Таблица 2. Результаты когортного исследования
Результаты когортного исследования
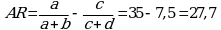
Заболеваемость в группе обедавших детей составила:
В группе не обедающих в школе этот показатель составил:
Показатель абсолютного риска равен:
Таким образом, эпидемиологами сделан вывод о том, что риск заболеть ОКИ при употреблении в пищу обедов в изучаемый период времени был в 4,7 раза выше у детей, обедавших в школе, по сравнению с не обедавшими детьми. Шансы заболеть ОКИ у обедавших детей были в 6,8 раз выше, чем среди не обедавших.
- Гражданский кодекс (ГК РФ)
- Жилищный кодекс (ЖК РФ)
- Налоговый кодекс (НК РФ)
- Трудовой кодекс (ТК РФ)
- Уголовный кодекс (УК РФ)
- Бюджетный кодекс (БК РФ)
- Арбитражный процессуальный кодекс
- Конституция РФ
- Земельный кодекс (ЗК РФ)
- Лесной кодекс (ЛК РФ)
- Семейный кодекс (СК РФ)
- Уголовно-исполнительный кодекс
- Уголовно-процессуальный кодекс
- Производственный календарь на 2025 год
- МРОТ 2025
- ФЗ «О банкротстве»
- О защите прав потребителей (ЗОЗПП)
- Об исполнительном производстве
- О персональных данных
- О налогах на имущество физических лиц
- О средствах массовой информации
- Производственный календарь на 2026 год
- Федеральный закон "О полиции" N 3-ФЗ
- Расходы организации ПБУ 10/99
- Минимальный размер оплаты труда (МРОТ)
- Календарь бухгалтера на 2025 год
- Частичная мобилизация: обзор новостей
- Постановление Правительства РФ N 1875




.