365-ст "О введении в действие межгосударственного стандарта" с 1 апреля 2024 г., наличие коэффициента полезного действия не менее 84 процентов и обеспечение предельно допустимых выбросов угарного газа, летучих органических соединений, пыли при номинальной теплопроизводительности не выше соответственно 1000, 30 и 60 миллиграммов на куб. метр в пересчете на сухой газ при 10 процентах кислорода, подтвержденных результатами испытаний в аккредитованной испытательной лаборатории;
б) наличие в реестре российской промышленной продукции, формируемом в соответствии с постановлением Правительства Российской Федерации от 17 июля 2015 г. N 719 "О подтверждении производства российской промышленной продукции", по коду Общероссийского классификатора продукции по видам экономической деятельности 25.21.12.
8. Субсидия предоставляется при соблюдении условий, установленных абзацами вторым - четвертым пункта 8 Правил формирования, предоставления и распределения субсидий из федерального бюджета бюджетам субъектов Российской Федерации, утвержденных постановлением Правительства Российской Федерации от 30 сентября 2014 г. N 999 "О формировании, предоставлении и распределении субсидий из федерального бюджета бюджетам субъектов Российской Федерации" (далее - Правила формирования, предоставления и распределения субсидий).
9. Соглашение и дополнительные соглашения к соглашению, предусматривающие внесение изменений в соглашение или его расторжение, заключаются в форме электронного документа в государственной интегрированной информационной системе управления общественными финансами "Электронный бюджет" в соответствии с типовыми формами, утверждаемыми Министерством финансов Российской Федерации.
10. Результатом использования субсидии является количество домовладений, включенных в план модернизации систем отопления, в отношении которых реализованы мероприятия.
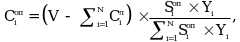
11. Размер субсидии, предоставляемой бюджету i-го субъекта Российской Федерации в соответствующем финансовом году (Ci), определяется по формуле:
- размер субсидии, предоставляемой бюджету i-го субъекта Российской Федерации, который предусмотрен для реализации мероприятий, включенных в первый раздел плана модернизации систем отопления на соответствующий год, и определяется в соответствии с пунктом 12 настоящих Правил;
- размер субсидии, предоставляемой бюджету i-го субъекта Российской Федерации, который предусмотрен для реализации мероприятий, включенных во второй раздел плана модернизации систем отопления на соответствующий год, и определяется в соответствии с пунктом 13 настоящих Правил;
- размер субсидии, предоставляемой бюджету i-го субъекта Российской Федерации, который предусмотрен для реализации мероприятий, включенных в третий раздел плана модернизации систем отопления на соответствующий год, и определяется в соответствии с пунктом 14 настоящих Правил.
12. Размер субсидии, предоставляемой бюджету i-го субъекта Российской Федерации, который предусмотрен для реализации мероприятий, включенных в первый раздел плана модернизации систем отопления на соответствующий год (
), определяется по одной из следующих формул:
V - размер бюджетных ассигнований, предусмотренных в федеральном бюджете на соответствующий финансовый год на предоставление субсидий;
- размер потребности i-го субъекта Российской Федерации в финансовом обеспечении мероприятий, включенных в первый раздел плана модернизации систем отопления на соответствующий год;
Yi - предельный уровень софинансирования расходного обязательства i-го субъекта Российской Федерации из федерального бюджета, определенный в соответствии с пунктом 13 Правил формирования, предоставления и распределения субсидий;
N - количество субъектов Российской Федерации;
13. Размер субсидии, предоставляемой бюджету i-го субъекта Российской Федерации, который предусмотрен для реализации мероприятий, включенных во второй раздел плана модернизации систем отопления на соответствующий год (
), определяется по одной из следующих формул:
где
- размер потребности i-го субъекта Российской Федерации в финансовом обеспечении мероприятий, включенных во второй раздел плана модернизации систем отопления на соответствующий год;
14. Размер субсидии, предоставляемой бюджету i-го субъекта Российской Федерации, который предусмотрен для реализации мероприятий, включенных в третий раздел плана модернизации систем отопления на соответствующий год (
), определяется по одной из следующих формул:
где
- размер потребности i-го субъекта Российской Федерации в финансовом обеспечении мероприятий, включенных в третий раздел плана модернизации систем отопления на соответствующий год;
15. Мониторинг хода реализации мероприятий осуществляется Фондом в соответствии с порядком, установленным Фондом по согласованию с Министерством строительства и жилищно-коммунального хозяйства Российской Федерации, с использованием автоматизированной информационной системы Фонда (при наличии технической возможности).
16. Оценка эффективности использования субсидии осуществляется Министерством строительства и жилищно-коммунального хозяйства Российской Федерации на основании сравнения установленного соглашением планового значения результата использования субсидии и фактически достигнутого значения результата использования субсидии в соответствующем году.
17. Субсидия предоставляется на основании соглашения, предусматривающего в том числе:
а) право Министерства строительства и жилищно-коммунального хозяйства Российской Федерации устанавливать дополнительную отчетность, сроки и формы представления субъектом Российской Федерации дополнительной отчетности;
б) условие о согласовании новых условий соглашения в случае уменьшения Министерству строительства и жилищно-коммунального хозяйства Российской Федерации как получателю средств федерального бюджета на предоставление субсидий на цели, указанные в пункте 1 настоящих Правил, ранее доведенных лимитов бюджетных обязательств, приводящего к невозможности предоставления субсидии в размере, определенном в соглашении, или о расторжении соглашения при недостижении согласия по новым условиям соглашения.
18. Перечисление субсидий осуществляется в установленном порядке на единые счета бюджетов, открытые финансовым органам субъектов Российской Федерации в территориальных органах Федерального казначейства.
19. Основания и порядок применения мер финансовой ответственности к субъекту Российской Федерации при невыполнении им условий соглашения, в том числе обязательства субъекта Российской Федерации по достижению результата использования субсидии, предусмотрены пунктами 16 - 18 Правил формирования, предоставления и распределения субсидий, основания для освобождения субъекта Российской Федерации от применения мер финансовой ответственности предусмотрены пунктом 20 Правил формирования, предоставления и распределения субсидий.
20. Высший исполнительный орган субъекта Российской Федерации в порядке и сроки, которые установлены соглашением, представляет в государственной интегрированной информационной системе управления общественными финансами "Электронный бюджет" отчетность:
а) об осуществлении расходов бюджета субъекта Российской Федерации, в целях софинансирования которых предоставляется субсидия;
б) о достижении значения результата использования субсидии.
21. Ответственность за достоверность представляемых в Министерство строительства и жилищно-коммунального хозяйства Российской Федерации и Фонд сведений возлагается на уполномоченный высшим исполнительным органом субъекта Российской Федерации исполнительный орган субъекта Российской Федерации.
22. В случае нарушения целей, установленных при предоставлении субсидий, применяются бюджетные меры принуждения, предусмотренные бюджетным законодательством Российской Федерации.
23. Контроль за соблюдением субъектами Российской Федерации условий предоставления субсидий осуществляется Министерством строительства и жилищно-коммунального хозяйства Российской Федерации и уполномоченными органами государственного финансового контроля.
- Гражданский кодекс (ГК РФ)
- Жилищный кодекс (ЖК РФ)
- Налоговый кодекс (НК РФ)
- Трудовой кодекс (ТК РФ)
- Уголовный кодекс (УК РФ)
- Бюджетный кодекс (БК РФ)
- Арбитражный процессуальный кодекс
- Конституция РФ
- Земельный кодекс (ЗК РФ)
- Лесной кодекс (ЛК РФ)
- Семейный кодекс (СК РФ)
- Уголовно-исполнительный кодекс
- Уголовно-процессуальный кодекс
- Производственный календарь на 2025 год
- МРОТ 2026
- ФЗ «О банкротстве»
- О защите прав потребителей (ЗОЗПП)
- Об исполнительном производстве
- О персональных данных
- О налогах на имущество физических лиц
- О средствах массовой информации
- Производственный календарь на 2026 год
- Федеральный закон "О полиции" N 3-ФЗ
- Расходы организации ПБУ 10/99
- Минимальный размер оплаты труда (МРОТ)
- Календарь бухгалтера на 2026 год
- Частичная мобилизация: обзор новостей
- Постановление Правительства РФ N 1875










