к государственной программе
Российской Федерации
"Развитие образования"
ПРАВИЛА
ПРЕДОСТАВЛЕНИЯ И РАСПРЕДЕЛЕНИЯ СУБСИДИЙ ИЗ ФЕДЕРАЛЬНОГО
БЮДЖЕТА БЮДЖЕТАМ СУБЪЕКТОВ РОССИЙСКОЙ ФЕДЕРАЦИИ
НА СОФИНАНСИРОВАНИЕ РАСХОДНЫХ ОБЯЗАТЕЛЬСТВ СУБЪЕКТОВ
РОССИЙСКОЙ ФЕДЕРАЦИИ, ВОЗНИКАЮЩИХ ПРИ РЕАЛИЗАЦИИ
МЕРОПРИЯТИЙ ПО БЛАГОУСТРОЙСТВУ ЗДАНИЙ ГОСУДАРСТВЕННЫХ
И МУНИЦИПАЛЬНЫХ ОБЩЕОБРАЗОВАТЕЛЬНЫХ ОРГАНИЗАЦИЙ
В ЦЕЛЯХ СОБЛЮДЕНИЯ ТРЕБОВАНИЙ К ВОЗДУШНО-ТЕПЛОВОМУ
РЕЖИМУ, ВОДОСНАБЖЕНИЮ И КАНАЛИЗАЦИИ
ПРАВИЛА
ПРЕДОСТАВЛЕНИЯ И РАСПРЕДЕЛЕНИЯ СУБСИДИЙ ИЗ ФЕДЕРАЛЬНОГО
БЮДЖЕТА БЮДЖЕТАМ СУБЪЕКТОВ РОССИЙСКОЙ ФЕДЕРАЦИИ
НА СОФИНАНСИРОВАНИЕ РАСХОДНЫХ ОБЯЗАТЕЛЬСТВ СУБЪЕКТОВ
РОССИЙСКОЙ ФЕДЕРАЦИИ, ВОЗНИКАЮЩИХ ПРИ РЕАЛИЗАЦИИ
МЕРОПРИЯТИЙ ПО БЛАГОУСТРОЙСТВУ ЗДАНИЙ ГОСУДАРСТВЕННЫХ
И МУНИЦИПАЛЬНЫХ ОБЩЕОБРАЗОВАТЕЛЬНЫХ ОРГАНИЗАЦИЙ
В ЦЕЛЯХ СОБЛЮДЕНИЯ ТРЕБОВАНИЙ К ВОЗДУШНО-ТЕПЛОВОМУ
РЕЖИМУ, ВОДОСНАБЖЕНИЮ И КАНАЛИЗАЦИИ
Список изменяющих документов
(введены Постановлением Правительства РФ от 07.12.2019 N 1618;
в ред. Постановлений Правительства РФ от 04.06.2020 N 821,
от 15.03.2021 N 385, от 24.12.2021 N 2452, от 26.09.2022 N 1693)
1. Настоящие Правила устанавливают цели, условия и порядок предоставления субсидий из федерального бюджета бюджетам субъектов Российской Федерации в целях софинансирования расходных обязательств субъектов Российской Федерации, возникающих при реализации мероприятий государственных программ субъектов Российской Федерации по благоустройству зданий государственных и муниципальных общеобразовательных организаций в целях соблюдения требований к воздушно-тепловому режиму, водоснабжению и канализации, в рамках государственной программы Российской Федерации "Развитие образования" (далее - здания, благоустройство зданий, субсидии).
2. В настоящих Правилах под "благоустройством зданий" следует понимать реализацию следующих мероприятий:
а) проведение капитального ремонта зданий, включая приобретение сопутствующих товаров (работ, услуг), в целях соблюдения требований к воздушно-тепловому режиму, водоснабжению и канализации, предусмотренных санитарными правилами СП 2.4.3648-20 "Санитарно-эпидемиологические требования к организациям воспитания и обучения, отдыха и оздоровления детей и молодежи";
(в ред. Постановления Правительства РФ от 15.03.2021 N 385)
(см. текст в предыдущей редакции)
б) проведение текущего ремонта зданий, включая приобретение сопутствующих товаров (работ, услуг), в целях соблюдения требований к воздушно-тепловому режиму, водоснабжению и канализации, предусмотренных санитарными правилами СП 2.4.3648-20 "Санитарно-эпидемиологические требования к организациям воспитания и обучения, отдыха и оздоровления детей и молодежи";
(в ред. Постановления Правительства РФ от 15.03.2021 N 385)
(см. текст в предыдущей редакции)
в) проведение капитального ремонта отдельных зданий с наибольшей степенью физического износа, в которых соблюдение требований к воздушно-тепловому режиму, водоснабжению и канализации, предусмотренных санитарными правилами СП 2.4.3648-20 "Санитарно-эпидемиологические требования к организациям воспитания и обучения, отдыха и оздоровления детей и молодежи", возможно только путем проведения комплексного капитального ремонта.
(в ред. Постановления Правительства РФ от 15.03.2021 N 385)
(см. текст в предыдущей редакции)
3. Субсидии предоставляются в целях софинансирования расходных обязательств субъектов Российской Федерации, возникающих при реализации мероприятий по благоустройству зданий.
4. Субсидии предоставляются в пределах лимитов бюджетных обязательств, доведенных до Министерства просвещения Российской Федерации как получателя средств федерального бюджета на предоставление субсидий на цели, предусмотренные пунктом 3 настоящих Правил.
5. Субсидии предоставляются при условии:
а) наличия государственной программы субъекта Российской Федерации и (или) муниципальных программ, утверждающих перечень мероприятий по благоустройству зданий, в целях софинансирования которых предоставляется субсидия, в соответствии с требованиями нормативных правовых актов Российской Федерации;
б) наличия в бюджете субъекта Российской Федерации бюджетных ассигнований на исполнение расходного обязательства субъекта Российской Федерации, софинансирование которого осуществляется из федерального бюджета, в объеме, необходимом для его исполнения, включающем размер планируемой к предоставлению из федерального бюджета субсидии, а также порядка определения объемов указанных ассигнований, если иное не установлено актами Президента Российской Федерации или Правительства Российской Федерации;
в) заключения соглашения о предоставлении субсидии из федерального бюджета бюджету субъекта Российской Федерации в соответствии с пунктом 10 Правил формирования, предоставления и распределения субсидий из федерального бюджета бюджетам субъектов Российской Федерации, утвержденных постановлением Правительства Российской Федерации от 30 сентября 2014 г. N 999 "О формировании, предоставлении и распределении субсидий из федерального бюджета бюджетам субъектов Российской Федерации" (далее соответственно - соглашение, Правила формирования, предоставления и распределения субсидий).
6. Субсидии предоставляются бюджетам субъектов Российской Федерации, отвечающим следующим критериям:
а) наличие на территории субъекта Российской Федерации зданий, нуждающихся в благоустройстве;
б) обязательство завершить работы, выполняемые в рамках мероприятий по благоустройству зданий, до 31 декабря года, в котором получена субсидия;
в) наличие перечня мероприятий по благоустройству зданий, включающего мероприятия, обеспечивающие доведение до 100 процентов числа зданий, в которых выполнены указанные мероприятия.
7. Объем бюджетных ассигнований, предусмотренных в бюджетах субъектов Российской Федерации на исполнение расходных обязательств, в целях софинансирования которых предоставляется субсидия, может быть увеличен в одностороннем порядке со стороны субъекта Российской Федерации, что не влечет обязательств по увеличению размера субсидии.
Допускается возможность установления в соглашении различных уровней софинансирования расходного обязательства субъекта Российской Федерации из федерального бюджета по отдельным мероприятиям в случае предоставления субсидии в целях софинансирования расходного обязательства субъекта Российской Федерации, предусматривающего реализацию более одного мероприятия.
(абзац введен Постановлением Правительства РФ от 15.03.2021 N 385)
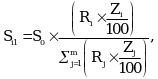
8. Размер субсидии, предоставляемой i-му субъекту Российской Федерации (Si), определяется в 2 этапа по формуле:
Si1 - определяемый на 1-м этапе размер субсидии, предоставляемой бюджету i-го субъекта Российской Федерации на реализацию мероприятий, предусмотренных подпунктами "а" и "б" пункта 2 настоящих Правил;
Si2 - определяемый на 2-м этапе размер субсидии, предоставляемой бюджету i-го субъекта Российской Федерации на реализацию мероприятия, предусмотренного подпунктом "в" пункта 2 настоящих Правил.
Распределение субсидий между субъектами Российской Федерации на очередной финансовый год и плановый период осуществляется пропорционально размерам средств, запрашиваемых субъектами Российской Федерации на основании заявок, прошедших отбор.
9. На 1-м этапе проводится расчет размера части субсидии, предоставляемой бюджету i-го субъекта Российской Федерации, заявка которого прошла отбор, на реализацию мероприятий, предусмотренных подпунктами "а" и "б" пункта 2 настоящих Правил (Si1), по формуле:
Ri - расчетная стоимость реализации мероприятий, предусмотренных подпунктами "а" и "б" пункта 2 настоящих Правил, в i-м субъекте Российской Федерации согласно прошедшей отбор заявке;
Zi - предельный уровень софинансирования из федерального бюджета расходного обязательства i-го субъекта Российской Федерации, определенный в соответствии с пунктом 13 Правил формирования, предоставления и распределения субсидий.
10. В случае если суммарный размер субсидий, предоставляемых бюджетам субъектов Российской Федерации на реализацию мероприятий, предусмотренных подпунктами "а" и "б" пункта 2 настоящих Правил, в рамках прошедших отбор заявок, больше (или равен) размера средств, предусмотренного федеральным законом о федеральном бюджете на предоставление субсидий, то размер части субсидии, предоставляемой бюджету i-го субъекта Российской Федерации (Si1), определяется по формуле:
S0 - размер средств федерального бюджета, предусмотренных на предоставление субсидий;
m - число субъектов Российской Федерации, заявки которых прошли отбор.
11. В случае если суммарный размер субсидий, предоставляемых бюджетам субъектов Российской Федерации на реализацию мероприятий, предусмотренных подпунктами "а" и "б" пункта 2 настоящих Правил, в рамках прошедших отбор заявок, меньше размера средств, предусмотренного федеральным законом о федеральном бюджете на предоставление субсидий, проводится 2-й этап расчета.
На 2-м этапе проводится расчет размера части субсидии, предоставляемой бюджету i-го субъекта Российской Федерации, заявка которого прошла отбор, на реализацию мероприятия, предусмотренного подпунктом "в" пункта 2 настоящих Правил (Si2), по формуле:
ni - количество зданий i-го субъекта Российской Федерации, при осуществлении капитального ремонта которых возникают расходные обязательства субъекта Российской Федерации, в целях софинансирования которых предоставляется субсидия, определяемое в соответствии с пунктом 13 настоящих Правил, но не превышающее число зданий в рамках государственной программы субъекта Российской Федерации по прошедшей отбор заявке i-го субъекта Российской Федерации;
k - порядковый номер здания по прошедшей отбор заявке i-го субъекта Российской Федерации;
Si2k - размер субсидии, предоставляемой бюджету i-го субъекта Российской Федерации на реализацию мероприятия, предусмотренного подпунктом "в" пункта 2 настоящих Правил, в отношении k-го здания в рамках государственной программы субъекта Российской Федерации по прошедшей отбор заявке.
При этом в случае если предельный уровень софинансирования расходного обязательства i-го субъекта Российской Федерации (Zi), определенный в соответствии с пунктом 13 Правил формирования, предоставления и распределения субсидий, меньше (или равен) 55 процентов, размеру субсидии, предоставляемой бюджету i-го субъекта Российской Федерации на реализацию мероприятия, предусмотренного подпунктом "в" пункта 2 настоящих Правил, присваивается значение, равное нулю.
12. Размер субсидии, предоставляемой бюджету i-го субъекта Российской Федерации на реализацию мероприятия, предусмотренного подпунктом "в" пункта 2 настоящих Правил, в отношении k-го здания в рамках государственной программы субъекта Российской Федерации по прошедшей отбор заявке (Si2k), определяется по формуле:
Pik - расчетная стоимость капитального ремонта k-го здания из зданий, прошедших отбор в заявке i-го субъекта Российской Федерации;
Zi - предельный уровень софинансирования из федерального бюджета расходного обязательства i-го субъекта Российской Федерации, определяемый в соответствии с пунктом 13 Правил формирования, предоставления и распределения субсидий.
13. Количество зданий i-го субъекта Российской Федерации, при осуществлении капитального ремонта которых возникают расходные обязательства субъекта Российской Федерации, в целях софинансирования которых предоставляется субсидия (ni), определяется посредством увеличения значения на 1 единицу каждому субъекту Российской Федерации последовательно по перечню субъектов Российской Федерации, указанному в пункте 15 настоящих Правил, начиная с нулевого значения, до достижения значения, при котором суммарный размер части субсидии, предоставляемой бюджетам субъектов Российской Федерации на реализацию мероприятия, предусмотренного подпунктом "в" пункта 2 настоящих Правил
, станет больше (или равен) размера средств, предусмотренного на предоставление субсидий на реализацию мероприятия, предусмотренного подпунктом "в" пункта 2 настоящих Правил (S02), определяемого по формуле:
S0 - размер средств федерального бюджета, предусмотренных на предоставление субсидий на цели, предусмотренные пунктом 3 настоящих Правил, в соответствующем финансовом году;
Si1 - размер субсидии, предоставляемый бюджету i-го субъекта Российской Федерации, заявка которого прошла отбор, на реализацию мероприятий, предусмотренных подпунктами "а" и "б" пункта 2 настоящих Правил;
m - количество субъектов Российской Федерации, заявки которых прошли отбор.
14. В случае если суммарный размер субсидий, предоставляемых бюджетам субъектов Российской Федерации на реализацию мероприятия, предусмотренного подпунктом "в" пункта 2 настоящих Правил, больше (или равен) размера средств, предусмотренного на предоставление субсидий на реализацию мероприятия, предусмотренного подпунктом "в" пункта 2 настоящих Правил (S02), то размер субсидии, предоставляемой бюджету i-го субъекта Российской Федерации, определяется по формуле:
S02 - размер средств федерального бюджета, предусмотренных на предоставление субсидий на реализацию мероприятия, предусмотренного подпунктом "в" пункта 2 настоящих Правил, определяемый в соответствии с пунктом 13 настоящих Правил;
n - количество зданий, капитальный ремонт которых софинансируется из федерального бюджета, определяемое в соответствии с пунктом 13 настоящих Правил;
Si2k - размер субсидии, предоставляемой бюджету i-го субъекта Российской Федерации на реализацию мероприятия, предусмотренного подпунктом "в" пункта 2 настоящих Правил, в отношении k-го здания в рамках государственной программы субъекта Российской Федерации по прошедшей отбор заявке, определяемый в соответствии с пунктом 12 настоящих Правил;
m - количество субъектов Российской Федерации, заявки которых прошли отбор;
15. В целях определения очередности получения субсидии формируется перечень субъектов Российской Федерации, которые отвечают критериям, предусмотренным пунктом 6 настоящих Правил.
Указанный перечень формируется в порядке убывания на основании потребности субъектов Российской Федерации в проведении благоустройства зданий в соответствии с данными федерального статистического наблюдения N ОО-2 "Сведения о материально-технической и информационной базе, финансово-экономической деятельности общеобразовательной организации", а именно данными о количестве зданий, требующих капитального ремонта.
Субъект Российской Федерации, прошедший отбор, определяет в своей заявке очередность (приоритетность) зданий, требующих благоустройства.
В целях изменения сведений о зданиях, требующих благоустройства, уполномоченный исполнительный орган субъекта Российской Федерации направляет в Министерство просвещения Российской Федерации ходатайство о внесении изменений в представленную субъектом Российской Федерации заявку.
(в ред. Постановления Правительства РФ от 26.09.2022 N 1693)
(см. текст в предыдущей редакции)
При этом субъект Российской Федерации в ходатайстве о внесении изменений в представленную им заявку должен гарантировать без увеличения размера субсидии:
размер расчетной стоимости благоустройства зданий не менее размера, указанного в прошедшей отбор заявке;
достижение установленных соглашением значений результата использования субсидии.
При этом виды и объемы работ при выполнении комплексного капитального ремонта определяются индивидуально техническим заказчиком (субъектом Российской Федерации) по результатам технического обследования здания (заключение по обследованию технического состояния здания) и могут включать полный перечень работ всех разделов проектно-сметной документации в соответствии с постановлением Правительства Российской Федерации от 16 февраля 2008 г. N 87 "О составе разделов проектной документации и требованиях к их содержанию", в том числе в случае прокладки (замены) внутриплощадочных инженерных сетей допускается выполнение работ по благоустройству территории, монтажу малых архитектурных форм и наружному электроосвещению на участке проведения работ, за исключением выполнения работ, не связанных с приведением здания в соответствие с санитарными правилами СП 2.4.3648-20 "Санитарно-эпидемиологические требования к организациям воспитания и обучения, отдыха и оздоровления детей и молодежи". Не допускаются закупка и монтаж учебного оборудования, оборудования пищеблока, а также работы по комплексному благоустройству прилегающей территории, превышающие объемы восстановительных работ.
Субсидии, от получения которых субъект Российской Федерации отказался полностью или частично до заключения соглашения или в период его действия, подлежат перераспределению на реализацию региональных программ в текущем году между другими субъектами Российской Федерации, достигнувшими результатов использования субсидии в соответствии с соглашением на последнюю отчетную дату, в соответствии с настоящими Правилами и статьей 7 Федерального закона от 28 ноября 2018 г. N 457-ФЗ "О внесении изменений в Бюджетный кодекс Российской Федерации и отдельные законодательные акты Российской Федерации".
(в ред. Постановления Правительства РФ от 24.12.2021 N 2452)
(см. текст в предыдущей редакции)
(п. 15 в ред. Постановления Правительства РФ от 15.03.2021 N 385)
(см. текст в предыдущей редакции)
16. Объем бюджетных ассигнований бюджета субъекта Российской Федерации на финансовое обеспечение расходного обязательства субъекта Российской Федерации, софинансируемого из федерального бюджета, утверждается законом субъекта Российской Федерации о бюджете субъекта Российской Федерации (определяется сводной бюджетной росписью бюджета субъекта Российской Федерации) с учетом установленных соглашением значений результата использования субсидии.
17. Перечисление субсидий осуществляется в установленном порядке на единые счета бюджетов, открытые финансовым органам субъектов Российской Федерации в территориальных органах Федерального казначейства.
(п. 17 в ред. Постановления Правительства РФ от 15.03.2021 N 385)
(см. текст в предыдущей редакции)
18. Уполномоченный исполнительный орган субъекта Российской Федерации размещает в государственной интегрированной информационной системе управления общественными финансами "Электронный бюджет" отчетность по формам и в сроки, которые установлены в соглашении.
(в ред. Постановления Правительства РФ от 26.09.2022 N 1693)
(см. текст в предыдущей редакции)
19. Оценка эффективности использования субсидий осуществляется Министерством просвещения Российской Федерации на основе достижения значения результата использования субсидий - количества зданий, в которых выполнены мероприятия по благоустройству зданий.
20. В случае если субъектом Российской Федерации по состоянию на 31 декабря года предоставления субсидии допущены нарушения обязательств, предусмотренных соглашением в соответствии с подпунктом "б" пункта 10 Правил формирования, предоставления и распределения субсидий, и до первой даты представления отчетности о достижении значения результата использования субсидии в соответствии с соглашением в году, следующем за годом предоставления субсидии, указанные нарушения не устранены, размер средств, подлежащих возврату из бюджета субъекта Российской Федерации в федеральный бюджет, и срок возврата указанных средств определяются в соответствии с пунктами 16 - 19 Правил формирования, предоставления и распределения субсидий.
Освобождение субъектов Российской Федерации от применения мер ответственности, предусмотренных пунктом 16 Правил формирования, предоставления и распределения субсидий, в том числе от последующего возврата средств в доход федерального бюджета, осуществляется в соответствии с пунктом 20 Правил формирования, предоставления и распределения субсидий.
21. Контроль за соблюдением субъектами Российской Федерации условий, предусмотренных при предоставлении субсидий, осуществляется Министерством просвещения Российской Федерации и уполномоченными органами государственного финансового контроля.
(п. 21 в ред. Постановления Правительства РФ от 15.03.2021 N 385)
(см. текст в предыдущей редакции)
- Гражданский кодекс (ГК РФ)
- Жилищный кодекс (ЖК РФ)
- Налоговый кодекс (НК РФ)
- Трудовой кодекс (ТК РФ)
- Уголовный кодекс (УК РФ)
- Бюджетный кодекс (БК РФ)
- Арбитражный процессуальный кодекс
- Конституция РФ
- Земельный кодекс (ЗК РФ)
- Лесной кодекс (ЛК РФ)
- Семейный кодекс (СК РФ)
- Уголовно-исполнительный кодекс
- Уголовно-процессуальный кодекс
- Производственный календарь на 2025 год
- МРОТ 2025
- ФЗ «О банкротстве»
- О защите прав потребителей (ЗОЗПП)
- Об исполнительном производстве
- О персональных данных
- О налогах на имущество физических лиц
- О средствах массовой информации
- Производственный календарь на 2026 год
- Федеральный закон "О полиции" N 3-ФЗ
- Расходы организации ПБУ 10/99
- Минимальный размер оплаты труда (МРОТ)
- Календарь бухгалтера на 2025 год
- Частичная мобилизация: обзор новостей
- Постановление Правительства РФ N 1875





