37. В подразделе для каждого эксплуатационного предела рекомендуется указывать:
--------------------------------
<2> Эксплуатационные пределы могут быть установлены как для одного параметра, так и для сочетания параметров (например, для сочетания температуры и давления теплоносителя первого контура).
эксплуатационное состояние или режим работы блока АС, к которому относится эксплуатационный предел;
условие, выполнение которого свидетельствует о соблюдении эксплуатационного предела (например, "более", "менее", "не более", "не менее");
указание персоналу о периодичности контроля значений параметра либо указание об обеспечении непрерывного контроля эксплуатационного предела;
последовательность действий персонала по восстановлению нормальной эксплуатации при нарушении эксплуатационного предела, включая указания персоналу о сроках выполнения каждого из этих действий.
(п. 37 в ред. Приказа Ростехнадзора от 19.06.2024 N 188)
(см. текст в предыдущей редакции)
38. Для эксплуатационного предела допускается указывать несколько эксплуатационных состояний или режимов работы блока АС, если для всех этих эксплуатационных состояний или режимов работы блока АС идентична информация, указываемая в соответствии с пунктом 37 настоящего Руководства по безопасности (за исключением информации об эксплуатационных состояниях или режимах работы блока АС).
(в ред. Приказа Ростехнадзора от 19.06.2024 N 188)
(см. текст в предыдущей редакции)
39. Рекомендации в отношении буквенно-цифрового обозначения в Технологическом регламенте эксплуатационных пределов и шагов действий по восстановлению нормальной эксплуатации, используемых единиц измерения параметра, формулирования условия, выполнение которого свидетельствует о соблюдении эксплуатационного предела, последовательности и срока выполнения действий персонала по восстановлению нормальной эксплуатации, перечня параметров, для которых в Технологическом регламенте приводятся эксплуатационные пределы, и посистемного изложения эксплуатационных пределов идентичны рекомендациям для пределов безопасной эксплуатации, приведенным в пунктах 16 - 24 настоящего Руководства по безопасности. Рекомендуемые примеры изложения подраздела "Эксплуатационные пределы" приведены в приложениях N 9 - 11 к настоящему Руководству по безопасности.
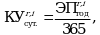
40. Эксплуатационным пределом по параметру, характеризующему выброс r-го радионуклида в атмосферный воздух из i-го источника выброса, является норматив ДВ, который определяется по формуле:
ПДВr,i - предельно допустимый выброс r-го радионуклида в атмосферный воздух из i-го источника выброса;
X - безразмерный коэффициент, который равен 5 для проектируемых и сооружаемых АС, равен 20 для действующих АС (ПДВr,i для проектируемых, сооружаемых и действующих АС не идентичны).
41. В подразделе приводятся месячный и суточный контрольные уровни выброса r-го радионуклида в атмосферный воздух из i-го источника выброса, которые определяются по формулам:
где ДВr,i - допустимый выброс r-го радионуклида в атмосферный воздух из i-го источника выброса.
42. Эксплуатационный предел по параметру, характеризующему сброс r-го радионуклида в окружающую среду из i-го источника сброса за год, определяется по формуле:
где ДСr,i - допустимый сброс r-го радионуклида в окружающую среду из i-го источника сброса.
43. В подразделе приводятся месячный и суточный контрольные уровни сброса r-го радионуклида в окружающую среду из i-го источника сброса, которые определяются по формулам:
где
- эксплуатационный предел сброса r-го радионуклида в окружающую среду из i-го источника сброса.
44. В подразделе приводятся нормируемые и диагностические показатели качества теплоносителя и рабочих сред систем, важных для безопасности (включая теплоноситель первого контура, рабочую среду второго контура, борированные растворы бассейна выдержки и систем безопасности).
Для диагностических показателей приводятся контрольные уровни, несоблюдение которых указывает на нарушение в работе систем, важных для безопасности, предназначенных для поддержания допустимых значений нормируемых показателей.
45. Для каждого из нормируемых показателей приводятся в подразделе диапазоны отклонений от допустимых значений (уровни отклонений). Каждому уровню отклонения соответствует обоснованный в проекте АС промежуток времени, в течение которого блок АС может эксплуатироваться с соответствующими отклонениями. Для каждого уровня отклонения указывается последовательность действий, которые выполняются персоналом для приведения блока АС к нормальной эксплуатации.
46. Для нормируемых и диагностических показателей указывается эксплуатационное состояние или режим работы блока АС, на которое распространяются указанные показатели. Нормируемые и диагностические показатели допускается разграничивать внутри эксплуатационных состояний и режимов работы блока АС (например, указывать различные нормируемые и диагностические показатели для загрузки, перегрузки и выгрузки реактора, для работы блока АС на различных уровнях мощности, для ремонтных состояний блока АС, в которых выполняется дезактивация, промывка, очистка, пассивация и консервация контуров, оборудования и трубопроводов).
(в ред. Приказа Ростехнадзора от 19.06.2024 N 188)
(см. текст в предыдущей редакции)
47. В подразделе приводятся указания персоналу о периодичности контроля нормируемых и диагностических показателей.
- Гражданский кодекс (ГК РФ)
- Жилищный кодекс (ЖК РФ)
- Налоговый кодекс (НК РФ)
- Трудовой кодекс (ТК РФ)
- Уголовный кодекс (УК РФ)
- Бюджетный кодекс (БК РФ)
- Арбитражный процессуальный кодекс
- Конституция РФ
- Земельный кодекс (ЗК РФ)
- Лесной кодекс (ЛК РФ)
- Семейный кодекс (СК РФ)
- Уголовно-исполнительный кодекс
- Уголовно-процессуальный кодекс
- Производственный календарь на 2025 год
- МРОТ 2025
- ФЗ «О банкротстве»
- О защите прав потребителей (ЗОЗПП)
- Об исполнительном производстве
- О персональных данных
- О налогах на имущество физических лиц
- О средствах массовой информации
- Производственный календарь на 2026 год
- Федеральный закон "О полиции" N 3-ФЗ
- Расходы организации ПБУ 10/99
- Минимальный размер оплаты труда (МРОТ)
- Календарь бухгалтера на 2025 год
- Частичная мобилизация: обзор новостей
- Постановление Правительства РФ N 1875





