Систематические составляющие дисперсий результатов измерений масс ЯМ по компонентам уравнения баланса можно определить следующим образом.
Систематическая составляющая дисперсии результатов измерений масс U в компоненте ФК:
Систематическая составляющая дисперсии результатов измерений масс U235 в компоненте ФК:
Систематическая составляющая дисперсии результатов измерений масс U в компоненте НК:
Систематическая составляющая дисперсии результатов измерений масс U235 в компоненте НК:
Систематическая составляющая дисперсии результатов измерений масс U в компоненте УВ:
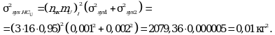
Систематическая составляющая дисперсии результатов измерений масс U235 в компоненте УВ:
Систематическая составляющая дисперсии результатов измерений масс U в компоненте УМ:
Систематическая составляющая дисперсии результатов измерений масс U235 в компоненте УМ:
Интегральное значение систематической составляющей дисперсии результатов измерений масс U будет определяться в соответствии с выражением:
Интегральное значение систематической составляющей дисперсии результатов измерений масс U235 будет определяться в соответствии с выражением:
В соответствии с выражением (4) дисперсия ИР может быть найдена путем суммирования ее случайной и систематической составляющих.
Исходя из полученных значений
, величины среднеквадратических отклонений (погрешности) ИР в соответствии с выражением
будут равны:
Полученные значения ИР и
, наряду с другими величинами, определяемыми в пункте 69 Основных правил, используются при анализе результатов ФИ для выявления возможных аномалий в учете и контроле ЯМ.
- Гражданский кодекс (ГК РФ)
- Жилищный кодекс (ЖК РФ)
- Налоговый кодекс (НК РФ)
- Трудовой кодекс (ТК РФ)
- Уголовный кодекс (УК РФ)
- Бюджетный кодекс (БК РФ)
- Арбитражный процессуальный кодекс
- Конституция РФ
- Земельный кодекс (ЗК РФ)
- Лесной кодекс (ЛК РФ)
- Семейный кодекс (СК РФ)
- Уголовно-исполнительный кодекс
- Уголовно-процессуальный кодекс
- Производственный календарь на 2025 год
- МРОТ 2025
- ФЗ «О банкротстве»
- О защите прав потребителей (ЗОЗПП)
- Об исполнительном производстве
- О персональных данных
- О налогах на имущество физических лиц
- О средствах массовой информации
- Производственный календарь на 2026 год
- Федеральный закон "О полиции" N 3-ФЗ
- Расходы организации ПБУ 10/99
- Минимальный размер оплаты труда (МРОТ)
- Календарь бухгалтера на 2025 год
- Частичная мобилизация: обзор новостей
- Постановление Правительства РФ N 1875
.










.
.
.
.