Специфическим признаком зоны аэрации является неполное водонасыщение, тесно связанное с проявлением капиллярных сил.
При гравитационном влагопереносе в зоне неполного насыщения скорость фильтрации определяется законом, идентичным закону Дарси, в котором коэффициент пропорциональности существенно зависит от влажности.
где
- коэффициент влагопереноса в зоне неполного насыщения (коэффициент фильтрации), м/сут.
Из теоретических соображений и анализа экспериментальных данных следует, что зависимость коэффициента влагопереноса от относительной влажности имеет степенной характер вида:
где
- коэффициент влагопереноса при полном водонасыщении (коэффициент фильтрации), м/сут.
где:
- относительная влажность;
- текущее влагосодержание свободной (несвязанной) воды;
- влажность, при которой движение влаги практически отсутствует;
- полная влагоемкость.
Для показателя степени рекомендуется использовать значения n = 3
4.
В определенном диапазоне изменения влажности можно пользоваться экспоненциальной зависимостью коэффициента фильтрации от влажности:
где по литературным данным принимают 
В теории влагопереноса обычно вместо высоты давления используется величина давления всасывания. Зависимость коэффициента фильтрации (влагопереноса) от давления всасывания рекомендуется выражение:
где:
:
- давление всасывания, м;
- высота давления, м; параметр m для песков принимают равным 2, для тяжелых суглинков - 4.
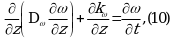
Уравнение вертикального влагопереноса:
где
- капиллярная диффузивность, или диффузивность почвенной влаги, м2/сут.
Скорость инфильтрационного просачивания рассчитывается:
где:
- скорость инфильтрационного просачивания, м/сут.; w - интенсивность дождевания, м/сут.;
- начальное значение влажности.
При интенсивном протекании процессов влагопереноса существенно проявляется неупорядоченная неоднородность строения зоны аэрации, которая обуславливается литолого-фациальной изменчивостью пород, наличием ходов землероев и остатков растений. Для учета этого фактора при математическом описании влагопереноса используется модель блоковой гетерогенной среды, аналогичной среде с двойной емкостью. Влияние гетерогенности пород зоны аэрации на процессы инфильтрации подтверждается существующими данными о довольно резкой площадной неравномерности инфильтрации.
- Гражданский кодекс (ГК РФ)
- Жилищный кодекс (ЖК РФ)
- Налоговый кодекс (НК РФ)
- Трудовой кодекс (ТК РФ)
- Уголовный кодекс (УК РФ)
- Бюджетный кодекс (БК РФ)
- Арбитражный процессуальный кодекс
- Конституция РФ
- Земельный кодекс (ЗК РФ)
- Лесной кодекс (ЛК РФ)
- Семейный кодекс (СК РФ)
- Уголовно-исполнительный кодекс
- Уголовно-процессуальный кодекс
- Производственный календарь на 2025 год
- МРОТ 2026
- ФЗ «О банкротстве»
- О защите прав потребителей (ЗОЗПП)
- Об исполнительном производстве
- О персональных данных
- О налогах на имущество физических лиц
- О средствах массовой информации
- Производственный календарь на 2026 год
- Федеральный закон "О полиции" N 3-ФЗ
- Расходы организации ПБУ 10/99
- Минимальный размер оплаты труда (МРОТ)
- Календарь бухгалтера на 2026 год
- Частичная мобилизация: обзор новостей
- Постановление Правительства РФ N 1875







