к Государственной программе развития
сельского хозяйства и регулирования
рынков сельскохозяйственной продукции,
сырья и продовольствия
ПРАВИЛА
ПРЕДОСТАВЛЕНИЯ И РАСПРЕДЕЛЕНИЯ СУБСИДИЙ ИЗ ФЕДЕРАЛЬНОГО
БЮДЖЕТА БЮДЖЕТАМ СУБЪЕКТОВ РОССИЙСКОЙ ФЕДЕРАЦИИ В ЦЕЛЯХ
СОФИНАНСИРОВАНИЯ РАСХОДНЫХ ОБЯЗАТЕЛЬСТВ СУБЪЕКТОВ РОССИЙСКОЙ
ФЕДЕРАЦИИ ПО ФИНАНСОВОМУ ОБЕСПЕЧЕНИЮ СОЗДАНИЯ УСЛОВИЙ
ДЛЯ ПОЛУЧЕНИЯ ВЕТЕРИНАРНЫМИ ЛАБОРАТОРИЯМИ СУБЪЕКТОВ
РОССИЙСКОЙ ФЕДЕРАЦИИ АККРЕДИТАЦИИ В НАЦИОНАЛЬНОЙ СИСТЕМЕ
АККРЕДИТАЦИИ И (ИЛИ) РАСШИРЕНИЯ ИХ ОБЛАСТИ АККРЕДИТАЦИИ
ПРАВИЛА
ПРЕДОСТАВЛЕНИЯ И РАСПРЕДЕЛЕНИЯ СУБСИДИЙ ИЗ ФЕДЕРАЛЬНОГО
БЮДЖЕТА БЮДЖЕТАМ СУБЪЕКТОВ РОССИЙСКОЙ ФЕДЕРАЦИИ В ЦЕЛЯХ
СОФИНАНСИРОВАНИЯ РАСХОДНЫХ ОБЯЗАТЕЛЬСТВ СУБЪЕКТОВ РОССИЙСКОЙ
ФЕДЕРАЦИИ ПО ФИНАНСОВОМУ ОБЕСПЕЧЕНИЮ СОЗДАНИЯ УСЛОВИЙ
ДЛЯ ПОЛУЧЕНИЯ ВЕТЕРИНАРНЫМИ ЛАБОРАТОРИЯМИ СУБЪЕКТОВ
РОССИЙСКОЙ ФЕДЕРАЦИИ АККРЕДИТАЦИИ В НАЦИОНАЛЬНОЙ СИСТЕМЕ
АККРЕДИТАЦИИ И (ИЛИ) РАСШИРЕНИЯ ИХ ОБЛАСТИ АККРЕДИТАЦИИ
Список изменяющих документов
(введены Постановлением Правительства РФ от 22.11.2023 N 1959)
1. Настоящие Правила устанавливают условия, цели и порядок предоставления и распределения субсидий из федерального бюджета бюджетам субъектов Российской Федерации в целях софинансирования расходных обязательств субъектов Российской Федерации по финансовому обеспечению создания условий для получения ветеринарными лабораториями субъектов Российской Федерации (далее - ветеринарные лаборатории) аккредитации в национальной системе аккредитации и (или) расширения их области аккредитации (далее - субсидии).
Понятие "ветеринарные лаборатории", используемое в настоящих Правилах, означает бюджетные и автономные учреждения, подведомственные уполномоченным в области ветеринарии исполнительным органам субъектов Российской Федерации.
2. Субсидии предоставляются в целях софинансирования расходных обязательств субъектов Российской Федерации, возникающих при реализации региональных проектов, обеспечивающих достижение целей, показателей и результатов федерального проекта "Экспорт продукции агропромышленного комплекса", входящего в состав национального проекта "Международная кооперация и экспорт" (далее - региональный проект).
Субсидии предоставляются в пределах лимитов бюджетных обязательств, доведенных в установленном порядке до Министерства сельского хозяйства Российской Федерации как получателя средств федерального бюджета на предоставление субсидии на цели, указанные в абзаце первом настоящего пункта.
3. Субсидии предоставляются при соблюдении субъектом Российской Федерации следующих условий:
а) наличие правовых актов субъекта Российской Федерации, утверждающих перечень мероприятий (результатов), при реализации которых возникают расходные обязательства субъекта Российской Федерации, в целях софинансирования которых предоставляются субсидии, в соответствии с требованиями нормативных правовых актов Российской Федерации;
б) наличие в бюджете субъекта Российской Федерации бюджетных ассигнований на исполнение расходного обязательства субъекта Российской Федерации, софинансирование которого осуществляется за счет средств федерального бюджета, в объеме, необходимом для его исполнения, включающем размер планируемой к предоставлению субсидии, и порядка определения объемов указанных ассигнований, если иное не установлено актами Президента Российской Федерации или Правительства Российской Федерации;
в) заключение соглашения о предоставлении субсидии между Министерством сельского хозяйства Российской Федерации и высшим исполнительным органом субъекта Российской Федерации в соответствии с пунктом 10 Правил формирования, предоставления и распределения субсидий из федерального бюджета бюджетам субъектов Российской Федерации, утвержденных постановлением Правительства Российской Федерации от 30 сентября 2014 г. N 999 "О формировании, предоставлении и распределении субсидий из федерального бюджета бюджетам субъектов Российской Федерации" (далее соответственно - соглашение, Правила формирования субсидий).
4. Критериями отбора субъектов Российской Федерации для предоставления субсидии являются:
а) наличие понесенных ветеринарными лабораториями затрат на создание условий для получения аккредитации в национальной системе аккредитации и (или) расширения их области аккредитации;
б) представление ветеринарной лабораторией информации в компонент Федеральной государственной информационной системы в области ветеринарии в соответствии с постановлением Правительства Российской Федерации от 7 ноября 2016 г. N 1140 "О порядке создания, развития и эксплуатации Федеральной государственной информационной системы в области ветеринарии".
5. Субсидии предоставляются бюджету субъекта Российской Федерации при наличии нормативного правового акта субъекта Российской Федерации, устанавливающего порядок и условия предоставления из бюджета субъекта Российской Федерации ветеринарным лабораториям субсидий в соответствии с абзацем вторым пункта 1 статьи 78.1 Бюджетного кодекса Российской Федерации на иные цели, в том числе предусматривающих возможность их направления на возмещение перечислений по операциям, содержание которых соответствует целям предоставления этих субсидий.
6. Субсидия предоставляется на основании соглашения, подготавливаемого (формируемого) и заключаемого с использованием государственной интегрированной информационной системы управления общественными финансами "Электронный бюджет" и в соответствии с типовой формой, утвержденной Министерством финансов Российской Федерации.
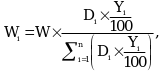
7. Размер субсидии, предоставляемой бюджету i-го субъекта Российской Федерации в очередном финансовом году (Wi), определяется по формуле:
W - общий объем бюджетных ассигнований, предусмотренных в федеральном бюджете на предоставление субсидии на соответствующий финансовый год;
Di - заявленная потребность i-го субъекта Российской Федерации на основании понесенных затрат ветеринарными лабораториями в соответствующем субъекте Российской Федерации в соответствии с пунктами 8 и 9 настоящих Правил (рублей);
Yi - предельный уровень софинансирования расходного обязательства i-го субъекта Российской Федерации из федерального бюджета на очередной финансовый год (процентов), определяемый в соответствии с пунктом 13(1.1) Правил формирования субсидий;
n - количество субъектов Российской Федерации, заявивших потребность о понесенных затратах ветеринарными лабораториями.
8. Субсидии предоставляются в целях софинансирования расходных обязательств субъектов Российской Федерации, связанных с предоставлением субсидий в соответствии с абзацем вторым пункта 1 статьи 78.1 Бюджетного кодекса Российской Федерации на иные цели из бюджета субъекта Российской Федерации на возмещение части понесенных ветеринарными лабораториями затрат на создание условий для получения ветеринарными лабораториями аккредитации в национальной системе аккредитации и (или) расширения их области аккредитации, указанных в пункте 9 настоящих Правил.
9. Ветеринарным лабораториям возмещаются следующие затраты, понесенные начиная с 2019 года:
а) реконструкция, капитальный или текущий ремонт здания (помещения) ветеринарной лаборатории, вивария;
б) модернизация и (или) приобретение оборудования;
в) приобретение лабораторной мебели;
г) обучение сотрудников ветеринарной лаборатории;
д) проведение межлабораторных сличительных испытаний.
10. При предоставлении субсидий на цели, указанные в пункте 2 настоящих Правил, в составе понесенных затрат не учитываются затраты на мероприятия, финансовое обеспечение реализации которых осуществляется в рамках выполнения государственного задания ветеринарными лабораториями.
11. Не допускается предоставление субсидий субъектам Российской Федерации в случае, если на цели, указанные в пункте 2 настоящих Правил, предоставляются другие межбюджетные трансферты.
12. Перечисление субсидий осуществляется в установленном порядке на единые счета бюджетов, открытые финансовым органам субъектов Российской Федерации в территориальных органах Федерального казначейства.
13. В случае отсутствия у субъектов Российской Федерации в текущем финансовом году потребности в субсидиях в связи с внесением изменений в региональные проекты, которые влекут изменение объемов финансового обеспечения и (или) значений результатов использования субсидий, высвобождающиеся бюджетные ассигнования на предоставление субсидий перераспределяются пропорционально между субъектами Российской Федерации, имеющими право на получение субсидий в соответствии с настоящими Правилами, на основании письменных обращений уполномоченных органов.
14. Исполнительный орган субъекта Российской Федерации, уполномоченный высшим исполнительным органом субъекта Российской Федерации, представляет в Министерство сельского хозяйства Российской Федерации следующие документы:
а) выписка из закона субъекта Российской Федерации о бюджете субъекта Российской Федерации и (или) выписка из сводной бюджетной росписи бюджета субъекта Российской Федерации, подтверждающая наличие в утвержденном бюджете субъекта Российской Федерации бюджетных ассигнований на финансовое обеспечение указанных в пункте 2 настоящих Правил расходных обязательств субъекта Российской Федерации, - не позднее 30-го дня со дня заключения соглашения;
б) документ, содержащий информацию об использовании средств бюджета субъекта Российской Федерации, источником софинансирования которых является субсидия, с приложением перечня получателей средств - по форме и в срок, которые установлены Министерством сельского хозяйства Российской Федерации.
15. Результатом использования субсидии является количество внесенных в реестр аккредитованных лиц сведений об аккредитации и (или) расширении области аккредитации в национальной системе аккредитации ветеринарных лабораторий.
16. Эффективность использования субсидии оценивается ежегодно Министерством сельского хозяйства Российской Федерации на основании сравнения фактически достигнутых значений результата использования субсидии и его плановых значений, предусмотренных соглашением.
17. В случае если при формировании проекта федерального закона о федеральном бюджете на очередной финансовый год и плановый период субъектом Российской Федерации до 10 августа текущего финансового года представлено в Министерство сельского хозяйства Российской Федерации обращение, содержащее информацию об отсутствии частичной или полной потребности в субсидии в очередном финансовом году, высвобождающиеся бюджетные ассигнования на предоставление субсидий распределяются между субъектами Российской Федерации, имеющими право на получение субсидий в соответствии с настоящими Правилами.
18. Возврат субъектом Российской Федерации средств из бюджета субъекта Российской Федерации в доход федерального бюджета при невыполнении им условий, предусмотренных соглашением, в том числе обязательств по достижению значений результатов использования субсидии, включая порядок расчета размера средств, подлежащих возврату, сроки возврата и основания для освобождения субъекта Российской Федерации от возврата таких средств, осуществляется в соответствии с пунктами 16 - 18 и 20 Правил формирования субсидий.
19. Ответственность за достоверность представляемых в Министерство сельского хозяйства Российской Федерации сведений и соблюдение условий, предусмотренных настоящими Правилами и соглашением, возлагается на исполнительный орган субъекта Российской Федерации, уполномоченный высшим исполнительным органом субъекта Российской Федерации.
20. Контроль за соблюдением субъектами Российской Федерации условий предоставления субсидий осуществляется Министерством сельского хозяйства Российской Федерации и уполномоченными органами государственного финансового контроля.
- Гражданский кодекс (ГК РФ)
- Жилищный кодекс (ЖК РФ)
- Налоговый кодекс (НК РФ)
- Трудовой кодекс (ТК РФ)
- Уголовный кодекс (УК РФ)
- Бюджетный кодекс (БК РФ)
- Арбитражный процессуальный кодекс
- Конституция РФ
- Земельный кодекс (ЗК РФ)
- Лесной кодекс (ЛК РФ)
- Семейный кодекс (СК РФ)
- Уголовно-исполнительный кодекс
- Уголовно-процессуальный кодекс
- Производственный календарь на 2025 год
- МРОТ 2025
- ФЗ «О банкротстве»
- О защите прав потребителей (ЗОЗПП)
- Об исполнительном производстве
- О персональных данных
- О налогах на имущество физических лиц
- О средствах массовой информации
- Производственный календарь на 2026 год
- Федеральный закон "О полиции" N 3-ФЗ
- Расходы организации ПБУ 10/99
- Минимальный размер оплаты труда (МРОТ)
- Календарь бухгалтера на 2025 год
- Частичная мобилизация: обзор новостей
- Постановление Правительства РФ N 1875
