9. Тарифы формируются на основе себестоимости оказания платной услуги, с учетом спроса на платную услугу, требований к качеству платной услуги в соответствии с показателями государственного задания, а также с учетом положений отраслевых и ведомственных нормативных правовых актов по определению расчетно-нормативных затрат на оказание платной услуги.
10. Затраты учреждения делятся на затраты, непосредственно связанные с оказанием платной услуги и потребляемые в процессе ее предоставления, и затраты, необходимые для обеспечения деятельности учреждения в целом, но не потребляемые непосредственно в процессе оказания платной услуги.
11. К затратам, непосредственно связанным с оказанием платной услуги, относятся:
затраты на персонал, непосредственно участвующий в процессе оказания платной услуги (основной персонал);
материальные запасы, полностью потребляемые в процессе оказания платной услуги;
затраты (амортизация) оборудования, используемого в процессе оказания платной услуги;
прочие расходы, отражающие специфику оказания платной услуги.
12. К затратам, необходимым для обеспечения деятельности учреждения в целом, но не потребляемым непосредственно в процессе оказания платной услуги, относятся:
- затраты на персонал учреждения, не участвующего непосредственно в процессе оказания платной услуги (далее - административно-управленческий персонал);
затраты на приобретение материальных запасов, оплата услуг связи, транспортных услуг, коммунальных услуг, обслуживание, ремонт объектов (далее - затраты на общехозяйственные нужды);
затраты на уплату налогов (кроме налогов на фонд оплаты труда), пошлины и иные обязательные платежи;
затраты (амортизация) зданий, сооружений и других основных фондов, непосредственно не связанных с оказанием платной услуги.
13. Для расчета затрат на оказание платной услуги может быть использован: расчетно-аналитический метод; метод прямого счета.
14. Расчетно-аналитический метод применяется в случаях, когда в оказании платной услуги задействован в равной степени весь основной персонал учреждения и все материальные ресурсы. Данный метод позволяет рассчитать затраты на оказание платной услуги на основе анализа фактических затрат учреждения в предшествующие периоды. В основе расчета затрат на оказание платной услуги лежит расчет средней стоимости единицы времени (машино-часа) и производственной программы работы автомобилей (машино-часов), необходимых для оказания платной услуги.
- затраты на оказание единицы платной услуги;
- сумма всех затрат учреждения за период времени;
- производственная программа работы автомобилей;
- режим работы автомобиля, задействованного в оказании платной услуги.
15. Метод прямого счета применяется в случаях, когда оказание платной услуги требует использования отдельных специалистов учреждения и специфических материальных ресурсов, включая материальные запасы и оборудование (например: при ремонте автомобилей). В основе расчета затрат на оказание платной услуги лежит прямой учет всех элементов затрат.
- затраты на оказание платной услуги;
- затраты на основной персонал, непосредственно принимающий участие в оказании платной услуги;
- затраты на приобретение материальных запасов, потребляемых в процессе оказания платной услуги;
- сумма начисленной амортизации оборудования, используемого при оказании платной услуги;
- накладные затраты, относимые на стоимость платной услуги.
16. Затраты на основной персонал включают в себя:
затраты на оплату труда и начисления на выплаты по оплате труда основного персонала.
Затраты на оплату труда и начисления на выплаты по оплате труда рассчитываются как произведение стоимости единицы рабочего времени (например, человеко-часа) на количество единиц времени, необходимое для оказания платной услуги. Данный расчет проводится по каждому работнику, участвующему в оказании соответствующей платной услуги, и определяются по формуле:
- затраты на оплату труда и начисления на выплаты по оплате труда основного персонала;
- норма рабочего времени, затрачиваемого основным персоналом;
- часовая ставка заработной платы основного персонала (включая начисления на выплаты по оплате труда).
Расчет затрат на оплату труда персонала, непосредственно участвующего в процессе оказания платной услуги, приводится по форме согласно приложению N 2 к настоящему Порядку.
17. Затраты на приобретение материальных запасов и услуг, полностью потребляемых в процессе оказания платной услуги, включают в себя (в зависимости от отраслевой специфики):
затраты на горюче-смазочные материалы;
затраты на приобретение расходных материалов для оргтехники;
затраты на другие материальные запасы.
Затраты на приобретение материальных запасов рассчитываются как произведение средних цен на материальные запасы на их объем потребления в процессе оказания платной услуги. Затраты на приобретение материальных запасов определяется по формуле:
- затраты на материальные запасы, потребляемые в процессе оказания платной услуги;
- - материальные запасы определенного вида;
- цена приобретаемых материальных запасов.
Расчет затрат на материальные запасы, непосредственно потребляемые в процессе оказания платной услуги, проводится по форме согласно приложению N 3 к настоящему Порядку.
18. Сумма начисленной амортизации оборудования, используемого при оказании платной услуги, определяется исходя из балансовой стоимости оборудования, годовой нормы его износа и времени работы оборудования в процессе оказания платной услуги.
Расчет суммы начисленной амортизации оборудования, используемого при оказании платной услуги, приводится по форме согласно приложению N 4 к настоящему Порядку.
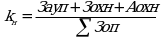
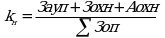
19. Объем накладных затрат относится на стоимость платной услуги пропорционально затратам на оплату труда и начислениям на выплаты по оплате труда основного персонала, непосредственно участвующего в процессе оказания платной услуги:
- коэффициент накладных затрат, отражающий нагрузку на единицу оплаты труда основного персонала учреждения. Данный коэффициент рассчитывается на основании отчетных данных за предшествующий период и прогнозируемых изменений в плановом периоде:
- фактические затраты на административно-управленческий персонал за предшествующий период, скорректированные на прогнозируемое изменение численности административно-управленческого персонала и прогнозируемый рост заработной платы;
- фактические затраты на общехозяйственные нужды за предшествующий период, скорректированные на прогнозируемый инфляционный рост цен, и прогнозируемые затраты на уплату налогов (кроме налогов на фонд оплаты труда), пошлины и иные обязательные платежи с учетом изменения налогового законодательства;
- прогноз суммы начисленной амортизации имущества общехозяйственного назначения в плановом периоде.
- фактические затраты на весь основной персонал учреждения за предшествующий период, скорректированные на прогнозируемое изменение численности основного персонала и прогнозируемый рост заработной платы;
Затраты на административно-управленческий персонал включают в себя:
затраты на оплату труда и начисления на выплаты по оплате труда административно-управленческого персонала;
нормативные затраты на командировки административно-управленческого персонала;
затраты по повышению квалификации основного и административно-управленческого персонала.
Затраты на общехозяйственные нужды включают в себя:
затраты на материальные и информационные ресурсы, затраты на услуги в области информационных технологий (в том числе приобретение неисключительных (пользовательских) прав на программное обеспечение);
затраты на коммунальные услуги, услуги связи, транспорта, затраты на услуги банков, затраты на прочие услуги, потребляемые учреждением при оказании платной услуги;
затраты на содержание недвижимого и особо ценного движимого имущества, в том числе затраты на охрану (обслуживание систем видеонаблюдения, тревожных кнопок, контроля доступа в здание и т.п.), затраты на противопожарную безопасность (обслуживание оборудования, систем охранно-пожарной сигнализации и т.п.), затраты на текущий ремонт по видам основных фондов, затраты на содержание прилегающей территории, затраты на арендную плату за пользование имуществом (в случае если аренда необходима для оказания платной услуги), затраты на уборку помещений, на содержание транспорта, приобретение топлива для котельных, санитарную обработку помещений.
Сумма начисленной амортизации имущества общехозяйственного назначения определяется исходя из балансовой стоимости оборудования и годовой нормы его износа.
Расчет накладных затрат приводится по форме согласно приложению N 5 к настоящему Порядку.
20. Расчет тарифа приводится по форме согласно приложению N 6 к настоящему Порядку.
- Гражданский кодекс (ГК РФ)
- Жилищный кодекс (ЖК РФ)
- Налоговый кодекс (НК РФ)
- Трудовой кодекс (ТК РФ)
- Уголовный кодекс (УК РФ)
- Бюджетный кодекс (БК РФ)
- Арбитражный процессуальный кодекс
- Конституция РФ
- Земельный кодекс (ЗК РФ)
- Лесной кодекс (ЛК РФ)
- Семейный кодекс (СК РФ)
- Уголовно-исполнительный кодекс
- Уголовно-процессуальный кодекс
- Производственный календарь на 2025 год
- МРОТ 2026
- ФЗ «О банкротстве»
- О защите прав потребителей (ЗОЗПП)
- Об исполнительном производстве
- О персональных данных
- О налогах на имущество физических лиц
- О средствах массовой информации
- Производственный календарь на 2026 год
- Федеральный закон "О полиции" N 3-ФЗ
- Расходы организации ПБУ 10/99
- Минимальный размер оплаты труда (МРОТ)
- Календарь бухгалтера на 2026 год
- Частичная мобилизация: обзор новостей
- Постановление Правительства РФ N 1875
, где:
, где:
, где
, где:
, где:
, где: