V. Ключевые показатели результативности и эффективности осуществления лицензионного контроля
39. При осуществлении оценки результативности и эффективности осуществления лицензионного контроля используются ключевые показатели.
В информационную систему контрольным (надзорным) органом вносится информация о целевых значениях ключевых показателей лицензионного контроля, используемых для оценки результативности и эффективности осуществления лицензионного контроля, а также с использованием информационной системы контрольным (надзорным) органом рассчитываются фактические значения таких показателей.
(абзац введен Постановлением Правительства РФ от 10.11.2022 N 2040)
40. Ключевыми показателями результативности и эффективности осуществления лицензионного контроля являются:
а) количество аварий, произошедших в производственных зданиях в результате нарушения лицензионных требований;
б) количество лиц, травмированных в результате аварий, произошедших в производственных зданиях в результате нарушения лицензионных требований.
41. Значение ключевого показателя "количество аварий, произошедших в производственных зданиях в результате нарушения лицензионных требований" (ПА) определяется по формуле:
П1 - количество аварий, произошедших в производственных зданиях в результате нарушения лицензионных требований, за отчетный год;
Псга - среднегодовое количество аварий, произошедших в производственных зданиях в результате нарушения лицензионных требований.
Целевым значением ключевого показателя "количество аварий, произошедших в производственных зданиях в результате нарушения лицензионных требований" является значение больше 0.
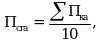
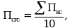
42. Среднегодовое количество аварий, произошедших в производственных зданиях в результате нарушения лицензионных требований (Псга), определяется по формуле:
где Пка - общее количество аварий, произошедших в производственных зданиях в результате нарушения лицензионных требований, за 10-летний период, предшествующий отчетному году.
43. Сбор данных о количестве аварий, произошедших в производственных зданиях в результате нарушения лицензионных требований, осуществляется контрольным (надзорным) органом на основании материалов технического расследования причин аварий, произошедших в производственных зданиях, поступивших в контрольный надзорный орган.
44. Ключевой показатель "количество лиц, травмированных в результате аварий, произошедших в производственных зданиях в результате нарушения лицензионных требований" (Псм) определяется по формуле:
П2 - количество лиц, травмированных в результате аварий, произошедших в производственных зданиях в результате нарушения лицензионных требований, за отчетный год;
Псгс - среднегодовое количество лиц, травмированных в результате аварий, произошедших в производственных зданиях в результате нарушения лицензионных требований.
Целевым значением ключевого показателя "количество лиц, травмированных в результате аварий, произошедших в производственных зданиях в результате нарушения лицензионных требований" является значение больше 0.
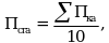
45. Среднегодовое количество лиц, травмированных в результате аварий, произошедших в производственных зданиях в результате нарушения лицензионных требований (Псгс), определяется по формуле:
где
общее количество лиц, травмированных в результате аварий, произошедших в производственных зданиях в результате нарушения лицензионных требований за 10-летний период, предшествующий отчетному году.
46. Сбор данных о количестве лиц, травмированных в результате аварий, произошедших в производственных зданиях в результате нарушения лицензионных требований, осуществляется контрольным (надзорным) органом на основании актов о несчастных случаях на производстве, оформленных в соответствии с трудовым законодательством Российской Федерации и поступивших в контрольный (надзорный) орган.
- Гражданский кодекс (ГК РФ)
- Жилищный кодекс (ЖК РФ)
- Налоговый кодекс (НК РФ)
- Трудовой кодекс (ТК РФ)
- Уголовный кодекс (УК РФ)
- Бюджетный кодекс (БК РФ)
- Арбитражный процессуальный кодекс
- Конституция РФ
- Земельный кодекс (ЗК РФ)
- Лесной кодекс (ЛК РФ)
- Семейный кодекс (СК РФ)
- Уголовно-исполнительный кодекс
- Уголовно-процессуальный кодекс
- Производственный календарь на 2025 год
- МРОТ 2026
- ФЗ «О банкротстве»
- О защите прав потребителей (ЗОЗПП)
- Об исполнительном производстве
- О персональных данных
- О налогах на имущество физических лиц
- О средствах массовой информации
- Производственный календарь на 2026 год
- Федеральный закон "О полиции" N 3-ФЗ
- Расходы организации ПБУ 10/99
- Минимальный размер оплаты труда (МРОТ)
- Календарь бухгалтера на 2025 год
- Частичная мобилизация: обзор новостей
- Постановление Правительства РФ N 1875



