Нормативы численности рабочих газоперерабатывающих заводов нефтяной промышленности разработаны по видам выполняемых работ независимо от организационных структур газоперерабатывающих заводов и охватывают:
- обслуживание технологического оборудования и объектов, технологических установок, товарных парков и магистральных трубопроводов, сливно-наливных эстакад, компрессорных, насосных станций, парокотельных, очистных сооружений, теплопроводных и канализационных сетей, электроустановок, трансформаторных подстанций;
- производство лабораторных анализов;
- ремонт технологического оборудования (технологических установок, компрессоров, насосов, емкостей, паровых котлов, вентиляторов) и грузоподъемного оборудования;
- обслуживание и ремонт средств контроля и автоматики;
В основу разработки нормативов численности положены:
- фотохронометражные наблюдения, проведенные за рабочими по обслуживанию технологического оборудования на газоперерабатывающих заводах;
- материалы, полученные в результате изучения организации труда и производства и аттестации рабочих мест на газоперерабатывающих заводах;
- типовые нормы времени на лабораторные работы в нефтегазпереработке. - М.: ЦНИСнефть, 1982. - и результаты их корректировки;
- типовые нормы времени на лабораторные работы в нефтедобыче. - М.: ЦНИСнефть, 1987;
- положения ВНИПИгазпереработки о планово-предупредительном ремонте технологического, энергетического оборудования и электрических сетей, контрольно-измерительных приборов и средств автоматизации, применяемых на газоперерабатывающих заводах;
- типовые нормы времени на ремонт КИП в нефтяной промышленности. - М.: ЦНИСнефть, 1982. - и результаты их корректировки и другие нормативные материалы.
Нормативы численности работах на обслуживание технологического и вспомогательного оборудования предусматривают обслуживание установки или другого объекта в смену и определены по среднегодовым затратам труда.
Нормативы численности рабочих на ремонт технологического оборудования, электрооборудования, средств контроля и автоматики разработаны по видам ремонта (текущий, средний, капитальный, техническое обслуживание) на принятый измеритель при круглосуточной работе оборудования и приборов в расчете на год.
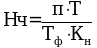
Нормативы численности рабочих (Нч) на ремонт технологического оборудования, электрооборудования и средств контроля и автоматики рассчитаны по формуле
где п - число ремонтов, приходящихся на год. Определяется делением календарного годового фонда работы оборудования на продолжительность межремонтного цикла;
Т - трудоемкость одного ремонта (одной условной единицы), чел.-ч;
Тф - календарный фонд рабочего времени одного рабочего в год, равный 2083 ч;
Кн - коэффициент выполнения норм выработки (принят равным 1).
При перевыполнении норм выработки портативная численность корректируется в сторону уменьшения на величину процента перевыполнения норм.
Нормативами предусматривается явочная численность рабочих. Для определения списочной численности применяется коэффициент перехода от явочной численности к списочной, учитывающий численность рабочих для работы в выходные и праздничные дни, дни отпуска, болезни, выполнения гособязанностей и другие невыходы на работу.
Примеры расчета коэффициентов перехода от явочной численности к списочной приводятся в Приложении к сборнику.
Нормативная численность рабочих, занятых ремонтом оборудования, рассчитывается только на ремонты, выполняемые заводом, и предусматривает полную загруженность оборудования. При работе технологического оборудования и электрооборудования не на полную проектную мощность к нормативам численности применяется коэффициент использования оборудования.
Согласно Положению о плановом ремонте энергооборудования и электрических сетей заводов, перерабатывающих нефтяной газ, техническое обслуживание электрооборудования производится дежурным персоналом.
Нормативная численность рабочих на ремонт технологических трубопроводов завода предусматривается в размере 17%, арматуры технологических трубопроводов - в размере 15% от нормативной численности рабочих на ремонт аппаратов, печей, машинного оборудования и емкостей.
При наличии на заводе специализированной службы по ремонту межцеховых трубопроводов, коллекторов и предохранительно-запорной арматуры нормативная численность рабочих определяется в размере 10% от общей нормативной численности рабочих, занятых ремонтом оборудования технологических установок, насосов, вентиляторов, емкостей и резервуаров в пределах численности, рассчитанной по нормативам.
Затраты труда по видам ремонтов на ремонт градирен и сливно-наливной эстакады определяются сметами. На монтаж и наладку новых контрольно-измерительных приборов и средств автоматизации, расчет сужающих устройств расходомеров нормативная численность определяется применением поправочного коэффициента 1,1 к общей нормативной численности.
Норматив численности на обслуживание, ремонт и транспортировку контрольно-измерительных приборов и средств автоматизации, установленных на газораспределительных и газомерных пунктах, удаленных от территории завода и других технологических объектов, увеличивается на 0,15 чел. на каждый газораспределительный и газомерный пункт.
Нормативы численности на обслуживание и ремонт определены на объекты, которые введены в эксплуатацию.
В нормативах численности на ремонт учтено время на подготовительно-заключительные работы, обслуживание рабочего места, отдых и личные надобности.
КонсультантПлюс: примечание.
Перечень действующих на территории Российской Федерации выпусков Единого тарифно-квалификационного справочника работ и профессий рабочих см. в Справочной информации.
Наименования профессий рабочих в сборнике приведены в соответствии с "Единым тарифно-квалификационным справочником работ и профессий рабочих", вып. 1, 2, 3. - М., 1986; вып. 36. - М., 1985 и "Квалификационным справочником профессий рабочих, которым устанавливаются месячные оклады". - М., 1986.
Приведенные в сборнике пределы числовых значений факторов, в которых указано "до", следует понимать включительно.
С введением настоящих нормативов численности отменяются ранее действовавшие "Нормативы численности рабочих газоперерабатывающих заводов нефтяной промышленности." - М.: ВНИИОЭНГ, 1982.
- Гражданский кодекс (ГК РФ)
- Жилищный кодекс (ЖК РФ)
- Налоговый кодекс (НК РФ)
- Трудовой кодекс (ТК РФ)
- Уголовный кодекс (УК РФ)
- Бюджетный кодекс (БК РФ)
- Арбитражный процессуальный кодекс
- Конституция РФ
- Земельный кодекс (ЗК РФ)
- Лесной кодекс (ЛК РФ)
- Семейный кодекс (СК РФ)
- Уголовно-исполнительный кодекс
- Уголовно-процессуальный кодекс
- Производственный календарь на 2025 год
- МРОТ 2026
- ФЗ «О банкротстве»
- О защите прав потребителей (ЗОЗПП)
- Об исполнительном производстве
- О персональных данных
- О налогах на имущество физических лиц
- О средствах массовой информации
- Производственный календарь на 2026 год
- Федеральный закон "О полиции" N 3-ФЗ
- Расходы организации ПБУ 10/99
- Минимальный размер оплаты труда (МРОТ)
- Календарь бухгалтера на 2026 год
- Частичная мобилизация: обзор новостей
- Постановление Правительства РФ N 1875
,