к государственной программе
Российской Федерации
"Развитие образования"
ПРАВИЛА
ПРЕДОСТАВЛЕНИЯ И РАСПРЕДЕЛЕНИЯ СУБСИДИЙ
ИЗ ФЕДЕРАЛЬНОГО БЮДЖЕТА БЮДЖЕТАМ СУБЪЕКТОВ РОССИЙСКОЙ
ФЕДЕРАЦИИ И БЮДЖЕТУ Г. БАЙКОНУРА В ЦЕЛЯХ СОФИНАНСИРОВАНИЯ
РАСХОДНЫХ ОБЯЗАТЕЛЬСТВ СУБЪЕКТОВ РОССИЙСКОЙ ФЕДЕРАЦИИ
И Г. БАЙКОНУРА, ВОЗНИКАЮЩИХ ПРИ РЕАЛИЗАЦИИ РЕГИОНАЛЬНЫХ
ПРОЕКТОВ, ОБЕСПЕЧИВАЮЩИХ ДОСТИЖЕНИЕ ЦЕЛЕЙ, ПОКАЗАТЕЛЕЙ
И РЕЗУЛЬТАТОВ ФЕДЕРАЛЬНЫХ ПРОЕКТОВ, ВХОДЯЩИХ В СОСТАВ
НАЦИОНАЛЬНОГО ПРОЕКТА "ОБРАЗОВАНИЕ", ФЕДЕРАЛЬНОГО ПРОЕКТА
"ПРОФЕССИОНАЛИТЕТ", НЕ ВХОДЯЩЕГО В СОСТАВ НАЦИОНАЛЬНОГО
ПРОЕКТА, В РАМКАХ ГОСУДАРСТВЕННОЙ ПРОГРАММЫ РОССИЙСКОЙ
ФЕДЕРАЦИИ "РАЗВИТИЕ ОБРАЗОВАНИЯ"
ПРАВИЛА
ПРЕДОСТАВЛЕНИЯ И РАСПРЕДЕЛЕНИЯ СУБСИДИЙ
ИЗ ФЕДЕРАЛЬНОГО БЮДЖЕТА БЮДЖЕТАМ СУБЪЕКТОВ РОССИЙСКОЙ
ФЕДЕРАЦИИ И БЮДЖЕТУ Г. БАЙКОНУРА В ЦЕЛЯХ СОФИНАНСИРОВАНИЯ
РАСХОДНЫХ ОБЯЗАТЕЛЬСТВ СУБЪЕКТОВ РОССИЙСКОЙ ФЕДЕРАЦИИ
И Г. БАЙКОНУРА, ВОЗНИКАЮЩИХ ПРИ РЕАЛИЗАЦИИ РЕГИОНАЛЬНЫХ
ПРОЕКТОВ, ОБЕСПЕЧИВАЮЩИХ ДОСТИЖЕНИЕ ЦЕЛЕЙ, ПОКАЗАТЕЛЕЙ
И РЕЗУЛЬТАТОВ ФЕДЕРАЛЬНЫХ ПРОЕКТОВ, ВХОДЯЩИХ В СОСТАВ
НАЦИОНАЛЬНОГО ПРОЕКТА "ОБРАЗОВАНИЕ", ФЕДЕРАЛЬНОГО ПРОЕКТА
"ПРОФЕССИОНАЛИТЕТ", НЕ ВХОДЯЩЕГО В СОСТАВ НАЦИОНАЛЬНОГО
ПРОЕКТА, В РАМКАХ ГОСУДАРСТВЕННОЙ ПРОГРАММЫ РОССИЙСКОЙ
ФЕДЕРАЦИИ "РАЗВИТИЕ ОБРАЗОВАНИЯ"
1. Настоящие Правила устанавливают цели, порядок и условия предоставления субсидий из федерального бюджета бюджетам субъектов Российской Федерации и бюджету г. Байконура в целях софинансирования расходных обязательств субъектов Российской Федерации и г. Байконура, возникающих при реализации региональных проектов, обеспечивающих достижение целей, показателей и результатов федеральных проектов "Современная школа", "Успех каждого ребенка", "Цифровая образовательная среда", "Социальная активность", "Патриотическое воспитание граждан Российской Федерации", "Развитие системы поддержки молодежи ("Молодежь России")", входящих в состав национального проекта "Образование", федерального проекта "Профессионалитет", не входящего в состав национального проекта, в рамках государственной программы Российской Федерации "Развитие образования" (далее соответственно - расходное обязательство субъекта Российской Федерации и г. Байконура, региональный проект, федеральный проект, субсидия).
(п. 1 в ред. Постановления Правительства РФ от 01.12.2022 N 2202)
(см. текст в предыдущей редакции)
2. Субсидии предоставляются в целях достижения следующих результатов использования субсидии, значения которых устанавливаются в соглашениях о предоставлении субсидии из федерального бюджета бюджетам субъектов Российской Федерации и бюджету г. Байконура (далее - соглашения), заключаемых в соответствии с пунктом 15 настоящих Правил:
а) приобретение оборудования, расходных материалов, средств обучения и воспитания в целях создания и обеспечения функционирования центров образования естественно-научной и технологической направленностей в общеобразовательных организациях, расположенных в сельской местности и малых городах;
б) приобретение оборудования, расходных материалов, средств обучения и воспитания в целях обновления материально-технической базы общеобразовательных организаций, осуществляющих образовательную деятельность исключительно по адаптированным основным общеобразовательным программам;
в) приобретение оборудования, расходных материалов, средств обучения и воспитания в целях создания новых мест в образовательных организациях различных типов для реализации дополнительных общеразвивающих программ всех направленностей;
г) приобретение оборудования, расходных материалов, средств обучения и воспитания в целях создания детских технопарков "Кванториум";
д) приобретение оборудования, расходных материалов, средств обучения и воспитания, сопутствующих работ (услуг) в целях создания региональных центров выявления, поддержки и развития способностей и талантов у детей и молодежи;
е) приобретение товаров (работ, услуг) в целях внедрения целевой модели развития региональных систем дополнительного образования детей, утверждаемой Министерством просвещения Российской Федерации;
ж) приобретение оборудования, расходных материалов, средств обучения и воспитания для обеспечения образовательных организаций материально-технической базой для внедрения цифровой образовательной среды;
з) приобретение оборудования, расходных материалов, средств обучения и воспитания в целях создания центров цифрового образования детей;
и) утратил силу с 1 января 2023 года. - Постановление Правительства РФ от 01.12.2022 N 2202;
(см. текст в предыдущей редакции)
к) приобретение товаров (работ, услуг) в целях создания и обеспечения функционирования центров опережающей профессиональной подготовки;
л) приобретение товаров (работ, услуг) в целях реализации лучших практик в сфере добровольчества (волонтерства), реализуемых в субъектах Российской Федерации и г. Байконуре;
м) утратил силу. - Постановление Правительства РФ от 28.09.2023 N 1594;
(см. текст в предыдущей редакции)
н) утратил силу с 1 января 2023 года. - Постановление Правительства РФ от 01.12.2022 N 2202;
(см. текст в предыдущей редакции)
о) приобретение товаров (работ, услуг) в целях оснащения государственных и муниципальных общеобразовательных организаций, в том числе структурных подразделений указанных организаций, государственными символами Российской Федерации;
(пп. "о" введен Постановлением Правительства РФ от 11.04.2022 N 639)
п) приобретение товаров (работ, услуг) в целях выравнивания системы инфраструктурного обеспечения молодежной политики в субъектах Российской Федерации.
(пп. "п" введен Постановлением Правительства РФ от 01.12.2022 N 2202)
3. Результаты использования субсидии, установленные в пункте 2 настоящих Правил, в части:
а) подпунктов "а", "б" и "г" - соответствуют результатам федерального проекта "Современная школа", финансовое обеспечение которых предусмотрено по направлению расходов "Оснащение (обновление материально-технической базы) оборудованием, средствами обучения и воспитания общеобразовательных организаций, в том числе осуществляющих образовательную деятельность по адаптированным основным общеобразовательным программам";
б) подпунктов "в", "д" и "е" - соответствуют результатам федерального проекта "Успех каждого ребенка", финансовое обеспечение которых предусмотрено по направлению расходов "Оснащение (обновление материально-технической базы) оборудованием, средствами обучения и воспитания образовательных организаций различных типов для реализации дополнительных общеразвивающих программ, для создания информационных систем в образовательных организациях";
в) подпунктов "ж" и "з" - соответствуют результатам федерального проекта "Цифровая образовательная среда", финансовое обеспечение которых предусмотрено по направлению расходов "Обновление материально-технической базы образовательных организаций для внедрения цифровой образовательной среды и развития цифровых навыков обучающихся";
г) подпункта "к" - соответствуют результатам федерального проекта "Профессионалитет", не входящего в состав национального проекта;
д) подпункта "л" - соответствуют результатам федерального проекта "Социальная активность";
е) утратил силу. - Постановление Правительства РФ от 28.09.2023 N 1594;
(см. текст в предыдущей редакции)
ж) подпункта "о" - соответствуют результатам федерального проекта "Патриотическое воспитание граждан Российской Федерации";
з) подпункта "п" - соответствуют результатам федерального проекта "Развитие системы поддержки молодежи ("Молодежь России")".
(п. 3 в ред. Постановления Правительства РФ от 01.12.2022 N 2202)
(см. текст в предыдущей редакции)
3(1). Общий размер субсидии, предоставляемой бюджету i-го субъекта Российской Федерации и г. Байконура в целях софинансирования расходных обязательств субъекта Российской Федерации и г. Байконура, для достижения результатов использования субсидии, указанных в подпунктах "а" - "в" пункта 3 настоящих Правил (Vi), определяется по формулам:
а) для результата, предусмотренного подпунктом "а" пункта 3:
Siа - расчетный размер бюджетных ассигнований федерального бюджета на предоставление субсидии бюджету i-го субъекта Российской Федерации и бюджету г. Байконура в целях софинансирования расходных обязательств субъектов Российской Федерации и г. Байконура по созданию и обеспечению функционирования центров образования естественно-научной и технологической направленностей в общеобразовательных организациях, расположенных в сельской местности и малых городах;
Siб - расчетный размер бюджетных ассигнований федерального бюджета на предоставление субсидии бюджету i-го субъекта Российской Федерации и бюджету г. Байконура в целях софинансирования расходных обязательств субъектов Российской Федерации и г. Байконура по обновлению материально-технической базы в организациях, осуществляющих образовательную деятельность исключительно по адаптированным основным общеобразовательным программам;
Sir - расчетный размер бюджетных ассигнований федерального бюджета на предоставление субсидии бюджету i-го субъекта Российской Федерации и бюджету г. Байконура в целях софинансирования расходных обязательств субъектов Российской Федерации и г. Байконура по созданию детских технопарков "Кванториум";
б) для результата, предусмотренного подпунктом "б" пункта 3:
Siв - расчетный размер бюджетных ассигнований федерального бюджета на предоставление субсидии бюджету i-го субъекта Российской Федерации и бюджету г. Байконура в целях софинансирования расходных обязательств субъектов Российской Федерации и г. Байконура по созданию новых мест в образовательных организациях различных типов для реализации дополнительных общеразвивающих программ всех направленностей;
Siд - расчетный размер бюджетных ассигнований федерального бюджета на предоставление субсидии бюджету i-го субъекта Российской Федерации и бюджету г. Байконура в целях софинансирования расходных обязательств субъектов Российской Федерации и г. Байконура по созданию центров выявления и поддержки одаренных детей;
Siз - расчетный размер бюджетных ассигнований федерального бюджета на предоставление субсидии бюджету i-го субъекта Российской Федерации и бюджету г. Байконура в целях софинансирования расходных обязательств субъектов Российской Федерации и г. Байконура по формированию современных управленческих и организационно-экономических механизмов в системе дополнительного образования детей в субъектах Российской Федерации;
в) для результата, предусмотренного подпунктом "в" пункта 3:
Siи - расчетный размер бюджетных ассигнований федерального бюджета на предоставление субсидии бюджету i-го субъекта Российской Федерации и бюджету г. Байконура в целях софинансирования расходных обязательств субъектов Российской Федерации и г. Байконура по обеспечению образовательных организаций материально-технической базой для внедрения цифровой образовательной среды;
Siк - расчетный размер бюджетных ассигнований федерального бюджета на предоставление субсидии бюджету i-го субъекта Российской Федерации и бюджету г. Байконура в целях софинансирования расходных обязательств субъектов Российской Федерации и г. Байконура по созданию центров цифрового образования детей.
(п. 3(1) введен Постановлением Правительства РФ от 01.12.2022 N 2202)
4. Требованиями к результатам использования субсидии, установленным в пункте 2 настоящих Правил, являются:
а) в части подпунктов "а" - "г", "ж" и "з" - приобретение оборудования, расходных материалов, средств обучения и воспитания, комплектуемых в соответствии с методическими рекомендациями Министерства просвещения Российской Федерации, размещаемыми на официальном сайте Министерства в информационно-телекоммуникационной сети "Интернет" (далее - методические рекомендации);
(в ред. Постановления Правительства РФ от 28.09.2023 N 1594)
(см. текст в предыдущей редакции)
б) в части подпунктов "д" и "к" - приобретение наборов оборудования и мебели, в том числе средств обучения и воспитания, комплектуемых в соответствии с методическими рекомендациями, и (или) оказание сопутствующих услуг (выполнение работ) в целях достижения результатов использования субсидии, в том числе проведение ремонтных работ по подготовке помещений в соответствии с методическими рекомендациями;
(в ред. Постановления Правительства РФ от 01.12.2022 N 2202)
(см. текст в предыдущей редакции)
в) в части подпункта "е" - приобретение товаров (работ, услуг), обеспечивающих внедрение целевой модели развития региональных систем дополнительного образования детей, утверждаемой Министерством просвещения Российской Федерации;
г) в части подпункта "л" - приобретение товаров (работ, услуг), обеспечивающих реализацию лучших практик в сфере добровольчества (волонтерства), утвержденных решением Экспертной комиссии по оценке заявок на участие во Всероссийском конкурсе лучших региональных практик поддержки волонтерства "Регион добрых дел", порядок формирования и осуществления деятельности которой установлен Федеральным агентством по делам молодежи;
д) утратил силу с 1 января 2023 года. - Постановление Правительства РФ от 01.12.2022 N 2202;
(см. текст в предыдущей редакции)
е) в части подпункта "о" - приобретение товаров (работ, услуг), обеспечивающих оснащение государственных и муниципальных общеобразовательных организаций, в том числе структурных подразделений указанных организаций, государственными символами Российской Федерации в соответствии с методическими рекомендациями;
(пп. "е" введен Постановлением Правительства РФ от 11.04.2022 N 639)
ж) в части подпункта "п" - приобретение товаров (работ, услуг), обеспечивающих реализацию лучших программ субъектов Российской Федерации и г. Байконура в сфере комплексного развития инфраструктуры молодежной политики, утвержденных протоколом заседаний Экспертной комиссии по оценке заявок на участие во Всероссийском конкурсе программ комплексного развития молодежной политики в субъектах Российской Федерации "Регион для молодых", порядок формирования и осуществления деятельности которой установлен Федеральным агентством по делам молодежи.
(пп. "ж" введен Постановлением Правительства РФ от 01.12.2022 N 2202)
5. Субсидии предоставляются при соблюдении следующих условий:
а) наличие правовых актов субъекта Российской Федерации и г. Байконура, утверждающих перечень мероприятий (результатов), при реализации которых возникает расходное обязательство субъекта Российской Федерации и г. Байконура, в целях софинансирования которых предоставляются субсидии, в соответствии с требованиями нормативных правовых актов Российской Федерации;
(в ред. Постановления Правительства РФ от 01.12.2022 N 2202)
(см. текст в предыдущей редакции)
б) наличие в бюджете субъекта Российской Федерации и бюджете г. Байконура бюджетных ассигнований на исполнение расходного обязательства субъекта Российской Федерации и г. Байконура, софинансирование которого осуществляется из федерального бюджета, в объеме, необходимом для его исполнения, включающем размер планируемой к предоставлению из федерального бюджета субсидии, если иное не установлено актами Президента Российской Федерации или Правительства Российской Федерации;
(в ред. Постановления Правительства РФ от 28.09.2023 N 1594)
(см. текст в предыдущей редакции)
в) заключение соглашения о предоставлении субсидии в соответствии с пунктом 10 Правил формирования, предоставления и распределения субсидий из федерального бюджета бюджетам субъектов Российской Федерации, утвержденных постановлением Правительства Российской Федерации от 30 сентября 2014 г. N 999 "О формировании, предоставлении и распределении субсидий из федерального бюджета бюджетам субъектов Российской Федерации" (далее - Правила формирования, предоставления и распределения субсидий).
6. Субсидии предоставляются в пределах лимитов бюджетных обязательств, доведенных:
до Министерства просвещения Российской Федерации как получателя средств федерального бюджета на предоставление субсидии в целях достижения результатов использования субсидии, указанных в подпунктах "а" - "к" и "о" пункта 2 настоящих Правил;
(см. текст в предыдущей редакции)
до Федерального агентства по делам молодежи как получателя средств федерального бюджета на предоставление субсидии в целях достижения результатов использования субсидии, указанных в подпунктах "л" и "п" пункта 2 настоящих Правил.
(в ред. Постановления Правительства РФ от 01.12.2022 N 2202)
(см. текст в предыдущей редакции)
7. Отбор субъектов Российской Федерации и г. Байконура для предоставления субсидии осуществляется с учетом подпункта "в" пункта 4 Правил формирования, предоставления и распределения субсидий, исходя из следующих критериев:
а) потребность в обеспечении необходимого уровня развития системы образования субъекта Российской Федерации и г. Байконура в целях достижения результатов использования субсидии, указанных в пункте 2 настоящих Правил, с учетом статистических показателей, в том числе опыта выполнения в субъекте Российской Федерации и г. Байконуре масштабных программ и проектов в сфере образования, а также кадрового потенциала субъекта Российской Федерации и г. Байконура различного уровня по видам образования;
б) наличие в субъекте Российской Федерации и г. Байконуре утвержденных в установленном порядке паспортов региональных проектов (проектов паспортов региональных проектов), обеспечивающих достижение целей, показателей и результатов федеральных проектов;
(в ред. Постановления Правительства РФ от 28.09.2023 N 1594)
(см. текст в предыдущей редакции)
в) централизация закупок в порядке, определенном частью 7 статьи 26 Федерального закона "О контрактной системе в сфере закупок товаров, работ, услуг для обеспечения государственных и муниципальных нужд".
8. Отбор субъектов Российской Федерации и г. Байконура для предоставления субсидии в целях достижения результата использования субсидии, указанного в подпункте "п" пункта 2 настоящих Правил, дополнительно к критериям, установленным пунктом 7 настоящих Правил, осуществляется исходя из критериев, установленных положением о проведении Всероссийского конкурса программ комплексного развития молодежной политики в субъектах Российской Федерации "Регион для молодых".
(п. 8 в ред. Постановления Правительства РФ от 01.12.2022 N 2202)
(см. текст в предыдущей редакции)
9. Субъекты Российской Федерации и г. Байконур, соответствующие критериям, установленным пунктами 7 и 8 настоящих Правил, представляют заявки:
а) в Министерство просвещения Российской Федерации для участия в порядке, установленном Министерством, в отборе на предоставление субсидии в целях достижения результатов использования субсидии, установленных в подпунктах "а" - "к" и "о" пункта 2 настоящих Правил;
(см. текст в предыдущей редакции)
б) в Федеральное агентство по делам молодежи для участия в порядке, установленном Агентством, в отборе на предоставление субсидии в целях достижения результатов использования субсидии, установленных в подпунктах "л" и "п" пункта 2 настоящих Правил.
(в ред. Постановления Правительства РФ от 01.12.2022 N 2202)
(см. текст в предыдущей редакции)
10. Размер субсидии, предоставляемой i-му субъекту Российской Федерации и г. Байконуру в целях софинансирования расходных обязательств субъектов Российской Федерации и г. Байконура, исполнение которых обеспечивает достижение результата использования субсидии:
а) предусмотренного подпунктом "а" пункта 2 настоящих Правил (Siа), определяется по формуле:
Sоа - общий объем бюджетных ассигнований, предусмотренных в федеральном бюджете на предоставление субсидии на соответствующий финансовый год;
Mi - число общеобразовательных организаций i-го субъекта Российской Федерации или г. Байконура, расположенных в сельской местности и малых городах, в которых запланировано в соответствующем финансовом году создание и функционирование центров образования естественно-научной и технологической направленностей;
Zi - предельный уровень софинансирования из федерального бюджета расходного обязательства i-го субъекта Российской Федерации или г. Байконура, определяемый в соответствии с пунктом 13(1.1) Правил формирования, предоставления и распределения субсидий;
mа - число субъектов Российской Федерации и г. Байконур - получателей субсидии в соответствующем финансовом году;
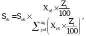
б) предусмотренного подпунктом "б" пункта 2 настоящих Правил (Siб), определяется по формуле:
Sоб - объем средств федерального бюджета, предусмотренных на предоставление субсидии в целях достижения результата использования субсидии;
Xiб - определяемое в соответствии с пунктом 12 настоящих Правил количество организаций, осуществляющих образовательную деятельность исключительно по адаптированным основным общеобразовательным программам в i-м субъекте Российской Федерации или г. Байконуре, оснащение которых запланировано в соответствующем финансовом году;
mб - число субъектов Российской Федерации и г. Байконур - получателей субсидии в соответствующем финансовом году;
в) предусмотренного подпунктом "в" пункта 2 настоящих Правил (Siв), определяется по формуле:
Sов - объем средств федерального бюджета, предусмотренных на предоставление субсидии в целях достижения результата использования субсидии на соответствующий финансовый год;
Di - определяемое в соответствии с пунктом 12 настоящих Правил количество новых мест в образовательных организациях различных типов для реализации дополнительных общеразвивающих программ всех направленностей, запланированных к созданию в i-м субъекте Российской Федерации или г. Байконуре в соответствующем финансовом году;
mв - число субъектов Российской Федерации и г. Байконур - получателей субсидии в соответствующем финансовом году;
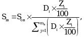
г) предусмотренного подпунктом "г" пункта 2 настоящих Правил (Siг), определяется по формуле:
Sог - объем средств федерального бюджета, предусмотренных на предоставление субсидии в целях достижения результата использования субсидии на соответствующий финансовый год;
Qi - количество детских технопарков "Кванториум", запланированных к созданию в i-м субъекте Российской Федерации или г. Байконуре в соответствующем финансовом году, определяемое в соответствии с пунктом 12 настоящих Правил;
mг - число субъектов Российской Федерации и г. Байконур - получателей субсидии в соответствующем финансовом году;
д) предусмотренного подпунктом "д" пункта 2 настоящих Правил (Siд), определяется по формуле:
Sод - объем средств федерального бюджета, предусмотренных на предоставление субсидии в целях достижения результата использования субсидии на соответствующий финансовый год;
Ci - региональный центр выявления, поддержки и развития способностей и талантов у детей и молодежи, запланированный к созданию в i-м субъекте Российской Федерации или г. Байконуре в соответствующем финансовом году, определяемый в соответствии с пунктом 13 настоящих Правил;
mд - число субъектов Российской Федерации и г. Байконур - получателей субсидии в соответствующем финансовом году.
В рамках предоставления субсидии в целях достижения указанного результата использования субсидии в одном субъекте Российской Федерации и г. Байконуре может быть создано не более одного центра выявления, поддержки и развития способностей и талантов у детей и молодежи за весь период реализации национального проекта "Образование";
е) предусмотренного подпунктом "е" пункта 2 настоящих Правил (Siз), определяется по формуле:
Sоз - объем средств федерального бюджета, предусмотренных на предоставление субсидии в целях достижения результата использования субсидии на соответствующий финансовый год;
Yi - коэффициент ресурсозатратности реализации обязательств i-го субъекта Российской Федерации или г. Байконура по внедрению целевой модели развития региональных систем дополнительного образования детей, определяемый в соответствующем финансовом году в соответствии с пунктом 13 настоящих Правил;
mз - число субъектов Российской Федерации и г. Байконур - получателей субсидии в соответствующем финансовом году;
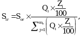
ж) предусмотренного подпунктом "ж" пункта 2 настоящих Правил (Siи), определяется по формуле:
Sои - общий объем бюджетных ассигнований, предусмотренных в федеральном бюджете на предоставление субсидии на соответствующий финансовый год;
Ni - определяемое в соответствии с пунктом 12 настоящих Правил количество образовательных организаций, в которых запланировано обновление материально-технической базы для внедрения цифровой образовательной среды в i-ом субъекте Российской Федерации или г. Байконуре в соответствующем финансовом году;
mи - число субъектов Российской Федерации и г. Байконур - получателей субсидии в соответствующем финансовом году;
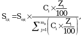
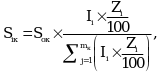
з) предусмотренного подпунктом "з" пункта 2 настоящих Правил (Siк), определяется по формуле:
Sок - объем средств федерального бюджета, предусмотренных на предоставление субсидии в целях достижения результата использования субсидии на соответствующий финансовый год;
Ii - количество центров цифрового образования детей "IT-куб", запланированных к созданию в i-м субъекте Российской Федерации или г. Байконуре в соответствующем финансовом году, определяемое в соответствии с пунктом 12 настоящих Правил;
mк - число субъектов Российской Федерации и г. Байконур - получателей субсидии в соответствующем финансовом году;
и) утратил силу с 1 января 2023 года. - Постановление Правительства РФ от 01.12.2022 N 2202;
(см. текст в предыдущей редакции)
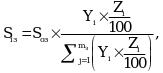
к) предусмотренного подпунктом "к" пункта 2 настоящих Правил (Siм), определяется по формуле:
Sом - объем средств федерального бюджета, предусмотренных на предоставление субсидии в целях достижения результата использования субсидии на соответствующий финансовый год;
Ei - количество центров опережающей профессиональной подготовки, запланированных к созданию в i-м субъекте Российской Федерации или г. Байконуре в соответствующем финансовом году, определяемое в соответствии с пунктом 12 настоящих Правил;
mм - число субъектов Российской Федерации и г. Байконур - получателей субсидии в соответствующем финансовом году;
л) предусмотренного подпунктом "л" пункта 2 настоящих Правил (Siн), определяется по формуле:
SОН - объем средств федерального бюджета, предусмотренных на предоставление субсидии в целях достижения результата использования субсидии на соответствующий финансовый год;
mо - число субъектов Российской Федерации и г. Байконур - получателей субсидии в соответствующем финансовом году;
Ri - коэффициент потребности i-го субъекта Российской Федерации или г. Байконура в реализации лучших практик в сфере добровольчества (волонтерства) в соответствующем финансовом году, определяемый по формуле:
Gi1 - планируемая численность граждан в очередном финансовом году, вовлеченных в волонтерскую деятельность в i-м субъекте Российской Федерации или г. Байконуре, в соответствии с заявкой субъекта Российской Федерации и г. Байконура;
Gi2 - численность граждан в отчетном финансовом году, вовлеченных в волонтерскую деятельность в i-м субъекте Российской Федерации или г. Байконуре, согласно ведомственной статистике;
Li1 - численность молодежи, вовлеченной в волонтерскую деятельность в i-м субъекте Российской Федерации или г. Байконуре, согласно ведомственной статистике;
(в ред. Постановления Правительства РФ от 28.09.2023 N 1594)
(см. текст в предыдущей редакции)
Li2 - численность молодежи в i-м субъекте Российской Федерации или г. Байконуре согласно федеральному статистическому наблюдению;
м) утратил силу. - Постановление Правительства РФ от 28.09.2023 N 1594;
(см. текст в предыдущей редакции)
н) утратил силу с 1 января 2023 года. - Постановление Правительства РФ от 01.12.2022 N 2202;
(см. текст в предыдущей редакции)
о) предусмотренного подпунктом "о" пункта 2 настоящих Правил (Sio), определяется по формуле:
Soo - общий объем бюджетных ассигнований, предусмотренных в федеральном бюджете на предоставление субсидии на соответствующий финансовый год;
Fi - количество государственных и муниципальных общеобразовательных организаций, в том числе структурных подразделений указанных организаций, запланированных к оснащению в i-м субъекте Российской Федерации или г. Байконуре в соответствующем финансовом году;
mo - число субъектов Российской Федерации и г. Байконур - получателей субсидии в соответствующем финансовом году;
(пп. "о" введен Постановлением Правительства РФ от 11.04.2022 N 639)
п) предусмотренного подпунктом "п" пункта 2 настоящих Правил (Siр), определяется по формуле:
Sор - общий объем бюджетных ассигнований, предусмотренных в федеральном бюджете на предоставление субсидии в целях достижения результата использования субсидии на соответствующий финансовый год;
mp - число субъектов Российской Федерации и г. Байконур - победителей Всероссийского конкурса программ комплексного развития молодежной политики в субъектах Российской Федерации "Регион для молодых";
- затраты i-го субъекта Российской Федерации или г. Байконура на инфраструктурное обеспечение, определяемые по формуле:
Miр - площадь помещений, требующая ремонта и (или) реконструкции, а также обеспечения оборудованием, в i-ом субъекте Российской Федерации или г. Байконуре;
- затраты i-го субъекта Российской Федерации или г. Байконура на содержательное и методическое обеспечение программы комплексного развития молодежной политики в субъекте Российской Федерации, определяемые по формуле:
Qiр - планируемый общий охват молодежи деятельностью центра i-го субъекта Российской Федерации или г. Байконура;
Kiр - планируемая численность молодежи, включенной в деятельность молодежного центра i-го субъекта Российской Федерации или г. Байконура на системной основе;
Eiр - планируемая численность сотрудников сферы молодежной политики, прошедших обучение и повышение уровня квалификации;
Aiр - планируемое количество методических, просветительских и образовательных мероприятий (в том числе проведение исследований и разработка методических продуктов).
(пп. "п" введен Постановлением Правительства РФ от 01.12.2022 N 2202)
11. В целях определения очередности получения субсидии формируется перечень субъектов Российской Федерации и г. Байконура, заявки которых прошли отбор в соответствии с пунктами 7 и 8 настоящих Правил (далее - перечень), в порядке убывания значения индекса потребности субъекта Российской Федерации и г. Байконура в субсидии (далее - индекс) в целях достижения результата использования субсидии:
а) предусмотренного подпунктом "а" пункта 2 настоящих Правил (Biпотр(а)), расчет индекса осуществляется по формуле:
Biпотр(а) = Biдет(село) x Zi x Kдвфо,
Biпотр(а) - индекс потребности i-го субъекта Российской Федерации или г. Байконура в субсидии в целях достижения результата использования субсидии;
Biдет(село) - численность обучающихся по основным общеобразовательным программам в сельской местности и малых городах в i-м субъекте Российской Федерации или г. Байконуре на начало учебного года, предшествующего текущему финансовому году, согласно федеральному статистическому наблюдению;
Kдвфо - коэффициент, применяемый для субъектов Российской Федерации, входящих в состав Дальневосточного федерального округа, равный 1,5 (для субъектов, не входящих в состав Дальневосточного федерального округа, и г. Байконура, равный 1);
б) подпунктом "б" пункта 2 настоящих Правил (Biпотр(б)), расчет индекса осуществляется по формуле:
Biпотр(б) = Biдет(овз) x Zi x Kдвфо,
Biпотр(б) - индекс потребности i-го субъекта Российской Федерации или г. Байконура в субсидии в целях достижения результата использования субсидии;
Biдет(овз) - численность обучающихся с ограниченными возможностями здоровья и инвалидностью по основным общеобразовательным программам в i-м субъекте Российской Федерации или г. Байконуре на начало учебного года, предшествующего текущему финансовому году, согласно федеральному статистическому наблюдению;
в) подпунктом "в" пункта 2 настоящих Правил (Biпотр(в)), расчет индекса осуществляется по формуле:
Biпотр(в) = (Biдет - DOiохв) x Zi x Kдвфо,
Biпотр(в) - индекс потребности i-го субъекта Российской Федерации или г. Байконура в субсидии в целях достижения результата использования субсидии;
Biдет - численность детей в возрасте от 5 до 18 лет в i-м субъекте Российской Федерации или г. Байконуре на начало текущего финансового года;
DOiохв - численность обучающихся по дополнительным общеобразовательным программам в возрасте от 5 до 18 лет в i-м субъекте Российской Федерации или г. Байконуре за год, предшествующий текущему финансовому году, согласно федеральному статистическому наблюдению;
г) подпунктом "г" пункта 2 настоящих Правил (Biпотр(г)), расчет индекса осуществляется по формуле:
Biпотр(г) - индекс потребности i-го субъекта Российской Федерации или г. Байконура в субсидии в целях достижения результата использования субсидии;
DOiтех - численность обучающихся по дополнительным общеобразовательным программам технической направленности в возрасте от 5 до 18 лет в i-м субъекте Российской Федерации или г. Байконуре за год, предшествующий текущему финансовому году, согласно федеральному статистическому наблюдению;
DOiен - численность обучающихся по дополнительным общеобразовательным программам естественно-научной направленности в возрасте от 5 до 18 лет в i-м субъекте Российской Федерации или г. Байконуре за год, предшествующий текущему финансовому году, согласно федеральному статистическому наблюдению;
д) подпунктами "д", "е" и "з" пункта 2 настоящих Правил (Biпотр(дез)), расчет индекса осуществляется по формуле:
Biпотр(дез) = Biдет x Zi x Kдвфо,
Biпотр(дез) - индекс потребности i-го субъекта Российской Федерации или г. Байконура в субсидии в целях достижения результата использования субсидии;
е) подпунктом "ж" пункта 2 настоящих Правил (Biпотр(ж)), расчет индекса осуществляется по формуле:
Biпотр(ж) - индекс потребности i-го субъекта Российской Федерации или г. Байконуре в субсидии в целях достижения результата использования субсидии;
Biоо - численность обучающихся по основным общеобразовательным программам в i-м субъекте Российской Федерации или г. Байконуре на начало учебного года, предшествующего текущему финансовому году, согласно федеральному статистическому наблюдению;
Biспо - численность обучающихся по образовательным программам среднего профессионального образования в i-м субъекте Российской Федерации или г. Байконуре на начало учебного года, предшествующего текущему финансовому году, согласно федеральному статистическому наблюдению;
PCiоо - количество персональных компьютеров, используемых в учебных целях, в общеобразовательных организациях в i-м субъекте Российской Федерации или г. Байконуре на начало учебного года, предшествующего текущему финансовому году, согласно федеральному статистическому наблюдению;
PCiспо - количество персональных компьютеров, используемых в учебных целях, в профессиональных образовательных организациях в i-м субъекте Российской Федерации или г. Байконуре на начало учебного года, предшествующего текущему финансовому году, согласно федеральному статистическому наблюдению;
ж) утратил силу с 1 января 2023 года. - Постановление Правительства РФ от 01.12.2022 N 2202;
(см. текст в предыдущей редакции)
з) подпунктом "к" пункта 2 настоящих Правил (Biпотр(кн)), расчет индекса осуществляется по формуле:
(в ред. Постановления Правительства РФ от 01.12.2022 N 2202)
(см. текст в предыдущей редакции)
Biпотр(кн) = Biспо x Zi x Kдвфо,
Biпотр(кн) - индекс потребности i-го субъекта Российской Федерации или г. Байконура в субсидии в целях достижения результата использования субсидии;
Biспо - численность обучающихся по образовательным программам среднего профессионального образования в i-м субъекте Российской Федерации или г. Байконуре на начало учебного года, предшествующего текущему финансовому году, согласно федеральному статистическому наблюдению;
и) утратил силу. - Постановление Правительства РФ от 28.09.2023 N 1594;
(см. текст в предыдущей редакции)
к) подпунктом "о" пункта 2 настоящих Правил (Biпотр(о)), расчет индекса осуществляется по формуле:
Biпотр(о) = Biшкп x Zi x Kдвфо,
Biпорт(о) - индекс потребности i-го субъекта Российской Федерации или г. Байконура в субсидии в целях достижения результата использования субсидии;
Biшкп - численность государственных и муниципальных общеобразовательных организаций, в том числе структурных подразделений указанных организаций, в i-м субъекте Российской Федерации или г. Байконуре в соответствующем финансовом году, согласно федеральному статистическому наблюдению.
(пп. "к" введен Постановлением Правительства РФ от 11.04.2022 N 639)
11(1). В качестве статистических данных, используемых в пункте 11 настоящих Правил, для расчета индекса потребности в Донецкой Народной Республике, Луганской Народной Республике, Запорожской области, Херсонской области и федеральной территории "Сириус" используются данные, предоставляемые соответствующим исполнительным органом субъекта Российской Федерации в сфере образования и администрацией федеральной территории "Сириус" по запросу Министерства просвещения Российской Федерации.
(п. 11(1) введен Постановлением Правительства РФ от 28.09.2023 N 1594)
12. Для расчета объема субсидии для бюджета i-го субъекта Российской Федерации и г. Байконура на соответствующий финансовый год значение результата использования субсидии по предусмотренным в подпунктах "а" - "г", "ж" - "к" и "о" пункта 2 настоящих Правил результатам использования субсидии определяется посредством увеличения на 1 единицу значения результата использования субсидии каждому субъекту Российской Федерации и г. Байконуру последовательно по перечню, сформированному в соответствии с пунктом 11 настоящих Правил, начиная с нулевого значения.
(см. текст в предыдущей редакции)
Сумма значений результатов использования субсидии, указанных в подпунктах "а" - "г", "ж" - "к" и "о" пункта 2 настоящих Правил, определенных для субъектов Российской Федерации и г. Байконура по годам их достижения, соответствует значениям результатов, указанным по соответствующим годам в соответствующем федеральном проекте.
(см. текст в предыдущей редакции)
В случае если сумма значений результатов использования субсидии согласно заявкам субъектов Российской Федерации или г. Байконура, указанных в перечне, превышает значения результата использования субсидии, указанные по соответствующим годам в соответствующем федеральном проекте, максимальное значение результата использования субсидии i-го субъекта Российской Федерации или г. Байконура уменьшается от значения, указанного в заявке i-го субъекта Российской Федерации или г. Байконура, пропорционально удельному весу суммы значений результатов использования субсидии субъектов Российской Федерации и г. Байконура, указанных в перечне, в сумме значений результата использования субсидии, указанных по соответствующим годам в соответствующем федеральном проекте, с округлением до ближайшего целого числа с учетом правил математического округления в большую сторону.
По достижении максимального значения результата использования субсидии на очередной финансовый год распределение объема субсидий осуществляется на плановый период до достижения максимального значения результата использования субсидии в первом году планового периода, а затем во втором году планового периода.
Значение результата использования субсидии, определенное для субъекта Российской Федерации и г. Байконура, не может превышать значение результата использования субсидии, указанное в заявке субъекта Российской Федерации или г. Байконура, прошедшего отбор в соответствии с критериями, указанными в пункте 7 настоящих Правил, а в случае, указанном в абзаце третьем настоящего пункта, - максимального значения результата использования субсидии для субъекта Российской Федерации и г. Байконура, уменьшенного в соответствии с порядком, указанным в абзаце третьем настоящего пункта.
13. Для расчета объема субсидии для бюджета i-го субъекта Российской Федерации и г. Байконура на соответствующий финансовый год определяется значение результата использования субсидии по предусмотренным в подпунктах "д" и "е" пункта 2 настоящих Правил результатам использования субсидии посредством присвоения значения результата, равного единице, каждому субъекту Российской Федерации и г. Байконуру последовательно по перечню, сформированному в соответствии с пунктом 11 настоящих Правил.
Число субъектов Российской Федерации и г. Байконур по годам достижения значений результата использования субсидии, указанного в подпунктах "д" и "е" пункта 2 настоящих Правил, соответствует значениям, указанным по соответствующим годам в соответствующем федеральном проекте.
По достижении максимального значения результата использования субсидии на очередной финансовый год распределение объема субсидий осуществляется на плановый период до достижения максимального значения в первом году планового периода, а затем во втором году планового периода.
14. При проведении отбора субъекта Российской Федерации и г. Байконура в соответствии с пунктами 7 и 8 настоящих Правил на очередной финансовый год и плановый период определение значений результата использования субсидии по предусмотренным в пункте 2 настоящих Правил результатам использования субсидии осуществляется в порядке, предусмотренном пунктами 11 - 13 настоящих Правил, с последнего года, в котором определены значения результата использования субсидии.
15. Предоставление субсидии осуществляется на основании соглашения, подготовленного (сформированного) с использованием государственной интегрированной информационной системы управления общественными финансами "Электронный бюджет" (далее - система "Электронный бюджет"), заключенного в соответствии с типовой формой соглашения, утвержденной Министерством финансов Российской Федерации:
между Министерством просвещения Российской Федерации и высшим исполнительным органом субъекта Российской Федерации и администрацией г. Байконура - в целях достижения результатов использования субсидий, предусмотренных подпунктами "а" - "к" и "о" пункта 2 настоящих Правил;
(в ред. Постановлений Правительства РФ от 11.04.2022 N 639, от 26.09.2022 N 1693, от 28.09.2023 N 1594)
(см. текст в предыдущей редакции)
между Федеральным агентством по делам молодежи и высшим исполнительным органом субъекта Российской Федерации и администрацией г. Байконура - в целях достижения результатов использования субсидий, предусмотренных подпунктами "л" и "п" пункта 2 настоящих Правил.
(см. текст в предыдущей редакции)
В соглашении могут быть установлены различные уровни софинансирования расходных обязательств субъекта Российской Федерации и г. Байконура из федерального бюджета, обеспечивающих достижение разных результатов использования субсидии.
Абзац утратил силу. - Постановление Правительства РФ от 11.04.2022 N 639.
(см. текст в предыдущей редакции)
16. Оценка эффективности использования субсидии осуществляется Министерством просвещения Российской Федерации и Федеральным агентством по делам молодежи на основании сравнения установленных в соглашении и фактически достигнутых субъектом Российской Федерации и г. Байконуром значений результатов использования субсидии, указанных:
а) в подпункте "а" пункта 2 настоящих Правил, - количество центров образования естественно-научной и технологической направленностей в общеобразовательных организациях, расположенных в сельской местности и малых городах, для которых приобретены оборудование, расходные материалы, средства обучения и воспитания;
б) в подпункте "б" пункта 2 настоящих Правил, - количество организаций, осуществляющих образовательную деятельность исключительно по адаптированным основным общеобразовательным программам, для которых приобретены оборудование, расходные материалы, средства обучения и воспитания в целях обновления материально-технической базы;
в) в подпункте "в" пункта 2 настоящих Правил, - количество новых мест в образовательных организациях различных типов, для которых приобретены оборудование, расходные материалы, средства обучения и воспитания в целях реализации дополнительных общеразвивающих программ всех направленностей;
г) в подпункте "г" пункта 2 настоящих Правил, - количество созданных детских технопарков "Кванториум", для которых приобретены оборудование, расходные материалы, средства обучения и воспитания;
д) в подпункте "д" пункта 2 настоящих Правил, - создание регионального центра выявления, поддержки и развития способностей и талантов у детей и молодежи, для которого приобретены оборудование, расходные материалы, средства обучения и воспитания, сопутствующие работы (услуги);
е) в подпункте "е" пункта 2 настоящих Правил, - внедрение целевой модели развития региональных систем дополнительного образования детей;
ж) в подпункте "ж" пункта 2 настоящих Правил, - количество образовательных организаций, для которых приобретены оборудование, расходные материалы, средства обучения и воспитания для обеспечения образовательных организаций материально-технической базой для внедрения цифровой образовательной среды;
з) в подпункте "з" пункта 2 настоящих Правил, - количество созданных центров цифрового образования детей, для которых приобретены оборудование, расходные материалы, средства обучения и воспитания;
и) утратил силу с 1 января 2023 года. - Постановление Правительства РФ от 01.12.2022 N 2202;
(см. текст в предыдущей редакции)
к) в подпункте "к" пункта 2 настоящих Правил, - количество созданных центров опережающей профессиональной подготовки, для которых приобретены товары (работы, услуги);
л) в подпункте "л" пункта 2 настоящих Правил, - количество реализованных лучших практик в сфере добровольчества (волонтерства), утвержденных решением Экспертной комиссии по оценке заявок на участие во Всероссийском конкурсе лучших региональных практик поддержки волонтерства "Регион добрых дел";
м) утратил силу. - Постановление Правительства РФ от 28.09.2023 N 1594;
(см. текст в предыдущей редакции)
н) утратил силу с 1 января 2023 года. - Постановление Правительства РФ от 01.12.2022 N 2202;
(см. текст в предыдущей редакции)
о) в подпункте "о" пункта 2 настоящих Правил, - количество государственных и муниципальных общеобразовательных организаций, в том числе структурных подразделений указанных организаций, оснащенных государственными символами Российской Федерации;
(пп. "о" введен Постановлением Правительства РФ от 11.04.2022 N 639)
п) в подпункте "п" пункта 2 настоящих Правил, - количество реализованных лучших программ субъектов Российской Федерации в сфере комплексного развития инфраструктуры молодежной политики, утвержденных протоколом заседания Экспертной комиссии по оценке заявок на участие во Всероссийском конкурсе программ комплексного развития молодежной политики в субъектах Российской Федерации "Регион для молодых".
(пп. "п" введен Постановлением Правительства РФ от 01.12.2022 N 2202)
17. Субсидии, от получения которых субъект Российской Федерации отказался полностью или частично до заключения соглашения или в период его действия, подлежат перераспределению на реализацию региональных программ в текущем году между другими субъектами Российской Федерации, достигнувшими результатов использования субсидии в соответствии с соглашением на последнюю отчетную дату, в соответствии с настоящими Правилами и статьей 7 Федерального закона от 28 ноября 2018 г. N 457-ФЗ "О внесении изменений в Бюджетный кодекс Российской Федерации и отдельные законодательные акты Российской Федерации".
18. Уполномоченные высшим исполнительным органом субъекта Российской Федерации и администрацией г. Байконура исполнительные органы субъекта Российской Федерации и г. Байконура размещают в сроки, установленные соглашением, в системе "Электронный бюджет" отчет о расходах, в целях софинансирования которых предоставляется субсидия, а также отчет о достижении значений результатов использования субсидии.
(в ред. Постановления Правительства РФ от 26.09.2022 N 1693)
(см. текст в предыдущей редакции)
19. Перечисление субсидии осуществляется в установленном порядке на единые счета бюджетов, открытые финансовым органам субъектов Российской Федерации в территориальных органах Федерального казначейства.
Перечисление субсидии бюджету г. Байконура осуществляется в установленном порядке на счет, открытый финансовому органу администрации г. Байконура.
20. В случае нарушения субъектом Российской Федерации и г. Байконуром обязательств по достижению значений результатов использования субсидии, установленных соглашением, и в случае неустранения указанных нарушений до первой даты представления отчетности о достижении значений результатов использования субсидии объем средств, подлежащий возврату из бюджета субъекта Российской Федерации и бюджета г. Байконура в федеральный бюджет, рассчитывается в порядке, установленном пунктами 16 - 18 Правил формирования, предоставления и распределения субсидий.
Освобождение субъектов Российской Федерации и г. Байконура от применения мер ответственности, предусмотренных пунктом 16 Правил формирования, предоставления и распределения субсидий, в том числе от возврата средств в доход федерального бюджета, осуществляется в соответствии с пунктом 20 Правил формирования, предоставления и распределения субсидий.
21. Контроль за соблюдением субъектом Российской Федерации и г. Байконуром условий предоставления субсидии осуществляется:
Министерством просвещения Российской Федерации, а также уполномоченными органами государственного финансового контроля - в целях достижения результатов использования субсидии, предусмотренных подпунктами "а" - "к" и "о" пункта 2 настоящих Правил;
(см. текст в предыдущей редакции)
Федеральным агентством по делам молодежи, а также уполномоченными органами государственного финансового контроля - в целях достижения результатов использования субсидии, предусмотренных подпунктами "л" и "п" пункта 2 настоящих Правил.
(в ред. Постановления Правительства РФ от 01.12.2022 N 2202)
(см. текст в предыдущей редакции)
- Гражданский кодекс (ГК РФ)
- Жилищный кодекс (ЖК РФ)
- Налоговый кодекс (НК РФ)
- Трудовой кодекс (ТК РФ)
- Уголовный кодекс (УК РФ)
- Бюджетный кодекс (БК РФ)
- Арбитражный процессуальный кодекс
- Конституция РФ
- Земельный кодекс (ЗК РФ)
- Лесной кодекс (ЛК РФ)
- Семейный кодекс (СК РФ)
- Уголовно-исполнительный кодекс
- Уголовно-процессуальный кодекс
- Производственный календарь на 2025 год
- МРОТ 2025
- ФЗ «О банкротстве»
- О защите прав потребителей (ЗОЗПП)
- Об исполнительном производстве
- О персональных данных
- О налогах на имущество физических лиц
- О средствах массовой информации
- Производственный календарь на 2026 год
- Федеральный закон "О полиции" N 3-ФЗ
- Расходы организации ПБУ 10/99
- Минимальный размер оплаты труда (МРОТ)
- Календарь бухгалтера на 2025 год
- Частичная мобилизация: обзор новостей
- Постановление Правительства РФ N 1875
















