к Государственной программе развития
сельского хозяйства и регулирования
рынков сельскохозяйственной продукции,
сырья и продовольствия
ПРАВИЛА
ПРЕДОСТАВЛЕНИЯ И РАСПРЕДЕЛЕНИЯ СУБСИДИЙ ИЗ ФЕДЕРАЛЬНОГО
БЮДЖЕТА БЮДЖЕТАМ СУБЪЕКТОВ РОССИЙСКОЙ ФЕДЕРАЦИИ
НА СТИМУЛИРОВАНИЕ РАЗВИТИЯ ВИНОГРАДАРСТВА И ВИНОДЕЛИЯ
ПРАВИЛА
ПРЕДОСТАВЛЕНИЯ И РАСПРЕДЕЛЕНИЯ СУБСИДИЙ ИЗ ФЕДЕРАЛЬНОГО
БЮДЖЕТА БЮДЖЕТАМ СУБЪЕКТОВ РОССИЙСКОЙ ФЕДЕРАЦИИ
НА СТИМУЛИРОВАНИЕ РАЗВИТИЯ ВИНОГРАДАРСТВА И ВИНОДЕЛИЯ
Список изменяющих документов
(введены Постановлением Правительства РФ от 21.10.2024 N 1408)
1. Настоящие Правила устанавливают цели, условия и порядок предоставления и распределения субсидий из федерального бюджета бюджетам субъектов Российской Федерации в целях софинансирования расходных обязательств субъектов Российской Федерации, возникающих при реализации региональных проектов, направленных на реализацию федерального проекта "Стимулирование развития виноградарства и виноделия" Государственной программы развития сельского хозяйства и регулирования рынков сельскохозяйственной продукции, сырья и продовольствия, утвержденной постановлением Правительства Российской Федерации от 14 июля 2012 г. N 717 "О Государственной программе развития сельского хозяйства и регулирования рынков сельскохозяйственной продукции, сырья и продовольствия" (далее соответственно - федеральный проект, субсидия).
2. Понятия, используемые в настоящих Правилах, означают следующее:
"виноградный питомник" - виноградная школка, маточник корнесобственных лоз винограда либо виноградная школка, маточник подвойных и (или) привойных лоз винограда с прививочным комплексом, заложенный и возделываемый по специальной технологии в целях получения чистосортных, высококачественных черенков, используемых для выращивания саженцев винограда. Совокупность мероприятий, необходимых для создания виноградного питомника, содержится в разделе 2.3 национального стандарта Российской Федерации ГОСТ Р 52681-2006 "Виноградарство. Термины и определения", утвержденного приказом Федерального агентства по техническому регулированию и метрологии от 27 декабря 2006 г. N 452-ст и введенного в действие с 1 января 2008 г.;
"закладка виноградных насаждений" - создание виноградных насаждений для целей производства продукции виноградарства и продукции виноделия, а также для научных целей путем их высадки на землях или земельных участках, включающее в себя выполнение предшествующих высадке виноградных насаждений взаимосвязанных мероприятий по предпосадочной подготовке земель или земельных участков, производству и (или) приобретению саженцев, осуществлению мелиоративных мероприятий, установке шпалер;
"мелиоративные мероприятия" - проектирование, строительство, реконструкция, капитальный ремонт и эксплуатация мелиоративных систем и отдельно расположенных гидротехнических сооружений, создание агролесомелиоративных насаждений и агрофитомелиоративных насаждений, проведение культуртехнических работ, работ по улучшению химических и физических свойств почв;
"получатели средств" - субъекты виноградарства и виноделия, за исключением личных подсобных хозяйств;
"средства" - бюджетные ассигнования бюджета субъекта Российской Федерации, источником софинансирования которых является субсидия;
"субъекты виноградарства и виноделия" - виноградарские хозяйства и винодельческие хозяйства, а также научные организации, профессиональные образовательные организации, образовательные организации высшего образования, которые в процессе научной, научно-технической и (или) образовательной деятельности осуществляют производство продукции виноградарства и (или) продукции виноделия, первичную и последующую (промышленную) переработку этой продукции в соответствии с законодательством Российской Федерации.
3. Субсидии предоставляются в пределах лимитов бюджетных обязательств, доведенных до Министерства сельского хозяйства Российской Федерации как получателя средств федерального бюджета на предоставление субсидии на направления, указанные в пункте 4 настоящих Правил.
4. Средства предоставляются на финансовое обеспечение части затрат получателей средств и (или) на возмещение части затрат получателей средств, произведенных ими в году, предшествующем году получения субсидии, а также в текущем финансовом году:
а) на молодые виноградники возрастом до 4 лет включительно (за исключением мероприятий в целях ухода за виноградниками, предусмотренных подпунктом "в" настоящего пункта) по следующим направлениям:
обеспечение закладки виноградных насаждений;
приобретение получателями средств посадочного материала виноградных растений отечественного производства для закладки виноградных насаждений;
организация виноградных питомников, производящих посадочный материал виноградных растений, отвечающий требованиям, установленным Министерством сельского хозяйства Российской Федерации для каждой виноградо-винодельческой зоны, каждого виноградо-винодельческого района и каждого виноградо-винодельческого терруара;
создание инфраструктуры, включая селекционно-питомниководческие центры (за исключением создания объектов капитального строительства) с участием научных организаций, для производства посадочного материала виноградных растений высших категорий качества, обеспечения виноградных насаждений транспортной доступностью, водными ресурсами для организации систем орошения, проведения мелиоративных мероприятий и рекультивации виноградников;
применение (приобретение и внесение) удобрений и использование биологических и экологических технологий и методов возделывания виноградных насаждений, исключающих использование химических средств и иных веществ, оказывающих негативное воздействие на жизнь и здоровье человека и окружающую среду, в соответствии с Государственным каталогом пестицидов и агрохимикатов, разрешенных к применению на территории Российской Федерации;
приобретение и обновление (приобретение новых) основных средств (промышленной продукции, в том числе техники, транспортных средств) и оборудования (промышленной продукции, в том числе приборов и устройств), используемого для производства продукции виноградарства и винодельческой продукции, а также развитие промышленного производства основных технологических средств и оборудования, используемого для производства продукции виноградарства и винодельческой продукции. Перечень указанных техники, транспортных средств и оборудования определяется высшим исполнительным органом субъекта Российской Федерации или исполнительным органом субъекта Российской Федерации, уполномоченным высшим исполнительным органом субъекта Российской Федерации (далее - уполномоченный орган);
б) на виноградники в плодоносящем возрасте (за исключением мероприятий в целях ухода за виноградниками, предусмотренных подпунктом "в" настоящего пункта) по следующим направлениям:
организация виноградных питомников, производящих посадочный материал виноградных растений, отвечающий требованиям, установленным Министерством сельского хозяйства Российской Федерации для каждой виноградо-винодельческой зоны, каждого виноградо-винодельческого района и каждого виноградо-винодельческого терруара;
создание инфраструктуры, включая селекционно-питомниководческие центры (за исключением создания объектов капитального строительства) с участием научных организаций, для производства посадочного материала виноградных растений высших категорий качества, обеспечения виноградных насаждений транспортной доступностью, водными ресурсами для организации систем орошения, проведения мелиоративных мероприятий и рекультивации виноградников;
применение (приобретение и внесение) удобрений и использование биологических и экологических технологий и методов возделывания виноградных насаждений, исключающих использование химических средств и иных веществ, оказывающих негативное воздействие на жизнь и здоровье человека и окружающую среду, в соответствии с Государственным каталогом пестицидов и агрохимикатов, разрешенных к применению на территории Российской Федерации;
приобретение и обновление (приобретение новых) основных средств (промышленной продукции, в том числе техники, транспортных средств) и оборудования (промышленной продукции, в том числе приборов и устройств), используемого для производства продукции виноградарства и винодельческой продукции, а также развитие промышленного производства основных технологических средств и оборудования, используемого для производства продукции виноградарства и винодельческой продукции. Перечень указанных техники, транспортных средств и оборудования определяется высшим исполнительным органом субъекта Российской Федерации или уполномоченным органом;
в) на виноградники в целях обеспечения ухода за ними по следующим направлениям:
уходные работы в течение 4 лет с даты высадки виноградных насаждений, включая приобретение и установку шпалер, противоградной сетки, осуществление мелиоративных мероприятий, в том числе по установке систем ирригации и орошения, независимо от происхождения используемого посадочного материала. Перечень уходных работ за виноградниками утверждается Министерством сельского хозяйства Российской Федерации;
уход за виноградниками в плодоносящем возрасте, включая приобретение и установку шпалер, противоградной сетки, осуществление мелиоративных мероприятий, в том числе по установке систем ирригации и орошения, раскорчевку выбывших из эксплуатации виноградников и рекультивацию раскорчеванных площадей независимо от происхождения используемого посадочного материала.
5. Не допускается возмещения получателям средств затрат, указанных в пункте 4 настоящих Правил, в случае, если на те же цели им предоставляются средства в соответствии с иными нормативными правовыми актами, предусматривающими предоставление и распределение межбюджетных трансфертов из федерального бюджета бюджетам субъектов Российской Федерации.
Финансовое обеспечение (возмещение) части затрат получателей средств на приобретение основных средств и оборудования, которые указаны в абзаце седьмом подпункта "а" и абзаце пятом подпункта "б" пункта 4 настоящих Правил, осуществляется при наличии заключения о подтверждении производства промышленной продукции на территории Российской Федерации, выданного в соответствии с Правилами выдачи заключения о подтверждении производства промышленной продукции на территории Российской Федерации, утвержденными постановлением Правительства Российской Федерации от 17 июля 2015 г. N 719 "О подтверждении производства российской промышленной продукции", и действительного до окончания срока действия такого заключения, либо заключения об отнесении продукции к промышленной продукции, не имеющей произведенных в Российской Федерации аналогов, выданного в соответствии с Правилами отнесения продукции к промышленной продукции, не имеющей произведенных в Российской Федерации аналогов, утвержденными постановлением Правительства Российской Федерации от 20 сентября 2017 г. N 1135 "Об отнесении продукции к промышленной продукции, не имеющей произведенных в Российской Федерации аналогов, и внесении изменений в некоторые акты Правительства Российской Федерации".
Для получателей средств, использующих право на освобождение от исполнения обязанностей налогоплательщика, связанных с исчислением и уплатой налога на добавленную стоимость, финансовое обеспечение (возмещение) части затрат осуществляется исходя из суммы расходов на приобретение товаров (работ, услуг), включая сумму налога на добавленную стоимость.
Средства по направлениям, указанным в пункте 4 настоящих Правил, предоставляются получателям средств при условии документального подтверждения наличия у них прав пользования земельными участками, на которых осуществляется или планируется осуществлять производство продукции виноградарства и (или) винодельческой продукции.
Средства на возмещение части затрат по направлениям, указанным в пункте 4 настоящих Правил, предоставляются получателям средств при условии наличия паспортов виноградных насаждений, составленных и размещенных в соответствии с частями 5 и 6 статьи 12 Федерального закона "О виноградарстве и виноделии в Российской Федерации", содержащих сведения о виноградных насаждениях, в отношении которых были понесены затраты, предусмотренные пунктом 4 настоящих Правил.
Условием предоставления средств на финансовое обеспечение части затрат, указанных в пункте 4 настоящих Правил, является предоставление получателем средств по результатам проведенных мероприятий паспортов виноградных насаждений, составленных и размещенных в соответствии с частями 5 и 6 статьи 12 Федерального закона "О виноградарстве и виноделии в Российской Федерации", содержащих сведения о виноградных насаждениях, в отношении которых будут понесены затраты, предусмотренные пунктом 4 настоящих Правил.
6. По направлениям, указанным в пункте 4 настоящих Правил, средства предоставляются по ставкам для получателей средств, которые определяются высшим исполнительным органом субъекта Российской Федерации или уполномоченным органом.
При определении ставок устанавливается повышающий коэффициент на один гектар площади закладки виноградных насаждений, включая виноградные питомники:
для виноградных насаждений с плотностью посадки свыше 2222 растений на один гектар - не менее 1,4;
для виноградных насаждений с плотностью посадки свыше 3333 растений на один гектар - не менее 1,7;
для виноградных питомников - не менее 2;
для виноградных насаждений, в отношении которых получателями средств осуществляется страхование рисков утраты (гибели) урожая сельскохозяйственных культур и (или) утраты (гибели) посадок многолетних насаждений, - 1,15;
для виноградных насаждений, в отношении которых получателями средств осуществляется использование автохтонных (аборигенных) сортов при посадке виноградных насаждений, - не менее 1,3;
для виноградных насаждений, в целях возделывания которых используются земельные участки, в отношении которых внесены сведения в федеральный реестр виноградопригодных земель, - не менее 1,1;
для виноградных насаждений, в отношении которых получателями средств являются производители вина, крепленого вина и игристого вина, имеющие сертификат качества Федеральной саморегулируемой организации виноградарей и виноделов России и право на использование эмблем (знаков) "Вино России", "Коньяк России" в соответствии с пунктом 5 части 10 статьи 9 Федерального закона "О виноградарстве и виноделии в Российской Федерации", - не менее 1,2.
7. Предоставление субсидии осуществляется на основании соглашения о предоставлении субсидии, подготавливаемого (формируемого) и заключаемого с использованием государственной интегрированной информационной системы управления общественными финансами "Электронный бюджет" в соответствии с типовой формой, утвержденной Министерством финансов Российской Федерации (далее - соглашение).
8. Субсидии предоставляются бюджетам субъектов Российской Федерации при соблюдении следующих условий:
а) наличие правовых актов субъекта Российской Федерации, предусматривающих перечень мероприятий (результатов), при реализации которых возникают расходные обязательства субъекта Российской Федерации, в целях софинансирования которых предоставляются субсидии;
б) наличие в бюджете субъекта Российской Федерации бюджетных ассигнований на исполнение расходного обязательства субъекта Российской Федерации, софинансирование которого осуществляется из федерального бюджета, в объеме, необходимом для его исполнения;
в) заключение между Министерством сельского хозяйства Российской Федерации и высшим исполнительным органом субъекта Российской Федерации соглашения в соответствии с пунктом 10 Правил формирования, предоставления и распределения субсидий из федерального бюджета бюджетам субъектов Российской Федерации, утвержденных постановлением Правительства Российской Федерации от 30 сентября 2014 г. N 999 "О формировании, предоставлении и распределении субсидий из федерального бюджета бюджетам субъектов Российской Федерации" (далее - Правила формирования субсидий).
9. В случае отсутствия в текущем финансовом году у субъектов Российской Федерации потребности в субсидиях на реализацию направлений, указанных в пункте 4 настоящих Правил, высвобождающиеся бюджетные ассигнования перераспределяются по решению Правительства Российской Федерации.
В случае выделения в текущем финансовом году из федерального бюджета дополнительных бюджетных ассигнований на предоставление субсидий в соответствии с настоящими Правилами их распределение осуществляется между субъектами Российской Федерации, имеющими дополнительную потребность в субсидиях, пропорционально удельному весу дополнительной потребности субъекта Российской Федерации в субсидии в общем объеме дополнительной потребности субъектов Российской Федерации в субсидиях сверх размеров субсидии, рассчитанных в соответствии с настоящими Правилами, с установлением результатов их использования.
Информация о дополнительной потребности в субсидиях формируется на основании письменных обращений высших исполнительных органов субъектов Российской Федерации или уполномоченных органов, направленных в Министерство сельского хозяйства Российской Федерации.
Объем предоставляемой бюджету субъекта Российской Федерации субсидии не может быть больше заявленной субъектом Российской Федерации дополнительной потребности в субсидии.
10. Критерием отбора субъектов Российской Федерации для предоставления субсидии является факт реализации федерального проекта на территории субъекта Российской Федерации в соответствующем финансовом году.
11. Размер субсидии, предоставляемой бюджету i-го субъекта Российской Федерации, на территории которого осуществляется реализация федерального проекта, в соответствующем финансовом году (Wi), определяется по формуле:
W - объем бюджетных ассигнований, предусмотренных в федеральном бюджете на предоставление субсидии на соответствующий финансовый год;
ai - доля i-го субъекта Российской Федерации в плановых показателях развития виноградарства и виноделия.
12. Доля i-го субъекта Российской Федерации в плановых показателях развития виноградарства и виноделия (ai) определяется по формуле:
DSpli - доля плановой площади виноградных насаждений в плодоносящем возрасте в i-м субъекте Российской Федерации на соответствующий финансовый год в общей плановой площади виноградных насаждений в плодоносящем возрасте на соответствующий финансовый год, определяемая по формуле:
ki - коэффициент увеличения показателя i-го субъекта Российской Федерации. Для Республики Крым и г. Севастополя значение коэффициента равно 1,5, для других субъектов Российской Федерации - 1;
PSpli - плановые показатели на соответствующий финансовый год размера площади виноградных насаждений в плодоносящем возрасте у получателей средств в i-м субъекте Российской Федерации на основании представленных в Министерство сельского хозяйства Российской Федерации по форме и в срок, которые устанавливаются Министерством сельского хозяйства Российской Федерации, данных субъектов Российской Федерации, на территориях которых осуществляется реализация федерального проекта, на соответствующий финансовый год;
DSzi - доля плановой площади закладки виноградных насаждений на соответствующий финансовый год в i-м субъекте Российской Федерации в общей плановой площади закладки виноградных насаждений на соответствующий финансовый год, определяемая по формуле:
где PSzi - плановые показатели на соответствующий финансовый год размера площади закладки виноградных насаждений у получателей средств в i-м субъекте Российской Федерации на основании представленных в Министерство сельского хозяйства Российской Федерации по форме и в срок, которые устанавливаются Министерством сельского хозяйства Российской Федерации, данных субъектов Российской Федерации, на территориях которых осуществляется реализация федерального проекта, на соответствующий финансовый год;
DShi - доля плановой площади уходных работ на винограднике на соответствующий финансовый год в i-м субъекте Российской Федерации в общей плановой площади уходных работ на винограднике на соответствующий финансовый год, определяемая по формуле:
где PShi - плановые показатели на соответствующий финансовый год размера площади уходных работ на винограднике у получателей средств в i-м субъекте Российской Федерации на основании представленных в Министерство сельского хозяйства Российской Федерации по форме и в срок, которые устанавливаются Министерством сельского хозяйства Российской Федерации, данных субъектов Российской Федерации, на территориях которых осуществляется реализация федерального проекта, на соответствующий финансовый год;
Yi - предельный уровень софинансирования расходного обязательства i-го субъекта Российской Федерации из федерального бюджета на очередной финансовый год (в процентах), определяемый в соответствии с пунктом 13 Правил формирования субсидий;
n - количество субъектов Российской Федерации, на территориях которых осуществляется реализация федерального проекта на соответствующий финансовый год.
13. Перечисление субсидий осуществляется в установленном порядке на единые счета бюджетов, открытые финансовым органам субъектов Российской Федерации в территориальных органах Федерального казначейства.
14. Уполномоченный орган представляет в Министерство сельского хозяйства Российской Федерации следующие документы:
а) выписка из закона субъекта Российской Федерации о бюджете субъекта Российской Федерации (сводной бюджетной росписи бюджета субъекта Российской Федерации), подтверждающая наличие утвержденных в бюджете субъекта Российской Федерации бюджетных ассигнований на финансовое обеспечение указанных в пункте 1 настоящих Правил расходных обязательств субъекта Российской Федерации, в целях софинансирования которых бюджету субъекта Российской Федерации предоставляется субсидия, - не позднее 30 дней со дня заключения соглашения;
б) документ, содержащий информацию об использовании средств, с приложением перечня получателей средств - по форме и в срок, установленные Министерством сельского хозяйства Российской Федерации;
в) отчет о финансово-экономическом состоянии товаропроизводителей агропромышленного комплекса - по форме и в срок, установленные Министерством сельского хозяйства Российской Федерации;
г) отчетность о достижении значений результатов использования субсидии и об обязательствах, принятых в целях их достижения, подготавливаемая (формируемая) с использованием государственной интегрированной информационной системы управления общественными финансами "Электронный бюджет", - в порядке и сроки, установленные соглашением;
д) отчет об эффективности использования субсидии - по форме и в срок, установленные Министерством сельского хозяйства Российской Федерации;
е) отчетность об осуществлении расходов бюджета субъекта Российской Федерации, в целях софинансирования которых предоставляется субсидия, подготавливаемая (формируемая) с использованием государственной интегрированной информационной системы управления общественными финансами "Электронный бюджет", - в порядке и сроки, установленные соглашением.
15. Результатами использования субсидии являются:
сохранена площадь виноградных насаждений в плодоносящем возрасте у получателей средств (тыс. гектаров);
осуществлена закладка виноградников у получателей средств (тыс. гектаров);
проведены уходные работы на винограднике у получателей средств (тыс. гектаров).
Результаты, указанные в абзацах втором и третьем настоящего пункта, подтверждаются данными федерального реестра виноградных насаждений.
16. Оценка эффективности использования субсидии по результатам использования субсидии, предусмотренным пунктом 15 настоящих Правил, осуществляется на основании отчета об эффективности использования субсидии, представляемого уполномоченным органом в Министерство сельского хозяйства Российской Федерации, который формируется на основании данных, представляемых получателями средств в уполномоченный орган в отчетах.
17. Эффективность использования субсидии оценивается ежегодно Министерством сельского хозяйства Российской Федерации на основании интегральной оценки достижения значений результатов использования субсидии, установленных соглашением i-му субъекту Российской Федерации, и отчетности о достижении значений результатов использования субсидии и об обязательствах, принятых в целях их достижения.
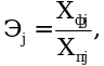
Эффективность использования субсидии оценивается на основании достижения значений результатов использования субсидии, установленных соглашением i-му субъекту Российской Федерации, исходя из индекса, отражающего уровень достижения j-го результата использования субсидии (Эj), определяемого по формуле:
Хфj - фактическое значение j-го результата использования субсидии по итогам отчетного финансового года;
Хпj - плановое значение j-го результата использования субсидии за отчетный финансовый год.
Интегральная оценка достижения результатов использования субсидии осуществляется на основании интегрального результата эффективности использования субсидии (Э), определяемого по формуле:
где p - количество результатов использования субсидии, установленных соглашением, значения которых больше 0.
В случае если индекс, отражающий уровень достижения j-го результата использования субсидии (Эj), составляет более 100 процентов, при расчете интегрального результата эффективности использования субсидии (Э) применяется значение, равное 100 процентам.
Использование субсидии считается эффективным в случае, если значение интегрального результата эффективности использования субсидии (Э) достигает 100 процентов.
18. В случае если при формировании проекта федерального закона о федеральном бюджете на очередной финансовый год и плановый период субъектом Российской Федерации до 10 августа текущего финансового года представлено в Министерство сельского хозяйства Российской Федерации обращение, содержащее информацию об отсутствии частичной или полной потребности в субсидии, бюджетные ассигнования на предоставление субсидии такому субъекту Российской Федерации распределяются между другими субъектами Российской Федерации, имеющими право на получение субсидии в соответствии с настоящими Правилами.
19. Порядок и условия возврата средств из бюджета субъекта Российской Федерации в федеральный бюджет в случае нарушения субъектом Российской Федерации обязательств, предусмотренных соглашением, в том числе касающихся достижения значений результов использования субсидии, а также основания для освобождения субъекта Российской Федерации от применения мер ответственности за нарушение указанных обязательств установлены пунктами 16 - 18 и 20 Правил формирования субсидий.
20. В случае нарушения целей, установленных при предоставлении субсидии, применяются бюджетные меры принуждения, предусмотренные бюджетным законодательством Российской Федерации.
21. Ответственность за достоверность представляемых Министерству сельского хозяйства Российской Федерации сведений возлагается на уполномоченный орган и высший исполнительный орган субъекта Российской Федерации.
22. Контроль за соблюдением субъектами Российской Федерации условий предоставления субсидий осуществляется Министерством сельского хозяйства Российской Федерации и уполномоченными органами государственного финансового контроля.
- Гражданский кодекс (ГК РФ)
- Жилищный кодекс (ЖК РФ)
- Налоговый кодекс (НК РФ)
- Трудовой кодекс (ТК РФ)
- Уголовный кодекс (УК РФ)
- Бюджетный кодекс (БК РФ)
- Арбитражный процессуальный кодекс
- Конституция РФ
- Земельный кодекс (ЗК РФ)
- Лесной кодекс (ЛК РФ)
- Семейный кодекс (СК РФ)
- Уголовно-исполнительный кодекс
- Уголовно-процессуальный кодекс
- Производственный календарь на 2025 год
- МРОТ 2025
- ФЗ «О банкротстве»
- О защите прав потребителей (ЗОЗПП)
- Об исполнительном производстве
- О персональных данных
- О налогах на имущество физических лиц
- О средствах массовой информации
- Производственный календарь на 2026 год
- Федеральный закон "О полиции" N 3-ФЗ
- Расходы организации ПБУ 10/99
- Минимальный размер оплаты труда (МРОТ)
- Календарь бухгалтера на 2025 год
- Частичная мобилизация: обзор новостей
- Постановление Правительства РФ N 1875






